[拼音]:dianlu zhong de xiezhen
[外文]:resonance in circuit
含有电感线圈和电容器的无源(指不含独立电源)线性时不变电路在具有其个特定频率的外加正弦电源作用下,对外呈现纯电阻性质的现象。这一特定频率即为该电路的谐振频率。以谐振为主要工作状态的电路称为谐振电路。谐振在无线电技术和电工技术中得到广泛的应用。在许多种无线电设备中都几乎无例外地采用谐振电路来完成调谐、滤波等功能。但在电力系统中却常要防止谐振发生,以免引起过电压、过电流,造成系统的设备损坏或人身事故。
线性谐振发生在线性时不变无源电路内的谐振。电路对外呈现纯电阻的性质意味着其入端(策动点)阻抗Z(或导纳Y)的虚部为零,或者说电路的总电抗X(或总电纳B)为零,即
X=0
或
B=0
满足两式的频率(记为ω0)便是电路的谐振频率。以电感线圈和电容器串接成的振荡电路为例,当只计及电感线圈的损耗时,此电路可表示成一个R-L-C串联电路,谐振时总电抗为零,即
按上所说,可知此电路的谐振频率
当外加正弦电压的频率ω=ω0时,便要产生谐振。
出现谐振的电路中,电感器和电容器上的电压(或流过它们的电流)会超出外加电压(或电流)许多倍。与此同时,由于电路的总电抗(或总电纳)为零,电路与电源不再有能量交换。电源只向电路输送有功功率供电路的电阻消耗,但早已储存在电感器和电容器内的磁场能量和电场能量却在它们之间进行周期性的交换。这种周期性的电磁能量振荡过程是谐振赖以维持的根本原因,而且这种过程愈剧烈,电路的谐振亦愈剧烈。
参量谐振发生在含有时变元件的电路内的谐振。一个由线性电阻器、线性时变电感器和线性电容器串联而成的电路,如果它的固有频率等于外部作用使时变电感L(t)变化的频率的一半,而电阻R又较小时,便会出现以电流振幅无限增长为特征的谐振现象。这种谐振可以不需要外部电源参与。实际上,电流振幅不会增长到无限大,因为电流振幅大到一定程度会使电路元件呈现出非线性性质,这种非线性性质能自动限制电流振幅的进一步增长。一个凸极同步发电机带有容性负载的电路内就可能产生参量谐振。
非线性谐振发生在含有非线性元件电路内的谐振。由铁心线圈和线性电容器串联(或并联)而成的电路(习惯上称为铁磁谐振电路)就能产生非线性谐振。在正弦电压(或电流)作用下,这种电路内会出现基波谐振、高次谐波谐振、分谐波谐振以及电流(或电压)的振幅和相位跳变的现象。这些现象通常被统称为铁磁谐振。在电力系统中已经发现铁磁谐振会引起内部过电压,造成事故。这说明铁磁谐振具有一定的危害性,不过它所具有的跳变现象却又很有用处。例如有的继电保护系统利用这种现象来保护各类电工设备的安全。
分析非线性谐振远较分析线性谐振和参量谐振困难。因为前者遇到的是非线性微分方程的求解问题,而非线性微分方程迄今尚无一种既简便又精确的解法。正因为这样,对非线性谐振的分析只能采用近似方法,并利用所得的近似解答来说明现象。当然分析参量谐振也很困难,因为线性变系数微分方程也不易求解。
串联谐振电路用线性时不变的电感线圈和电容器串联组成的谐振电路。出现在这种电路内的谐振称为串联谐振又称电压谐振。当计及电感线圈中的损耗时,此电路成为如图1所示的R-L-C串联电路。
当外加电压的频率ω 等于电路的谐振频率时,即
便产生谐振。由于ω0与电路元件的参数L和C有关,所以除了改变外加电压的频率能使电路谐振外,调整L和C的数值也能使电路谐振。
串联谐振电路谐振时,因其总电抗
为零,电路中的电流夒0将与外加电压妭同相,其(有效值)
。在电阻R很小时,此值会远远超过非谐振时电流的有效值而达到最大值。与此同时电感和电容上的电压妭L和妭c相位相反,大小相等。从与外加电压之比
和 
可知,二者皆是外加电压的
倍。于是,当R很小(即Q很大)时,二者将远超过外加电压而达到很大的数值,不过这却不是二者的最大值。在Q为有限值时(R不为零时),Vc达到最大值对应的频率
VL达到最大值对应的频率
前者出现在谐振之前,后者出现在谐振之后。只有Q=∞(R=0)时,二者的最大值才在谐振时同时出现。
谐振时电路内能量过程的主要特点是在电感与电容之间出现了周期性的等量能量交换,即在一段时间内磁场能量转换成电场能量。接着,在另一段时间内电场能量转换成磁场能量。一直这样不断地进行下去。正因为有了这种能量的振荡过程,才有了电路的谐振状态。
串联谐振电路的工作特性可用一族串联谐振曲线来表示(图2)。
曲线是根据下式
对不同的Q值作出的。式中I/I0是非谐振电流与谐振电流之比;
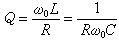
是非谐振频率与谐振频率之比。由于此式对任何串联谐振电路都适用,所以图上的曲线是一种通用的谐振曲线。从曲线上可以看出Q值对曲线形状的影响。Q值越大,曲线越尖窄。在工程上,把具有尖窄谐振曲线的电路称为选择性好的电路,因为它只允许少量其频率邻近(包括等于)谐振频率的电信号通过,其他频率的信号则受到抑制。由上可见,
是影响谐振电路谐振性能的重要参数,而且是一个无量纲的量。它的另一种定义是
对于串联谐振电路,上式可具体化为
从上式可很容易地导出
考虑信号源的内阻时,整个电路的品质因数要下降,所以串联谐振电路不宜与高内阻信号源一起使用。
并联谐振电路用线性时不变的电感线圈和电容器并联组成的谐振电路。出现在这种电路内的谐振称为并联谐振,又称电流谐振。当只计及电感线圈中的损耗时,此电路将如图3所示。
再将图中的R-L串联支路变换成Re-Le并联支路,便得如图4所示的Re-Le-C并联电路,
其中电阻Re和电感Le应该分别为
但因谐振电路采用的电感线圈的电阻远小于感抗,即
(也可说成因为电感线圈的品质因数QL很大,QL定义为
),可取二者为
Le=L
此电路与串联电路相对偶,谐振时入端导纳的虚部为零,即
由前述可知其谐振频率
另外,在谐振时,电路的端电压与外加电流同相,其值为V0=ReI。当R很小(即Re很大)时,此值将远过非谐振时的电压而达最大值。与此同时,电感和电容中的电流夒
和夒s相位相反,大小相等,且皆为外加电流的Q倍(
称为并联谐振电路的品质因数)。Q大时,二者会达到很大数值,但却不在此时达到最大值(情况同串联谐振时的电感电压和电容电压)。
谐振时电路内的能量过程类似于串联谐振电路的能量过程,也是出现了在电感与电容之间的周期性能量交换。
并联谐振电路的工作特性可用一族并联谐振曲线来表示。曲线是根据下式
及取不同的Q值时作出的。式中V/V0是非谐振电压与谐振电压之比,ω/ω0是非谐振频率与谐振频率之比。作出的曲线与串联谐振曲线相同,Q值对曲线形状的影响也相同。
信号源的内阻会降低整个并联谐振电路的品质因数,而且内阻越小,品质因数下降越明显,所以并联谐振电路不宜与低内阻信号源一起使用。