[拼音]:lisan shijian xitong de fupinyu fenxi
[外文]:complex-frequency domain analysis of discrete-time system
利用Z变换在复频域(Z域)中对离散时间线性时不变系统在零状态下激励信号产生响应的问题进行分析。系统的复频域分析包括转移函数的研究、转移函数的零点和极点的研究以及由此而确定系统的特性等。转移函数一般表示为实系数多项式或实系数有理分式,可以分解为一阶、二阶实系数因式和一阶、二阶有理分式组成的部分分式。所以,研究系统的性能时着重研究二阶系统的性能。
离散时间系统可以根据它的转移函数而实现。系统的实现可以用硬件,也可以用软件。硬件实现是指用基本单元(如加法器、乘法器、延迟器等);软件实现是指用计算机程序,由输入得出系统的输出。
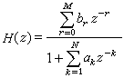
转移函数指系统在零状态下响应的 Z变换与激励的Z变换之比,即
式中H(z)、Y(z)、X(z)分别是系统的单位冲激响应h(n)、系统的响应 y(n)、系统的激励χ(n)的Z变换。由离散时间系统的差分方程
(1)
经Z 变换,可得系统的转移函数H(z)为
(2)
系统的输入、输出和转移函数的关系可用框图表示(图1)。
由式(2)表示的系统的转移函数,在将其分子分母多项式分解为因式后,又可表示为若干子系统的转移函数的乘积
(3)
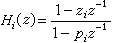
式中每一Hi(z)(i=1,2,…,k)都是一阶或二阶有理分式,即
或
将转移函数作部分分式展开,又有
(4)
式(4)中如果有某Pi为复数,则在求和号中必有与之共轭的项,此二项合并得到一个实系数二阶有理式。
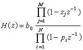
零点与极点对系统的网络函数的分子分母多项式作因子分解后,可以将其写作
(5)
式中Pi(i=1,2,…,N)是H(z)的极点,zj(j=1,2,…,M)是H(z)的零点。零点、极点在Z平面上所取的位置对系统的性能有着决定性的影响。
系统的转移函数的零点、极点可以由令分子分母多项式为零得到的方程式解出。由式(3)和式(4)可以看出,研究极点与系统性质的关系可归结为研究一阶和二阶系统的极点分布及系统性质与极点位置的关系。考察一阶系统的转移函数
式中P为实数的情况,其中A设为常数,它的冲激响应是
当0<P<1,h(n)随n的增加而逐渐衰减,如图2a所示;
当P=1,如图2b所示;当P>1,如图2c所示;当-1<P<0,如图2d所示;当P=-1,如图2e所示;当P<-1,如图2f所示。可以看出,凡是极点在单位圆内的,则系统的单位冲激响应都呈指数衰减,h(n)绝对可和(即
),因而系统是稳定的;当极点在单位圆外时,系统的单位冲激响应都呈指数增长,是发散的,因而系统是不稳定的;当极点在单位圆上时,h(n)的幅度为常数值,不是绝对可和,系统也不稳定。
对于二阶系统
式中λ为复数(
),其中A为常数,这时转移函数的极点在Z平面上以共轭对的形式出现(图3),
系统的冲激响应是
可见,当|λ|<1时,极点在单位圆内,h2(n)是一衰减的余弦振荡,系统是稳定的;当|λ|>1时,极点在单位圆外,h2(n)为一增幅的余弦振荡,系统是不稳定的。
综上可见,仅当转移函数的所有极点都在Z平面的单位圆内,系统才是稳定的。转移函数有多重极点的情况也如此。