[拼音]:tielu yunshu nengli
[外文]:railway transport capacity
铁路的运输生产能力,通常以铁路通过能力和铁路输送能力来表达。
铁路通过能力
一条铁路线路在单位时间(一昼夜或一小时)内所能通过的最大行车量(列车数或列车对数)。按一个铁路区段确定的通过能力称为铁路区段通过能力,而按铁路全线确定的通过能力称为铁路全线通过能力。
限制因素铁路通过能力的大小同该线路的固定设备、机车车辆类型以及行车组织的方式和方法或列车运行图的类型等因素有关。铁路区段通过能力直接或间接地受到与行车有关的各种技术设备的限制,如受到线路区间的设备、车站的设备、机务段的设备,以及供电设备、供水设备等因素的限制。这些因素中最薄弱的环节就是确定区段通过能力的限制因素。这个薄弱环节所能提供的最大通过能力称为区段最终通过能力,而最薄弱区段的最终通过能力即为全线的最终通过能力。
计算方法通过能力 (N)按铁路各项固定技术设备计算。计算线路的通过能力多从确定区间通过能力开始,先计算该线路的每个区段内的每一区间的通过能力,然后对线路整个方向加以综合分析和确定。具体计算方法是:
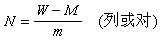
(1)直接计算法,其公式为:
式中W为单位时间内该项设备所提供的总生产率;M为单位时间内用于固定需要所消耗的那部分生产率;m为通过一列或一对货物列车所需要的生产率。
(2)间接计算法,包括扣除系数法、通过能力利用系数法等。在中国、苏联和东欧一些国家采用扣除系数法。区间通过能力按不同类型的平行运行图确定。平行运行图的全部列车是等速运行的,它的通过能力(N1)由限制区间的运行图周期(T1)的大小和该运行图周期内的列车数或列车对数(K)决定,即:
式中1440为一昼夜的分钟数;T1是限制区间的运行图周期。限制区间是具有最大区间运行图周期的区间。区间运行图周期由列车(一列或几列)区间纯运转时分、起停车附加时分和车站间隔时分所组成。
具有不等速列车运行的非平行运行图的通过能力,(N2)可借助不等速列车(相对于普通货物列车而言)的扣除系数 (ε)从平行运行图通过能力中加以折减。所谓扣除系数是指铺画一列高于或低于一般运行速度的列车,相当于铺画一列一般速度运行的列车的比值。在以运行货物列车为主的区段上,其扣除系数是指铺画一列旅客列车、摘挂列车或其他列车,相当于铺画多少列货物列车的比值。这样,非平行运行图的通过能力为:
N2=N1-ε1K1-ε2K2……
式中ε1和ε2分别为旅客列车和摘挂列车的扣除系数; K1和K2分别为区段内铺画的旅客列车和摘挂列车的数量。
有些国家借助通过能力利用系数求通过能力。在民主德国,当确定了现行运行图的行车量(n)及其在限制区间的通过能力利用系数(k)后,通过n/k便可求得该区间所能通过的最大列车数。在日本,区段通过能力分为理论的和实际的两种,前者可用直接计算法确定,后者是借助理论通过能力的最大利用系数来确定。借助扣除系数或利用系数确定的通过能力都是近似值,若要获得较精确的结果,所应用的扣除系数或利用系数的值必须符合实际。
储备为了适应货运量的季节性波动,满足线路维修和线路改造的需要,以及避免因通过能力的利用过分饱满而造成运行图指标的恶化,铁路通过能力应具有一定的储备。储备量的大小因线路条件而异,苏联等国采用10%~20%,中国铁路一般单线为20%,双线为15%。
提高措施提高铁路通过能力,可以通过采用技术改造措施和采用技术组织措施的途径来实现。技术改造措施包括增设会让站,修建线路所,采用更完善的信号、联锁、闭塞制度,降低线路的限制坡度,修建复线等。技术组织措施包括利用机车动能闯坡,采用补机或多机牵引,在单线区段采用特殊类型的列车运行图,采用重载列车、合并列车和其他先进的车流组织方法。此外,还可采用临时加强通过能力的措施,如开行续行列车,在复线区段组织反方向行车,采用活动闭塞或成队运行等列车运行方式。
铁路输送能力
一条线路一年内所能完成的最大货运量(以百万吨计),其大小是在一定的固定设备下,根据活动设备(如机车车辆)、乘务人员配备的数量等加以确定。当某条线路的通过能力确定后,便可计算出输送能力(G)。计算公式:
式中k′为货运量波动系数;Q为货物列车牵引总重;嗘为平均载重系数(列车净重与总重之比)。
决定铁路输送能力的主要因素,除通过能力外,还有列车牵引重量和平均载重系数。因此,延长车站到发线有效长、采用大功率机车和大型车辆并提高其载重量,以及实行重载运输等,对提高铁路输送能力有着重要意义。
铁路通过能力、铁路输送能力要同车站改编能力、装卸作业能力、短途运输能力相互适应和协调,因此,铁路部门十分重视运输能力的综合提高和协调发展。