[拼音]:cilizi lilun
[外文]:magneto-ionic theory
研究电磁波在磁离子介质中传播的理论。由处于外磁场中的自由电子、正负离子和中性分子组成的物质称为磁离子介质。宏观上它是中性的,各种粒子间常发生碰撞,碰撞频率可认为是常数,并忽略粒子热运动的影响。
简史
为了解释G.马可尼于1901年进行的横跨大西洋的无线电波传输实验,O.亥维赛于1902年提出这电波是从高空反射层反射回地球来的。1912年,W.H.伊柯尔斯认为该反射层的行为象导体。对电波起作用的是离子,它与其他粒子的碰撞频率(ν)很高,电波在其中传播时损耗很大。因此,电波是从锐分界面处部分反射回来的。他得到了电波在此介质中传播的相速度和吸收系数的公式。1924年,J.拉莫尔认为ν 很小,电波在层中传播时损耗很小,可以通过连续不断的折射返回地球。1924年,E.V.阿普顿和M.A.F.巴尼特,H.W.尼科尔斯和J.C.谢仑格分别注意到地磁场对电波反射过程的重要作用。阿普顿认为:反射层中对电波起主要作用的是自由电子,他得到了纵传播(波矢量与外磁场方向平行)和横传播(波矢量与外磁场相互垂直)时折射指数的公式,并引进了磁离子理论的概念。他和D.R.哈特里分别于1932年和1931年进一步得到了早期磁离子理论最基本的公式(A-H公式)。G.古鲍于1935年同时考虑了电子和离子对电波的作用。H.阿尔芬研究了当波的频率低于离子的磁旋频率(ω
)时的情况,于1942年提出了磁流波的概念。
磁离子介质中的电磁波
受电磁波作用而作加速运动的带电粒子辐射出次波,所有的次波与入射波叠加起来形成在介质中的波场。介质和波的这种相互作用,决定了波传播的速度,表现为介质对电磁波的色散特性。做加速运动的带电粒子与其他粒子相互碰撞,将一部分电磁波能量转变为其他粒子热运动的能量,表现为介质对电波的吸收。外磁场对带电粒子的作用致使介质对电波的折射指数与波矢的方向有关,呈现出各向异性的特点。同时,在同一方向上存在有二个相速度,各相应于不同偏振的特征波,所以说磁离子介质是双折射介质。当电磁波的频率很高时,由于惯性,介质中的带电粒子来不及作大幅度的运动,辐射次波的效应很小,介质的色散特性衰退,此波将以接近真空中的光速,不损耗能量地传播。当电磁波的频率很低时,沿外磁场方向的介质电导率趋于无穷,电磁波以磁流波形式、以阿尔芬速度传播。
磁离子介质的复折射指数
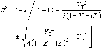
它可描述介质对电磁波的色散和吸收特性,以及电波的偏振特性,在射频,它可近似地由阿普顿-哈特里公式给出
式中
可见,复折射指数n 是电子密度N、碰撞频率ν、电波角频率ω、电波波矢量与外磁场夹角θ,以及外磁场强度H0的函数。ε0和 μ0分别是自由空间的介电常数和导磁率;
;式中ωN为等离子体频率;ωH为磁旋频率。
当略去碰撞的影响时,n为实数。n2大于零时,波以行波的形式传播;n2等于零时,介质中各带电粒子在电磁波的作用下作同相振动,称为等离子体振荡,在略去外加磁场时,其角频率为ωN;n2小于零时,电场强度E与磁场强度H在相位上相差90°,在介质中无能量传输,称为消散波。
入射电磁波的能量在介质中以电场能量、磁场能量和带电粒子运动的动能三种形式表现出来。当电磁波的频率足够高时,离子运动的影响可以略去。若折射指数接近于1,则介质中电场的能量密度与磁场的能量密度相等,且远大于电子运动的动能,这时的波称为“电磁”的。当折射指数接近于零时,电场能量等于电子运动的动能,且远大于磁场能量,这时的波称为“电运动”的。当电磁波的频率足够低时,应考虑离子运动的影响。此时,折射指数远大于1,离子运动的动能与磁场能量相等且远大于电场能量,这时的波称为离子磁波,它以阿尔芬速度传播,沿用阿尔芬的术语,也可称为磁流波。
偏振
