µç·µÄ״̬±äÁ¿·ÖÎö

ÓÃ״̬±äÁ¿½¨Á¢×´Ì¬·½³ÌÒÔ·ÖÎöµç·µÄ·½·¨¡£Ò»ÏµÍ³µÄ״̬±äÁ¿ÊǾßÓÐÏÂÊöÌØµãµÄÊýÄ¿×îÉÙµÄÒ»×é±äÁ¿£ºÖªµÀÕâÒ»×é±äÁ¿ÔÚijһʱ¿Ì(t=t0)µÄÖµºÍÊ©¼ÓÓÚ´ËϵͳÔڴ˺ó(t¡Ýt0)µÄÊäÈ루¼¤Àø£©Öµ£¬¾ÍÄÜÍêȫȷ¶¨´ËϵͳÔÚÈκÎʱ¿Ì(t¡Ýt0)µÄÐÔ×´¡£ ͬһϵͳ¿ÉÒÔÓöà×é״̬±äÁ¿ÖеÄÈÎÒ»×éÈ¥ÃèÊö¡£Ñ¡È¡ÔõÑùµÄÒ»×éÍùÍùÊÓ·½±ãÓëÐèÒª¶ø¶¨¡£

״̬¿Õ¼ä·ÖÎö¾ÍÊDzÉÓÃ״̬½¨Á¢×´Ì¬·½³Ì£¬ÒÔ·ÖÎöϵͳµÄÐÔ×´¡£Á¬ÐøÊ±¼äϵͳµÄ״̬·½³ÌÊÇÒ»×éÁªÁ¢µÄÒ»½×΢·Ö·½³Ì£»Àëɢʱ¼äϵͳµÄ״̬·½³ÌÊÇÒ»×éÁªÁ¢µÄÒ»½×²î·Ö·½³Ì¡£

Á¬ÐøÊ±¼äϵͳµÄ״̬·½³Ì

ÓÃʸÁ¿Ð´³ö£¬Ò»°ãÓÐÒÔÏÂÐÎʽ

„J£½f(χ £¬u)¡¡¡¡(1)

ʽÖÐχ ÊÇn άʸÁ¿£¬´ú±í״̬±äÁ¿£»„JΪ״̬±äÁ¿µÄʱ¼äµ¼Êý;uÊÇm άʸÁ¿£¬´ú±íÊäÈë;º¯Êýf:Rn¡ÁRm ¡úRn¡£¸ø¶¨µç·µÄÍØÆË½á¹¹£¨¼ûÍøÂçÍØÆË£©Ôª¼þÌØÐÔ¼°µçÔ´£¬¿ÉÒÔ¸ù¾Ý»ù¶û»ô·ò¶¨Âɼ°¸ø¶¨µÄÉÏÊöµçÂ·ÌØÐÔд³öÆä״̬·½³Ì¡£ÔÚµç·ÀíÂÛÖг£È¡µç¸ÐµçÁ÷»ò´ÅÁ´£¬µçÈݵçѹ»òµçºÉΪ״̬±äÁ¿¡£

¶Ô½öº¬RLCMµÄµç·£¬´óÖ¿ÉÒÀÏÂÁв½Ö轨Á¢×´Ì¬·½³Ì¡£

£¨1£©¼ÙÉèµç·ÖÐûÓÐÍêÈ«ÓɵçÈÝ¡¢µçѹµçÔ´×é³ÉµÄ»ØÂ·ºÍÍêÈ«Óɵç¸Ð¡¢µçÁ÷µçÔ´×é³ÉµÄ¸î¼¯£¬±ã¿ÉѡһÊ÷£¬Ê¹È«²¿µçÈÝ¡¢µçѹµçԴ֧·¾ùΪÊ÷Ö§£¬µç¸Ð¡¢µçÁ÷µçԴ֧·¾ùΪÁ¬Ö§¡£

£¨2£©È¡µçÈݵçѹ£¨»òµçºÉ£©¡¢µç¸ÐµçÁ÷£¨»ò´ÅÁ´£©Îª×´Ì¬±äÁ¿£¬¶ÔÿһÊ÷Ö§¸ù¾ÝKCLд»ù±¾¸î¼¯·½³Ì£¬ÆäÖб㺬ÓÐÁªÏµµçÈݵçÁ÷ÓëÁ¬Ö§µçÁ÷µÄ·½³Ìʽ£»¶ÔÿһÁ¬Ö§¸ù¾ÝKVLд»ù±¾»ØÂ··½³Ì£¬ ÆäÖб㺬ÓÐÁªÏµµç¸ÐµçѹÓëÊ÷Ö§µçѹµÄ·½³Ì¡£

