成色剂

彩色显影成色剂的简称。银盐彩色感光材料中,显影时能与彩色显影剂氧化产物反应而生成染料的有机物。主要用作感光乳剂添加剂,仅少数具有扩散性的成色剂,因不能在乳剂中固定,故加在彩色显影液中用以显色。

按生成染料的颜色分类

在减色法彩色感光材料中,成色剂可按其所生成的染料颜色分成成黄色、成品红色和成青色成色剂。

成黄色成色剂

在曝过光的卤化银作用上,与彩色显影剂氧化产物生成黄色染料的成色剂。具有开链状酰基乙酰芳胺的母体结构,能与彩色显影剂氧化产物生成黄色偶氮甲碱染料。例如:

公式 符号 公式 符号 成品红色成色剂

在曝过光的卤化银的作用下,与彩色显影剂氧化产物生成品红色染料的成色剂。为环状活泼的亚甲基甲酮化合物、亚甲基和羰基直接相联。最常用的是具有1,3-取代-5-吡唑酮的母体结构,能与彩色显影剂氧化产物生成品红色偶氮甲碱染料。例如:

公式 符号 公式 符号 成青色成色剂

在曝过光的卤化银作用下,与彩色显影剂氧化产物生成青色染料的成色剂。具有苯酚或1-萘酚的母体结构,能与彩色显影剂氧化产物生成青色吲哚苯胺染料。例如:

公式 符号

按性质和应用方法分类

可分成扩散性和非扩散性成色剂,后者又可分为水溶性和油溶性成色剂。

扩散性成色剂

成色剂可以加到彩色显影液中,在显影时扩散到感光材料的乳剂层中,再按照上述反应式生成染料。具有这种性质的成色剂即称为扩散性成色剂,又因为它们加在显影液中,仅在显影时才扩散到感光材料中起作用,故也称为外偶成色剂。

非扩散性成色剂

成色剂也可以固定在感光乳剂中,使它不能扩散,所成的彩色感光材料的冲洗加工较为简便,这类成色剂即称为非扩散性成色剂。在目前的彩色感光材料中被广泛应用。又因为它们直接加到感光乳剂层中起作用,故又称为内偶成色剂。非扩散性成色剂又可分成水溶性和油溶性两种。

(1)水溶性成色剂的分子中,除有水溶性基团外,尚带有长碳链烷基,能防止成色剂在乳剂层中扩散。例如:

公式 符号

将水溶性成色剂溶解成碱性水溶液,加到感光乳剂中,经涂布、干燥后即可固定在乳剂层中。

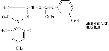
(2)油溶性成色剂能溶于邻苯二甲酸二丁酯、磷酸三苯酯等有机溶剂中。将溶有成色剂的有机溶剂以极小的油滴分散到感光乳剂中,即可防止成色剂在乳剂层中扩散。例如:

公式 符号 公式 符号 公式 符号

上列各式中t为叔戊基。

辅助成色剂

在彩色感光涂层中,除了黄、品红和青三种主要成色剂之外,主要还有以下各种:

带色成色剂

又称色罩成色剂,其偶合部位上带有一个偶氮发色基团,因此本身具有颜色,在偶合反应中,偶氮基团脱落,在形成染料的同时,成色剂的本身颜色消失。这种成色剂常加在负片的感绿层或感红层中,以使彩色更加鲜艳。含带色成色剂的负片在显影后蒙有一层均匀的橘红色,称为色罩(或马斯克)。

DIR成色剂

显影抑制剂释放型成色剂的简称。其偶合部位上带有一个显影抑制剂,在偶合反应中,显影抑制剂分子脱落,从而起抑制显影的作用。

这种成色剂可降低胶片的粒度,提高清晰度,改善影像质量,柯达公司的Ⅱ型彩色负片,就是采用了DIR成色剂的胶片。

二当量成色剂

其偶合部位带有一个偶合时可以脱落的基团,每形成一个染料分子只需还原两个银离子,故称二当量成色剂。二当量成色剂生成染料的效率较高,因而可降低乳剂层的厚度,提高影像清晰度。

此外,还有可以消除部分显影氧化产物而做成胶乳的高分子成色剂(L 型成色剂)、能与明胶连接的活性成色剂和增强影像的IAR成色剂(A型成色剂)等。