在磁离子介质中传播的电磁波,其电(或磁)向量不断地改变方向和大小,可用这向量端点的轨迹来表示电磁波的这种特征,这称为电磁波的偏振。场向量在三个相互垂直方向上的分量之比可以完全确定波的偏振状态。一般说,任两个分量之比为复数,它表示在相应的平面内,向量端点的轨迹为椭圆,称该波为椭圆偏振波。在一些特殊情况下椭圆退化为圆或直线,分别称为圆偏振波或线偏振波。沿着波矢方向看,向量旋转的方向符合右手法则的称为右旋偏振,符合左手法则的称为左旋偏振。在传播的过程中,如果波的偏振状态保持不变,则称该波为特征波。
吸收
受电磁波影响而作加速运动的带电粒子从波中吸取了能量,当它与其他粒子碰撞时,将其中的一部分传递给其他粒子,变为其他粒子热运动的能量。因此,在传播的过程中不断地发生由电磁场能量变为介质热运动能量的变化。当 ω2ν2时,吸收的大小与ν 成反比,这是因为碰撞频率高,连续两次碰撞之间的时间短,带电粒子受波场作用而作加速运动的持续时间短,从波场中取得的能量小的缘故。当ω2ν2时,吸收的大小与ν成正比,这是因为碰撞次数多,损失的能量多,吸收与ω2成反比,由于频率高,带电粒子在同一方向作加速运动的持续时间短,吸收的能量少。外磁场的存在对吸收有明显的影响,非常波所遭到的吸收比寻常波的大。
纵传播
波矢量与外磁场方向平行。此时,电磁波的所有场向量以及相关的粒子运动均在垂直于波矢量的平面内。两个特征波分别是左旋圆偏振波(L-波)和右旋圆偏振波(R-波)。对于L-波,当波的角频率ω等于离子的磁旋频率ωHi时,n2趋于无穷。另外,设n2=0时的电磁波角频率为ωc1和ωc2,且ωc2>ωc1,则当ω<ωH和ω>ωc1时n2>0,有一通带,波以行波形式存在。当ωH<ω<ωc1时,n2<0,有一阻带,波只能以消散波的形式存在。对于R-波,当ω=ω
(电子的磁旋频率)时,n2趋于无穷;当ω<ω
和ω>ωc2时,n2>0,有一通带,波以行波形式存在;当ω
<ω<ωc2时,n2<0,有一阻带,波只能以消散波的形式存在。不论是L-波还是R-波,当ω 趋于无穷时,n2→1。当ω→0时,n→nA(阿尔芬折射指数)。
横传播
波矢量垂直于外磁场方向。两个特征波中有一个是电向量在外磁场方向的线偏振波,它不受外磁场的影响,称为寻常波(O-波),另一个是在垂直于外磁场平面的椭圆偏振波,波矢量在偏振面内,在波矢方向上存在有场矢量的分量,这一特征波受外磁场的影响,称为非常波(X-波)。对于O-波,当ω=0时,n2趋于无穷;ω<ωN时,n2<0,波只能以消散波形式存在;ω=ωN时,n2=0,波将会激发出等离子振荡;ω>ωN时,n2>0,波以行波形式存在。当ω趋于无穷时,n2趋于1。对于X-波,存在有下面几个特殊频率:使n2趋于无穷的频率记为
和
;使n2=0的频率记为ωc1和ωc2,则当ω<
,ωc<
和ω>ωc2时,有一通带。当
<ω<ωc1和
<ω2<ωc2时,有一阻带,当ω趋于零时,n趋于nA,当ω趋于无穷时,n趋于1。如果
>
,则称
为下混合频率,
为上混合频率。ω=
时,电子与离子在同一方向上运动;ω=
时,电子与离子在相反方向上运动。这些波的电矢量与波矢量平行。
渡越频率ωc0
当介质中有几种离子成分时,可能在某些频率上,两个特征波的折射指数相同,这些频率称为渡越频率。如果此时波的偏振状态又非常接近,则会发生由一种特征波激发出另一种特征波的现象。
准纵(QL)和准横(QT)近似
在一些条件下, 任意方向传播的波, 其性质分别与纵传播或横传播时相似, 所以称为准纵或准横传播。当ω>>ωN 和 ωHi<<ω<<ωN时几乎在所有方向上传播都可用 QL近似。当ω 接近于 ωN和ω<<ωHi时几乎在所有方向上传播都可用QT近似。当ω 趋于零时,除沿外磁场方向外,均可用QT近似。当ω 趋于无穷时,除垂直于外磁场方向外,均可用QL近似。
当电波波矢量与外磁场夹角θ 为任意值时,波进入介质后,分成两个特征波,当θ连续地过渡到90°时,其中一波与横传播的寻常波一致,我们也称这一特征波为寻常波,而另一波为非寻常波。但此两波均受外磁场影响。
- 参考书目
- J.A.Ratcliffe,The Magneto-ionic Theory & Its Application to Ionosphere,Cambridge Univ.Pr.,Cambridge,1959.