[拼音]:dianlu bianhuan
[外文]:circuit transformation
简化电路计算的一种手段。它是在满足某种条件下,把一个给定的电路中的一部分改变成一个不但连接方式(拓扑结构)不同,而且所含元件的参数数值也不同的新电路。这个新电路的连接方式多半比较简单,即使不简单,也能为计算提供一定的方便。最常见到的电路变换是等效变换。这是一种能保证电路的非变换部分中的电压、电流在变换中维持不变的变换。 其示意图见图1, 其中图a是变换前的电路,图b是变换后的电路。
已经证明,要保证非变换部分中的电压、电流维持不变,变换成的新电路部分必须是变换部分的等效电路,亦即前者与后者应具有相同的外特性。所以,实现这种变换的关键是求出电路变换部分的等效电路。求等效电路的步骤是:首先,根据电路变换部分的电路图用适当的方法写出该部分的外特性方程;然后,根据求得的外特性方程确定等效电路的连接方式(拓扑结构)和相应的元件参数。
把电路内一个由电阻元件连接成的多射线星形(图2)变换成一个多角形(图3)是这类变换中的一个较为典型的实例。
按上述步骤完成这个变换应首先写出多射线星形的外特性方程。此方程的矩阵形式为
媠 尓 =嫟(1)
式中尓=[v1,v2,……,vn]T,嫟=[i1,i2,……,in]T它们分别是外部端点上电压矢量和电流矢量的系数矩阵 媠 =
(2)
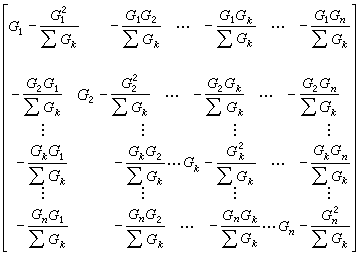
然后,据式(1)求多射线星形的等效电路。 按对电路的节点电导矩阵(节点方程的系数矩阵)的形式及内容的理解,可断定,一个如图3所示的多角形只要有与多射线星形一一对应的端点,以及在其本身的两两端点间的互导为
(i=1,2,…,n;k=1,2,…,n;i≠k)(3)
它的节点电导矩阵彅必定等于媠,亦即与多射线星形有相同的外特性方程。这说明多角形是多射线星形的等效电路,可以实现由后者到前者的等效变换。应该指出,将多角形等效变换成多射线星形一般是难以实现的,只有在n=3,即多角形是三角形, 多射线星形是三射线星形(简称星形)时才能成功。这是因为在n>3时,根据已知多角形的参数Gik(i=1,2,3,…,n;K=1,2,3,…,n;i≠K)无法从式(3)反求出多射线星形的参数Gk(K=1,2,3,…,n)[n>3时,方程的个数
>待求量的个数n]。
在电路计算中,把几个串联(或并联)的同类元件合并成一个元件是最简单的等效变换。戴维南定理和诺顿定理中的等效替换,以及电源模型间的互换也都是等效变换。虽然替代定理中所进行的替代是根据外特性曲线上的一点相同,而不是整个曲线相同,但因一点相同仍含有等效的意思,故可看成是一种特殊的等效变换。