¡¡¡¡1 ÒýÑÔ
¡¡¡¡·ÏË®´¦ÀíµÄ»îÐÔÎÛÄàÖеÄÔÉú¶¯ÎïºÍ΢ÐͺóÉú¶¯ÎïµÈ΢ÐͶ¯Îï¾ßÓв¶Ê³Ï¸¾ú£¬Ìá¸ßϸ¾úȺÂä»îÁ¦£¬½µµÍÐü¸¡¹ÌÌåŨ¶ÈºÍ³öË®×Ƕȣ¬¸ÄÉÆ³öˮˮÖʵÈÖØÒª×÷ÓÃ.Ñо¿Î¢ÐͶ¯ÎïȺÂäÌØÕ÷£¬·ÖÎö΢ÐͶ¯ÎïȺÂäÓë·ÏË®´¦Àí¾»»¯Ð§ÄܼäµÄ¹ØÏµ£¬¿ÉÒÔÈ·¶¨ÎÛË®´¦ÀíÔËÐÐ״̬ͻ·¢ÐԸıäµÄÔÒò£¬ÒÔ¼°ÆÀ¹ÀÎÛË®´¦ÀíϵͳµÄÔËÐÐ×´¿ö.ÎÛÄàÉú»¯Ö¸Êý(SBI)¾ÍÊÇ»ùÓÚ¡°Î¢ÐͶ¯ÎïÓÅÊÆÈºÂäµÄ¸Ä±äÓë´¦Àí³§µÄ»·¾³ºÍÔËÐÐ×´¿öÓйØÁªÐÔ£¬Ëæ×ÅË®³§ÔËÐÐ×´¿ö¶ñ»¯Î¢ÐͶ¯ÎïÊýÁ¿ÏàÓ¦¼õÉÙ¡±µÄÔÔòÌá³öµÄÎÛÄàÌØÐÔÆÀ¼Û·½·¨£¬²ÉÓÃ΢ÐͶ¯ÎïȺÂäÌØÕ÷Á¿»¯ÆÀ¼ÛÎÛË®´¦Àí³§ÔËÐÐ×´¿ö.
¡¡¡¡Î¢ÐͶ¯Îï¶Ô´¦Àíϵͳ»·¾³×´¿öµÄ¸Ä±ä·Ç³£Ãô¸Ð£¬ÈçϵͳÖдæÔÚµÄÓж¾Óк¦ÎïÖʶÔ΢ÐͶ¯ÎïȺÂäÓÐÏÔÖøµÄÓ°Ïì.½¹»¯·ÏË®Êǹ«ÈϵÄÄÑ´¦Àí¹¤Òµ·ÏË®£¬·ÏË®Öк¬ÓдóÁ¿µÄ·ÓÀà¡¢ÓлúëæÀà¡¢PAHs¡¢º¬µªÔÓ»·¡¢º¬ÑõÔÓ»·µÈÄѽµ½âÎÛȾÎÆäÖУ¬·Ó¡¢Ç軯ÎïµÈÓж¾Óк¦ÎïÖʻήµÍϸ¾ú½µ½âЧÂÊ£¬¶Ô΢ÐͶ¯ÎïÒ²ÓÐDZÔڵ;º¦×÷ÓÃ.µ«Ä¿Ç°¹ØÓÚ½¹»¯·ÏË®»îÐÔÎÛÄà·¨´¦ÀíÖеÄ΢ÐͶ¯ÎïȺÂäÌØÕ÷Éв»Ã÷È·£¬Î¢ÐͶ¯ÎïȺÂäÌØÕ÷Ó빤ÒÕÔËÐÐÖ®¼äµÄ¹ØÏµÑо¿Ò²ÏÊÓб¨µÀ.
¡¡¡¡Òò´Ë£¬±¾Ñо¿Í¨¹ý½¹»¯·ÏË®»îÐÔÎÛÄ෨ʵ¼Ê¹¤³Ì´¦ÀíÖÐ΢ÐͶ¯ÎïȺÂäµÄµ÷²é£¬Ì½¾¿½¹»¯·ÏË®Éú»¯´¦ÀíÖеÄ΢ÐͶ¯ÎïȺÂäÌØÕ÷£¬·ÖÎö΢ÐͶ¯ÎïȺÂäÓë³öˮˮÖʺÍÔËÐвÎÊý¼äµÄ¹ØÏµ£¬ÒÔÆÚΪ½¹»¯·ÏË®´¦Àí³§Ìá¸ß´¦ÀíЧ¹ûµÄÔËÐпØÖÆÌṩÉúÎïѧÀíÂÛÒÀ¾Ý.
