ÕªÒª£º½éÉܸߴ¿ÍпºÏ½ðÂ˲ĵÄÌØÐÔºÍÏȽøÐÔ £¬ÒÔ¼°ÌÖÂÛÁËÈ¥³ýË®ÖÐǦ¡¢Éé¡¢¹¯µÄ»úÀí£¬¿ÉÓ¦Óõķ¶Î§£¬Ó¦ÓÃÏÖ×´¼°Ç°¾°¡£¸ß´¿ÍпºÏ½ðÂ˲ĵÄÌØÐÔºÍÏȽøÐÔ£¬ ¼°ÌÖÂÛÁËÈ¥³ýË®ÖÐǦ¡¢Éé¡¢¹¯µÄ»úÀí£¬¿ÉÓ¦Óõķ¶Î§£¬Ó¦ÓÃÏÖ×´¼°Ç°¾°¡£
¹Ø¼ü´Ê£º¸ß´¿ÍпºÏ½ðÂ˲ģ» ÖØ½ðÊô£»µç»¯·´Ó¦£»Ë®´¦Àí
ÒýÑÔ
¸ß´¿ÍпºÏ½ðÂ˲ÄÊǸߴ¿¶ÈµÄÍ£¬Ð¿¿ÅÁ££¬Í¨¹ýµç»¯Ñ§Ñõ»¯Ò»»¹Ô(µç×Ó×ªÒÆ)½øÐÐË®´¦Àí¹¤×÷£¬Ëü¿ÉÒÔÇå³ýË®Öиߴï99£¥µÄǦ¡¢¸õ¡¢¹¯ÓëÆäËü¿ÉÈܽâ½ðÊô¡£¶Ô¿ØÖÆÏ¸¾ú£¬Õæ¾úÎÛ¹¸£¬Ë®ÔåµÄ×ÌÉú³ÉÐ§×¿Öø¡£±»ÓÃÓÚÔ¤´¦Àí£¬Ö÷´¦ÀíÓë·ÏË®´¦ÀíÉ豸¡£
1 È¥³ýÖØ½ðÊôµÄ»úÀí
¸ß´¿ÍпºÏ½ðÂ˲Ĵ¦Àí½éÖÊ¿ÉÒÔÈ¥³ýË®ÖеÄÖØ½ðÊôÀë×Ó£¬ÈçǦ¡¢¹¯¡¢Í¡¢Äø¡¢ïÓ¡¢Éé¡¢Ìà¡¢ÂÁºÍÆäËûÐí¶à¿ÉÈÜÐÔÖØ½ðÊôÀë×Ó£¬ËüÃǵÄÈ¥³ýÊÇͨ¹ýµç»¯Ñ§Ñõ»¯»¹Ô·´Ó¦ºÍ´ß»¯×÷ÓÃÍê³ÉµÄ¡£È¥³ýÖØ½ðÊôÀë×ӵĻúÀíÈçÏ£º½ðÊôÀë×ӶƸ²Óڸߴ¿ÍпºÏ½ðÂ˲Ĵ¦Àí½éÖʵıíÃæ»ò½øÈë¸ß´¿ÍпºÏ½ðÂ˲ľ§¸ñÖУ¬´Ó¶øÊ¹Óж¾ÖؽðÊôÎÛȾÎï½áºÏÔڸߴ¿ÍпºÏ½ðÂ˲ÄÉÏ¡£ÀýÈ磬ˮÖÐÈܽâµÄǦÀë×Ó»¹Ô³É²»ÈÜÐÔµÄǦÔ×Ó£¬²¢¶Æ¸²Óڸߴ¿ÍпºÏ½ðÂ˲ĽéÖʵıíÃæ£»XÉäÏßÑÜÉäÑо¿·¢ÏÖ¹¯µÄÈ¥³ýÊÇÐγÉÁËÍÒ»¹¯ºÏ½ð¡£
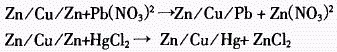
¸ß´¿ÍпºÏ½ðÂ˲Ĵ¦ÀíÖØ½ðÊôÀë×ӵĻ¯Ñ§·´Ó¦Ê½ÈçÏ£º

½ðÊôÀë×ÓÔÚË®µÄpHÖµÉý¸ßʱˮ½âÐγɽðÊôÇâÑõ»¯Îï³Áµí£¬Ò²ÄÜÈ¥³ý½ðÊôÀë×Ó¡£
