连续系统数字仿真方法

用数字计算机对连续系统进行仿真的方法。采用这种方法时首先将连续系统的数学模型转变为适合在数字计算机上进行试验的仿真模型,实现这种转变的计算方法主要有微分方程数值解法和离散相似法。

微分方程数值解法

连续系统的数学模型通常可用一组 的一阶常微分方程来描述,也可以写成这样可以通过对f从时间t0t1t0h积分,计算出经过一个计算步长h以后y的值,即

用同样方法可以计算出下一个计算步长h后的y值:

按此方法递推下去,便可根据f 算出变量 y 随时间变化的全过程。用y1y2,…,yk,…表示y(t1),y(t2),…,y(tk) ,…。解算的关键是如何用数字计算机计算这个积分式,所以此法也称为数值积分法,它又可分为单步法和多步法。计算yk+1只需要用到ykf(yk,tk)这一步的数据,称为单步法。若完成这一步后还需要用到yk-1,f(yk-1,tk-1),yk-2f(yk-2tk-2),…等前几步的数据,则称为多步法。最常用的单步法是龙格库塔法,最常用的多步法是阿旦姆斯法。一种改进的方法是变步长法,它能在仿真计算过程中自动估计误差,并按精度要求不断改变积分步长,因此对减少仿真计算时间有十分明显的效果。

离散相似法

直接从传递函数状态方程转换为适合在数字计算机上处理的离散传递函数或离散状态方程的方法。它分为传递函数转换法和状态方程转换法两种。

传递函数转换法

从系统的传递函数G(s)求出与它特性相似的离散传递函数G(z)的方法。其步骤是:

(1)对输入信号u(t)进行采样,使之成为离散信号u(kT),T为采样周期,k=0,1,2,…,②用信号重构器将 u(kT)恢复为连续信号╛t,③设信号重构器的传递函数为GH(s),则G(z)=z{GH(sG(s)},式中z表示对括号内的函数取Z变换

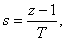
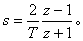
为了保证仿真精度,要求采样周期T 符合采样定理,即T ≤π/ωm,其中ωm为输入信号的最大角频率。实际可采用的信号重构器都不可能完全恢复原来输入的连续信号,所以会引起误差。减少这种误差的办法是在信号重构器前或后增加一个补偿器。另外还有一种直接利用sz的替换关系由G(s)求出G(z)的方法,称为替换法。如欧拉替换:塔斯廷替换:后者具有良好的计算稳定性和精度,又可用计算机自动进行这种转换,因此应用较为广泛。

状态方程转换法

从连续状态方程经过离散化处理而求出与它特性相似的离散状态方程的方法。离散化处理的过程与传递函数转换法类似,因此同样存在由信号重构器所造成的误差,也可用补偿的办法来减少。如果能将输入信号ut增广为系统的状态量,则可完全避免这部分误差,此法称为增广矩阵法。

步骤

连续系统数字仿真的具体步骤是:

(1)选择合适的计算方法构成离散化的仿真模型。

(2)选择积分步长、积分时间。若采用浮点运算则不必选比例尺。

(3)编制仿真程序框图,按指定的语言编写源程序。

(4)将源程序和数据输入计算机,上机求解。

(5)记录输出的数据和图形。

参考书目
  1. G.A.科恩、J.V.韦特著,李仰东等译:《连续系统数字仿真》,科学出版社,北京,1981。(G.A.Korn,J.V.Wait, Digital Continuous System Simulation, Prentice-Hall, Englewood Cliffs,N.J.,1978.)
  2. John M.Smith, Mathematical Modelin gnd Digital Simulation for Enginerrs and Scientists, John Wiley and Sons, New York,1977.