£¨3£©ÓÉÕâÑùµÃµ½µÄ·½³Ì×éÖÐÏûÈ¥·Ç״̬±äÁ¿¼´Ê÷Ö§µç×èµçѹ¡¢Á¬Ö§µçµ¼µçÁ÷£¬±ãµÃµ½ÒÔµçÈݵçѹºÍµç¸ÐµçÁ÷ÒÔ¼°¸÷µçÔ´µçѹ£¨Á÷£©±íʾµÄµçÈݵçÁ÷¡¢µç¸ÐµçѹµÄ±í´ïʽ£¬ÓÉÖ®±ã¿ÉÈÝÒ׵صóöµç·µÄ״̬·½³Ì¡£ÔÚº¬ÓеçÈÝ-µçѹԴ»ØÂ·¡¢µç¸Ð-µçÁ÷Ô´¸î¼¯µÄµç·ÖУ¬ÈÔ¿ÉÑ­ÉÏÊö·½·¨½¨Á¢×´Ì¬·½³Ì£¬Ö»ÊÇÓеĵçÈݵçѹ¡¢µç¸ÐµçÁ÷ÊÜKVL¡¢KCLµÄÏÞÖÆ£¬Ç°Õß¿ÉÒÔÓÉÓëÖ®¹¹³É»ØÂ·µÄµçÈݵçѹ¡¢ºóÕß¿ÉÓÃÓëÖ®¹¹³É¸î¼¯µÄµç¸ÐµçÁ÷±íʾ³ö£¬¶ø²»³ÉΪ״̬±äÁ¿¡£

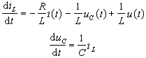
ÒÔÒ»¸öÓɵç×èR¡¢µç¸ÐL¡¢µçÈÝC¡¢µçѹԴu×é³ÉµÄ´®Áªµç·£¨¼ûͼ£©ÎªÀý£¬

ͼ

Ñ¡uc£¬iLΪ״̬±äÁ¿£¬¿ÉµÃÆä״̬·½³ÌÈçÏ£º

¹«Ê½ ·ûºÅ

¸ø¶¨³õʼÌõ¼þiL(t0)¡¢ uc(t0)£¬±ã¿ÉÓÉÉÏÊö·½³Ì½âµÃuc(t)£¬iL(t)¡£Èç¹ûËù¹ØÐĵÄÊä³öÊǵçÈݵçѹ£¬±ãÓÐ

¹«Ê½ ·ûºÅ

ÓÉ״̬±äÁ¿ºÍÊäÈë±íʾµÄÊä³öÁ¿µÄ·½³Ì³ÆÎªÊä³ö·½³Ì¡£

ÏßÐÔʱ±äµç·µÄ״̬·½³Ì¡¡Ò²¿ÉÒÔ°´ÉÏÊö²½ÖèÈ¥½¨Á¢¡£¶ÔÓÚ·ÇÏßÐÔµç·ËäÈ»Òà¿É¸ù¾ÝÉÏÊöͬÑùµÄ²½ÖèÈ¥ÁÐд·½³Ì£¬µ«ÔÚÏûÈ¥·Ç״̬±äÁ¿µÄ¹ý³ÌÖÐ񻃾¼°·ÇÏßÐÔ·½³ÌµÄÇó½â£¬ÕâÒ»°ãÖ»ÄÜÓÃÊýÖµ·½·¨È¥´¦Àí£¬¶øÇÒÐèÒªÔª¼þÌØÐÔµÄÐÔÖÊÂú×ãijЩÌõ¼þ£¬²ÅÄÜÓÐ״̬·½³ÌµÄÃèÊö¡£

ÏßÐÔʱ±äµç·µÄ״̬·½³ÌÓÐÒÔÏÂÐÎʽ

¹«Ê½ ·ûºÅ¡¡¡¡¡¡¡¡¡¡ (2)

ʽÖÐϵÊý¾ØÕó¾ùΪÒÔʱ¼äº¯ÊýΪÆäÔªËØµÄ¾ØÕó¡£ÉèÉÏÒ»·½³ÌµÄÆë´Î·½³Ì„J£½A(t)χÓÐn¸öÏßÐÔÎ޹صĽ⣬φi=(φ1iφ2i¡­φii¡­φni(i =1£¬2£¬¡­£¬n)£¬ÓÉ´Ën¸ö½â×é³ÉµÄ¾ØÕó

¹«Ê½ ·ûºÅ¡¡¡¡¡¡¡¡¡¡(3)