2 ¸ß´¿ÍпºÏ½ðÂ˲ĵĿÉÓ¦Ó÷¶Î§
¸ß´¿ÍпºÏ½ðÂ˲Ŀɹ㷺ÓÃÓÚÔ¤´¦Àí£¬Ö÷´¦ÀíÓë·ÏË®´¦ÀíÉ豸ÖС£ËüÃÇ´ó¶àÓë»îÐÔ̼¿ÅÁ£¹ýÂËÆ÷£¬Ì¼¿é»ò¹ÜÄÚ¹ýÂËÆ÷¹²Í¬Ê¹Óá£Ò²¿Éµ¥¶ÀʹÓá£Óøߴ¿ÍпºÏ½ðÂ˲ĽéÖʽøÐÐË®µÄÔ¤´¦ÀíÊÇÒ»ÖÖ¼òµ¥¡¢µÍºÄµÄ·½·¨¡£¶ÔÓÚ΢ÂË¡¢³¬ÂË¡¢·´ÉøÍ¸Ä¤¡¢Àë×Ó½»»»Ê÷Ö¬¡¢¿ÅÁ£×´»îÐÔÌ¿£¬¸ß´¿ÍпºÏ½ðÂ˲ĽéÖÊÄܹ»±£»¤ÕâЩ°º¹óÒ×ËðµÄË®´¦Àí×é¼þ²»ÊÜÂÈ¡¢Î¢ÉúÎï¡¢½á¹¸µÄÓ°Ïì¡£´ËÍ⣬¸ß´¿ÍпºÏ½ðÂ˲ĿڽéÖÊÄÜÈ¥³ý¸ß´ï98£¥µÄÖØ½ðÊô£¬ÈçPb¡¢cd£ºCe¡¢Ag¡¢Ar¡¢AI¡¢Se¡¢Cu¡¢Hg£¬ÁíÍ⣬½èÖú³ÁµíÔڸߴ¿ÍпºÏ½ðÂ˲ĽéÖÊÉÏ·¢ÉúµÄÑõ»¯»¹Ô·´Ó¦»¹¿ÉÒÔ½µµÍË®ÖÐ̼ËáÑΡ¢ÏõËáÑκÍÁòËáÑΡ£
Ó°ÏìĤ·ÖÀ빤ÒÕЧÂʵÄÖ÷ÒªÎÊÌâÊǸ÷ÖÖÎÛȾÎïÔÚĤ±íÃæµÄ³Á»ý£¬Ôì³ÉĤ±íÃæ¿×µÄ¶ÂÈû£¬ÕâÒÑÊÇÎÞ¿ÉÕùÒéµÄÊÂʵ¡£¸ß´¿ÍпºÏ½ðÂ˲ĽéÖÊÓë΢ÂË¡¢³¬ÂË¡¢·´ÉøÍ¸Ä¤¡¢Àë×Ó½»»»Ê÷Ö¬¡¢¿ÅÁ£»îÐÔÌ¿Ïà±È£¬ÔÚÌá¸ßË®´¦ÀíЧÂʺͳÖÐø±£³Ö¸ßЧ·½Ãæ¾ßÓиü¶àµÄÓÅÊÆ£¬ÏûºÄ¸üµÍ¡£
2£®1 È¥³ýÊÐÕþÒûÓÃË®ÖеÄÓàÂÈ
¸ß´¿ÍпºÏ½ðÂ˲Ŀڴ¦Àí½éÖÊÕýÈÕÒæ±»ÓÃÀ´Ìæ´ú»òÓë»îÐÔÌ¿¹ýÂËÆ÷ÁªºÏʹÓã¬È¥³ýÊÐÕþ×ÔÀ´Ë®ÖеÄÓàÂÈ(¿É¸ß´ï99£¥)£¬ÆäÖ÷ÒªÌØµãÊÇʹÓÃÊÙÃü³¤¡£²¢±£»¤»îÐÔÌ¿Â˲ãÃâÊÜϸ¾úÎÛȾ£¬Ê¹Ì¼µÄÈ¥ÎÛÄÜÁ¦ÌáÉýµ½ÔÀ´µÄ15±¶¡£²¢ÇҸߴ¿ÍпºÏ½ðÂ˲Äʹ¸üСÐ͵Ä̼¹ýÂËÆ÷µÄʹÓóÉΪ¿ÉÄÜ£¬´Ó¶ø½µµÍÁËʹÓóɱ¾¡£
2£®2 ±£»¤·´ÉøÍ¸×°ÖÃ
