[拼音]:moliang chuandi hanshu
[外文]:modulation transfer function
又称调制传递函数或频率反差传递函数,简称MTF。表示感光材料对不同频率的照相信号记录能力的一种方式。与影像清晰度和胶片的信息容量有密切关系,有时也用它表示光学镜头的信息传递质量。
感光材料记录影像的能力与细部的大小有很大关系,光学影像中尺寸较大的细部能清晰地记录在胶片上,但随着细部变小,所记录的影像则逐渐模糊、变弱,直至完全消失。因此,测定胶片对细部的记录能力,是评定胶片质量的重要方面。为了测定胶片对细部的记录能力,需在对景物的细部作必要分析的基础上,制定一个合理的参数予以表示。
被摄景物通过镜头后所形成的光学影像是由许多亮度不同的光点组成的,如用一台测微光度计沿一定的方向对此光学影像进行连续扫描,就可以得到一系列亮度随空间位置变化的表示影像细部组合的不规则曲线。利用傅里叶变换,可把这些不规则的曲线分解成许多频率与振幅不同的正弦波曲线。于是构成亮度按正弦波变化的图案并被用以作为测定 MTF的标板。图案中所示亮度(或透光率)按正弦波变化,不同频率的图像用来代替景物中的各种细部;正弦波的空间频率与细部的大小相对应(频率大则细部小),正弦波的振幅代表细部的视觉反差。
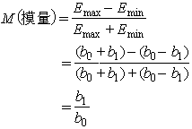
为了表示景物或光学影像中的细部反差。导入了“模量”的概念。它的求法是:
式中b0为平均亮度,b1是亮度变化的振幅。从式中可看出,模量是一种表示反差的方式,与视觉特性有一定的联系。Ε max与 Εmin之差可视为景物细部的亮度差,它与视觉反差成正比;Ε max与Ε min之和代表平均亮度水平,由于人的视觉器官对亮度差的感受与总的亮度水平相关,亮度水平高时,明暗差的感觉会有所降低,因此将Εmax+Εmin放在分母的位置上,表示它与视觉反差有相反的关系。设胶片对一个模量为 M的某频率的信号曝光。经冲洗后可测出胶片上所记录该信号的模量M’为:
M'/M的比值表示该胶片传递该模量的能力,常称之为对某频率的响应或叫作模量传递因子,以百分数表示。当频率响应为 100%时,说明胶片忠实地传递了该频率的模量。频率响应低于100%时,说明有所失真。响应值越低,失真度越大。低频部分的响应有时会超过100%,说明传递有所夸大,但它不一定会损害影像质量,有时能起到改善边沿清晰度的效果。
在求出一系列不同频率的响应数值后,以频率(周/毫米)为横坐标,以响应值为纵坐标,可以绘出一条频率响应曲线。通过这条曲线,可一目了然地看出该胶片对不同频率的细部的还原能力,而这种能力是以定量的数值──频率响应百分数表示的。
下图是测量胶片模量传递函数过程的示意图,图中用了4种不同空间频率的正弦波模板。测量时,先用狭缝及光电管扫描模板的影像,测出正弦波模板空间影像的模量M(在测定仪上所装模板的M是已知的,不需另加测量)。狭缝被胶片取代后,经过曝光与冲洗,用测微密度计测出各频率的最大与最小密度值,再经特性曲线转换成相应的Ε'max和Ε'min值,可求出M';M'/M的比值就是该频率的响应。按此法依次求出不同频率的响应。最后构成一条模量传递曲线。通过这条曲线,不仅能判断被测胶片记录细部的能力,并且可以求出胶片的分辨率、信息容量和影片在复制过程甚至整个照相过程中各不同频率细部的模量变化。