³ÆÎª·½³Ì (2)µÄÆë´Î·½³ÌµÄ»ù±¾¾ØÕó£¬Φ(t£¬t0)ŒÅΦ(t)Φ-1(t)ψ-1(t0)³ÆÎª·½³Ì(2)µÄ×´Ì¬×ªÒÆ¾ØÕó¡£ Âú×ã·½³Ì(2)¼°³õʼÌõ¼þχ(t0)=χ0µÄ½âΪ

χ(t)£½φ(t£¬t0)χ0

ÓÉ´Ë·½³ÌµÄ½â¿É±íʾΪ

¹«Ê½ ·ûºÅ¡¡¡¡¡¡¡¡(4)

ʽÖеÚÒ»ÏîÊÇÁãÊäÈë½â£¬µÚ¶þÏîÊÇÁã״̬½â¡£ÓÉÉϿɼû£¬Çóʱ±äµç·״̬·½³ÌµÄ½â£¬Ê×ÏÈÐèÒªÇó³ö¾ßÆë´Î·½³ÌµÄÒ»×é¶ÀÁ¢µÄÌØ½â£¬Ö»ÔÚÉÙÊýÇé¿öÏ¿ÉÒÔÇó³ö½âÎöÐÎʽµÄÕâ×é½â´ð¡£ËùÒÔÔÚÐí¶àÇé¿öÏÂÖ»µÃÓÃÊýÖµ·½·¨ÇóÆäÊýÖµ½â¡£

ÏßÐÔʱ²»±äµç·µÄ״̬·½³Ì

Ò»°ãÓÐÏÂÁÐÐÎʽ£º

„J£½Aχ£«Bu¡¡¡¡¡¡¡¡¡¡¡¡¡¡(5)

ÒÔ¼°Êä³ö·½³Ì

‰þ£½Cχ£«Du¡¡¡¡¡¡¡¡¡¡¡¡ (6)

ʽÖÐχÊÇnάÁÐʸÁ¿£¬uÊÇmάÁÐʸÁ¿£¬yÊÇijһάÊýµÄÊä³öÁÐʸÁ¿£¬A¡¢B¡¢C¡¢D ÊÇÐÐÁÐÊýÊʵ±µÄ³£Êý¾ØÕó¡£ÕâÖÖÐÎʽµÄ·½³ÌµÄ½âΪ

¹«Ê½ ·ûºÅ¡¡(7)

ʽÖÐχ(t0)£½χ(t)¹«Ê½ ·ûºÅÊǸø¶¨µÄ³õʼÌõ¼þ¡£ÔÚÏßÐÔ´úÊýÀíÂÛÖÐÓÐÐí¶à·½·¨¿ÉÓÃÒÔ¼ÆËãʽÖÐÉæ¼°µÄ¾ØÕóº¯Êý¡£Ê½ÖÐÓҶ˵Ú1Ïʽ ·ûºÅ¼´Êǵç·µÄÁãÊäÈëÏìÓ¦;µÚ2Ïʽ ·ûºÅ¡­¼´Êǵç·µÄÁã״̬ÏìÓ¦¡£È«²¿ÏìÓ¦¼´Îª´ËÁ½ÏîÖ®ºÍ¡£¾ØÕóº¯Êý

¹«Ê½ ·ûºÅ

³ÆÎª×´Ì¬×ªÒƾØÕó¡£ÔÚÎÞ¼¤ÀøµÄ×÷ÓÃÏ£¬µç·t0ʱµÄ״̬ʸÁ¿ÓëÖ®Ïà³Ë£¬±ã±»×ª»»³ÉtʱµÄ״̬χ(t)¡£

ÏßÐÔʱ²»±äµç·µÄ״̬·½³Ì»¹¿ÉÓÃÖîÈçÀ­ÆÕÀ­Ë¹±ä»»ÄËÖÁÊýÖµ·½·¨Çó½â¡£×ÜÖ®ÕâÀàÎÊÌâµÄÇó½âÒÑÓгÉÊìµÄ·½·¨¿ÉÓá£

·ÇÏßÐԵ緵Ä״̬·½³Ì

ÕâÀàµç·µÄ״̬·½³ÌµÄÇó½âÊÇÀíÂÛÉÏ»¹²»³ÉÊìµÄÁìÓò¡£·ÇÏßÐÔµç·ÖдæÔÚÐí¶àÏßÐÔϵͳÖв»´æÔÚµÄÏÖÏó£¬ÈçÕñµ´¡¢ÌøÔ¾¡¢»ìãçµÈ£¬Ö»ÓÐÓ÷ÇÏßÐÔÀíÂÛ²ÅÄܲûÃ÷¡£ËüÊÇÒ»¸öÓÐÀíÂÛÒâÒåÕýÔÚ±»Ì½Ë÷µÄÁìÓò¡£