·´ÉøÍ¸Ä¤ºÜÈÝÒ×ÊÜÂȸ¯Ê´¡£¸ß´¿ÍпºÏ½ðÂ˲ĿڽéÖʿɴúÌæ»îÐÔÌ¿´¦ÀíÒÔ±£»¤·´ÉøÍ¸(RO)×°ÖÃÃâÊÜÂÈÆø¡¢Ï¸¾úÎÛȾ£¬ÓÐÒÖÖÆÎ¢ÉúÎï·±Ö³µÄ×÷Óá£ÃÀ¹úÏÖ´úÖÐÎ÷²¿ÃÅÕﲿʵÑéÊÒ´¦ÀíÁ¿Îª355UdµÄ·´ÉøÍ¸×°Öã¬×°Á˸ߴ¿ÍпºÏ½ðÂ˲ĹýÂ˽éÖÊÔ¤´¦ÀíÉ豸ºó£¬Ä¤µÄʹÓÃÊÙÃüÃ÷ÏÔÑÓ³¤¡£ÊµÑéÊҵIJÙ×÷¹ÜÀíÈËÔ±µÄ±¨¸æ±íÃ÷£º·´ÉøÍ¸Ä¤¹¤×÷ÁËÕûÕû°ËÄ꣬¸øÃÀ¹ú²¡ÀíѧԺÌṩÁË´óÁ¿ÊÔ¼ÁÓÃË®£¬³öˮˮÖÊÒ»Ö±±£³ÖÔÚÒ»¼¶Ë®Æ½¡£
2.3 ÒÖÖÆÀäÈ´Ë®ÖÐϸ¾ú¼°ÔåÀàµÄ·±Ö³¡¢¼õÉٽṸ
ÀäÈ´Ëþ¼°Ë®ÀäʽÈȽ»»»Æ÷ÖеÄË®³£±»¼Óβ¢ÆØÓÚ¿ÕÆøÒ»Òò¶ø³ÉΪϸ¾ú¡¢ÔåÀà·±Ö³µÄ¾øºÃδ²(ÀýÈçLegionella(¾üÍŲ¡)¿ÉµÃ×ÔÀäÈ´Ëþ)¡£´«Í³»¯Ñ§·¨Í¨¹ýͶ¼ÓÒ©¼Á¿ØÖÆÀäÈ´ËþÖÐÔåÀ༰ϸ¾úÉú³¤£¬Æä·ÑÓðº¹ó£¬ºóÐøÎÛË®´¦Àí³É±¾Ò²¸ß¡£¸ß´¿ÍпºÏ½ðÂ˲Ĵ¦Àí½éÖÊ´¦ÀíÀäÈ´Ë®³É±¾µÍ£¬¿ÉÓÐЧ¿ØÖÆÔåÀ༰ϸ¾úÉú³¤£¬²»Ê¹ÓöԻ·¾³Óк¦µÄ»¯Ñ§ÎïÖÊ¡£ÁíÍ⣬¾¸ß´¿ÍпºÏ½ðÂ˲ĽéÖÊ´¦ÀíºóµÄË®¿É¼õÉÙӲˮ¹¸µÄÉú³É¡£
2£®4 ¸ß´¿ÍпºÏ½ðÂ˲Ĵ¦Àí½éÖÊÓëÆäËü¾»Ë®ÏµÍ³
¸ß´¿ÍпºÏ½ðÂ˲ĽéÖÊ¿ÉÒÔ¿ØÖÆ¿ÅÁ£»îÐÔÌ¿²ã»ò»îÐÔÌ¿ÂËоÄÚϸ¾ú¡¢ÔåÀàµÄ·±Ö³¡£µ±»îÐÔÌ¿Óë¸ß´¿ÍпºÏ½ðÂ˲Ĵ¦Àí½éÖÊÒ»ÆðʹÓÃʱ£¬»îÐÔ̿ȥ³ýÓлúÔÓÖʼ°ÓàÂȵÄÄÜÁ¦ÔöÇ¿¡£¸ß´¿ÍпºÏ½ðÂ˲Ĵ¦Àí½éÖÊÒ²¿ÉÒÔ´úÌæÉøÒø»îÐÔÌ¿¡£´Ó¶ø½µµÍ³É±¾¡£Ò²±ÜÃâÁËÉøÒø»îÐÔÌ¿ÒøµÄ¶¾ÐÔÔì³ÉµÄDZÔÚΣÏÕ¡£
