电能测量

电路或系统所消耗的电能的测量。电能测量对了解能量转换效率及用户用电的经济核算有重要意义。

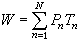
电能W是有功功率P 随时间的积累,即公式 符号T是所拟积累的一段时间。电能的基本单位是瓦秒,但经常采用的是千瓦时,1千瓦时即为俗称的1度电。测量电能的主要方法有瓦秒表法和电能表法。

瓦秒表法用一个功率表和一个秒表测量电能。若在各时间段T1T2、…、Tn内功率各自维持恒定,其值分别为P1P2、…、Pn,则在总时间TT1+ T2+ …+Tn内的总电能为各段时间内电能之和,即

公式 符号

这种方法也用于校验其他测量电能的仪表。

电能表法是用电能表测量电能。由于实际电路或系统的负载是不断变化的,电能表能实现电能的自动积累,并不断记录电能。单相电能表在电路中的接线方式与功率表相同。

三相系统的电能测量与电功率测量相似。对三相四线系统,可以用三个单相电能表测量电能,接法与三相四线系统的功率表方式相同。对三相三线系统,可以用两个单相电能表进行测量,其接法也与三相三线系统中两个功率表的接法相同。

采用分时计费的电能表可将高峰和低谷用电分开计量、分别计价,是用经济手段调整用电负荷的有效措施。分时计费装置(见图)是采用感应系电能表的测量机构,

图

结合光电传感的方法,将电能表中铝盘的转数转换为电脉冲。一段时间内的脉冲数即代表这一段时间内负载所消耗的电能,然后再由时控装置按整定的峰谷用电的起始和终止时间,控制峰载和谷载计量器,即可实现分时计费。

随着电力电子技术的发展,电力电子器件广泛应用,电压和电流波形严重畸变,又制成了能测量非正弦波形的特种电能表。