[拼音]:guanshui moshu
[外文]:modulus of irrigation
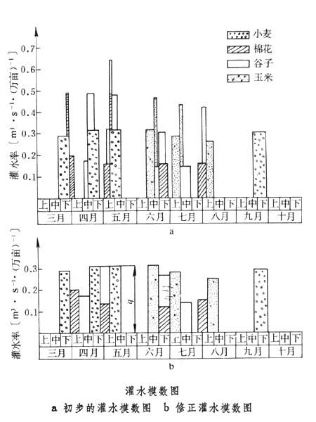
灌区单位面积的净灌溉用水流量。亦称灌水率,常以m3·s-1·(万亩)-1计。它是设计各级渠道流量和编制灌区用水计划的依据。灌水模数的计算,一般可先分别算出各种作物各次灌水的灌水模数,然后用图解法把各种作物灌水模数叠加成灌区的灌水模数(见图)。各种作物的灌水模数,可用下式计算:
式中qi为某种作物灌水模数〔m3·s-1·(万亩)-1〕;α为其种植面积占灌区灌溉面积的百分数;mi为其各次灌水定额(m3/亩);T为其各次灌水延续天数;t为每天灌水小时数。
初步绘制的灌水模数图(图a),一般很不均衡,并有短时间的间断,不便灌区运用管理,且浪费水量。在不影响作物需水的原则下,调整部分作物的灌水时间和延续天数,可得修正灌水模数图(图b)。选取其中延续时间较长的最大灌水模数值即为灌区设计灌水模数q。
根据灌区灌水模数图、灌区面积和灌溉水利用系数,可求得渠首设计引水流量和灌区用水流量过程。将各时段灌溉用水流量乘以灌水时间,即可得各时段的灌溉用水量。