2£®5 È¥³ýÓк¦ÖؽðÊô¼°ÆäËû¿ÉÈÜÐÔÖØ½ðÊôÀë×Ó
¸ß´¿ÍпºÏ½ðÂ˲ĿڽéÖÊ£¬¿Éµ¥¶ÀÓÃÀ´´ÓË®ÖгýȥǦ¡¢¹¯¡¢ÉéµÈÓк¦ÖؽðÊôÒÔ´ïµ½Âú×ãÒûÓÃË®µÄÒªÇó¡£ÒÔ³ýÉéΪÀý£¬µ±½øË®º¬ÉéÁ¿Îª5mg£¯L£¬¿Ú¸ß´¿ÍпºÏ½ðÂ˲ĹýÂË´¦ÀíºóË®Öк¬ÉéÁ¿ÎªO-lmg£¯L£¬È¥³ýÂÊ99£®7£¥¡£ÔÚÓ¦Óøߴ¿ÍпºÏ½ðÂ˲ijýÉéʱ£¬ÎãÐèͶ¼ÓÒ©¼Á£¬ËùÐèÉ豸Ҳ½Ï¼òµ¥£¬½öÐèÅ䱸һ̨¸ß´¿ÍпºÏ½ðÂ˲ĹýÂËÆ÷£¬´¦Àí¹ý³ÌҲʮ·ÖѸËÙ£¬Æä¹ýÂËËÙ¶ÈÊÇÒ»°ã²ÉÓÃʯӢɰµÄ»úе¹ýÂËÆ÷µÄÈý±¶£¬Òò¶øÉ豸ռµØÃæ»ýÒ²½ÏС¡£
3 ¸ß´¿ÍпºÏ½ðÂË²ÄµÄÆäËûÓŵã
¸ß´¿ÍпºÏ½ðÂ˲Ĵ¦Àí½éÖʵĸßÊÙÃü£¬±£ÊصĹÀ¼Æ¸ß´¿ÍпºÏ½ðÂ˲Ĵ¦Àí½éÖʵÄʹÓÃÊÙÃüÒ²ÔÚl0ÄêÒÔÉÏ¡£Ìṩ¸ßÖÊÁ¿µÄ¼ÒÍ¥ÓÃË®¿Ú¸Ð¸üºÃ£¬ÔÓζ¸üÉÙµÄË®ÖÊ¡£
4 ½áÂÛ
¸ß´¿ÍпºÏ½ðÂ˲ÄÒѾÔÚ¹úÍâË®´¦ÀíÐÐÒµÖеõ½ÆÕ±éʹÓ㬵«¹úÄÚÆóÒµÓ¦ÓýÏÉÙ¡£Ä¿Ç°¹úÄÚÒÑÓÐһЩ¹«Ë¾È磺±±¾©Ê¢·å·ÉÁú»·±£¿Æ¼¼ÓÐÏÞ¹«Ë¾µÈͨ¹ý²»¶ÏµÄ³¢ÊÔ£¬Ê¹Æä³É¹¦µÄÔËÓõ½¾»Ë®¡¢ÖÐË®¡¢ÎÛË®µÈË®´¦ÀíÐÐÒµÖУ¬ÇÒÒÑÅúÁ¿³ö¿Ú¡£¿ÉÒÔÔ¤¼û£¬Ëæ×ŹúÄÚÆóÒµ¶Ô¸ß´¿ÍпºÏ½ðÂ˲ĵÄÖð²½ÈÏÖª£¬¸ß´¿ÍпºÏ½ðÂ˲ÄÔÚ¹úÄÚË®´¦ÀíÐÐÒµÖбؽ«µÃµ½¸ü¼Ó¹ã·ºµÄÓ¦Óá£
²Î¿¼ÎÄÏ×
1 ÕÅÊÙâý£®Ñõ»¯»¹ÔÂËÁÏнøÕ¹£®¸øË®ÅÅË®£¬2000 NO£®10£®
2 ½ª°²çô£®»·¾³¹¤³Ìѧ£®ºÚÁú½¿ÆÑ§¼¼Êõ³ö°æÉ磮
3 ÁõÓñ¶ÛÑõ»¯»¹ÔË®´¦Àí¼¼ÊõÖйú¸øË®ÅÅË®°Ó£¬1997£®N03£® ×÷Õß: Âí ¾§














