[拼音]:meifanying guocheng
[外文]:enzyme process
是指利用酶催化剂所具有的特异催化功能,借助工艺学手段和生物反应器装置来生产所需的生物化工产品的过程,与发酵过程相比,它采用了反应专一性的酶为催化剂,无副产品,过程精制和产物分离纯化较方便。在生物反应器及操作方式上有较大的选择余地,除分批釜式反应外,可考虑用膜式反应器进行连续操作。在应用固定化酶为催化剂时,更可采用各种固定床和流化床的连续操作反应器。
沿革
古代人类虽不知道酶的存在,但是自古以来就知道利用植物和微生物的酶来催化反应生产各种食品。如利用麦芽中的麦芽糖酶来制备饴糖,利用酒药中的微生物产生的淀粉酶和酒化酶来生产酒酿、黄酒和白酒等。随着科学技术的发展,人们认识到,虽然酶是活细胞产生的,但是许多酶可以单独分离得到,在分离的状态下,酶仍然能继续它的生物催化作用。20世纪40年代,以生产抗生素为代表的深层液体通气纯种培养技术获得成功,从生产技术方面为酶制剂工业的形成创造了条件。以后,酶的生产、分离、精制,酶在游离状态下的利用,固定化酶的制备和利用,酶反应器的应用等技术的发展,导致70年代初人们将酶反应过程(有时也称酶过程)从发酵过程中分出去,单独成为酶工程中的核心部分。
分类
以酶为催化剂的酶反应过程,可根据作用于底物的酶性质决定。以单一酶为催化剂的反应称单酶反应;以两个酶或两个以上酶参与反应的过程称多酶反应;或称多酶串联反应。从化学反应工程角度出发,可分为单(液)相催化反应以及多相催化反应,后者以液固相催化反应为主。游离酶的反应常属前者,而固定化酶的反应则属后者。
组成步骤
以工业生产为目的的酶过程可由以下五个步骤所组成:
(1)产生酶的微生物发酵过程。
(2)胞内酶的微生物细胞破碎过程。可用机械研磨、高压匀浆器进行破碎;也可用加入溶菌酶的方法处理,或用超声波、反复冻融的物理方法。胞外酶则不需上述操作,直接将发酵液过滤除去菌体即可。
(3)酶的分离纯化过程。根据酶分子与其他蛋白质之间性质的差异,例如分子的大小、溶解度的不同,用盐析法、有机溶媒沉淀法、电渗析法、离子交换层析和电泳法等技术,将酶进行分离纯化。
(4)为了提高酶的催化性能,将酶固定在载体上的固定化过程(见固定化酶)。
(5)酶反应器的设计和酶反应控制。对于游离酶反应,通常采用分批搅拌槽反应器;对于固定化酶反应,则常用连续柱式反应器(见生物反应器)。
典型过程
有单酶反应和多酶反应。
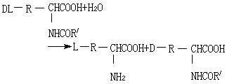
(1)单酶反应 用氨基酰化酶对酰化DL-氨基酸进行水解,析出为L-氨基酸和酰基-D-氨基酸是典型的单酶反应。
若采用液相催化反应,当间歇反应结束后,给产物的提取带来困难。由于缺乏适当分离手段,酶使用一次就被弃掉,很不经济。目前,工业上采用液固催化反应,即用固定化氨基酰化酶进行连续生产(见图)。底物乙酰-DL-氨基酸溶液以一定流速进入酶反应柱,反应过程中对温度、pH进行控制,经过浓缩后,利用溶解度不同进行分离得到产品L-氨基酸。酰化-D-氨基酸用化学方法进行消旋化反应后,作为基质循环使用。该法与用液态酶间歇式反应相比较,有操作稳定、分离简便、收率高、成本低等优点。
(2)多酶反应 以DL-α-氨基-ε-乙内酰胺为原料通过由L-α-氨基-ε-已内酰胺水解和α-氨基-ε-已内酰胺消旋酶共同固定的酶柱后,即可获得最终产品L-氨基酸。