¡¡¡¡2 ²ÄÁÏÓë·½·¨
¡¡¡¡2.1 ÑùÆ·²É¼¯
¡¡¡¡Ë®Ñù²É×Ô°²»ÕÊ¡Âí°°É½ÊÐij¸ÖÌúÆóÒµ½¹»¯·ÏË®´¦Àí³§.¸Ã³§²ÉÓÃA2/O2(ÑáÑõ/ȱÑõ/Ò»¶ÎºÃÑõ/¶þ¶ÎºÃÑõ)ΪÖ÷ÌåµÄ×éºÏʽ»îÐÔÎÛÄà·¨´¦Àí¹¤ÒÕ£¬Éè¼ÆÁ÷Á¿Îª120 m3 ¡¤ h-1£¬ÆäÖУ¬Õô°±·ÏË®Á¿Îª112 m3 ¡¤ h-1£¬ÆØÆø³ØÊµ¼ÊË®Á¦Í£Áôʱ¼äΪ7¡«8 h.
¡¡¡¡µ÷ÑÐÒÔÒ»¶ÎºÃÑõ³ØÎª¶ÔÏ󣬽øË®Ë®Ñù²É¼¯ÓÚ½øÈëÒ»¶ÎºÃÑõ³ØÇ°µÄȱÑõ³Ø³öË®£¬³öˮˮÑùºÍÄàË®»ìºÏÒº¾ù²É¼¯ÓÚÒ»¶ÎºÃÑõ³Ø(6¸öƽÐгØ)ÖеÄ1#³ØÄ©¶ËÁ÷Ïò³Áµí³ØµÄÒçÁ÷¿Ú¸½½ü.ÆäÖУ¬Ò»¶ÎºÃÑõ³Ø½øË®CODCrΪ(712.10¡À187.47)mg ¡¤ L-1£¬NH4+-NΪ(47.96¡À15.75)mg ¡¤ L-1£¬»Ó·¢·ÓΪ(370.60¡À78.82)mg ¡¤ L-1£¬Ç軯ÎïΪ(15.23¡À9.74)mg ¡¤ L-1.ÎÛÄà»ìºÏҺˮÑùʹÓÃ100 mLËÜÁÏÆ¿²É¼¯Ô¼50 mL£¬¿Õ³ö²¿·ÖÒÔ±ÜÃâȱÑõ¶ÔÑùÆ·ÖÐ΢ÐͶ¯ÎïµÄÓ°Ïì.²ÉÑùʱ¼äΪ2014Äê4¡ª6Ô£¬Ã¿¸ô4¡«6 d²É¼¯1´Î£¬²É¼¯16´Î£¬Ã¿´ÎÍ¬Ê±Ëæ»ú²É¼¯4¸öƽÐÐÎÛÄà»ìºÏҺˮÑù£¬¹²²É¼¯64¸öÑùÆ·.ÿ´Î·Ö±ð¶Ô4¸öƽÐÐÑùÆ·½øÐÐ΢ÐͶ¯Îï¼ø¶¨·ÖÎö£¬È»ºóÈ¡Æä¾ùÖµ½øÐÐͳ¼Æ·ÖÎö.
¡¡¡¡2.2 ΢ÐͶ¯ÎïµÄ¼ø±ðÓë·ÖÀà¼ÆÊý
¡¡¡¡Ê¹ÓÃ΢Á¿ÒÆÒºÆ÷(DRAGON´óÁú)ÒÆÈ¡25 ¦ÌLÒ¡ÔȺóµÄÎÛÄà»ìºÏÒº£¬²¢ÖÃÓÚ¹âѧÏÔ΢¾µ(PH50ϵÁÐ)(¡Á100»ò¡Á400)϶Ô΢ÐͶ¯Îï½øÐмø±ð²¢¼ÆÊý(Ö»¶Ô»îÌ弯Êý).¸ù¾ÝÐÎ̬ѧºÍÐÐÎªÑ§ÌØÕ÷²¢ÒÀÕÕͼÆ×¡¢ÎÄÏ×½«Î¢ÐͶ¯Îï°´ÐèÒª¼ø¶¨µ½ÖÖ»òÀàȺ.ÆäÖУ¬ÔÉú¶¯Îï¾ù¼ø¶¨µ½ÖÖ£¬ÂÖ³æ(rotifers)¡¢Ïß³æ(nematodas)µÈ΢ÐͺóÉú¶¯Îï¼ø¶¨µ½ÀàȺ(Madoni£¬1994).¼ø¶¨¹¤×÷ÔÚ5 h(×²»³¬¹ý8 h)ÄÚÍê³É£¬ÒÔ±ÜÃâ΢ÐͶ¯Îï¶à¶ÈºÍ·á¸»¶ÈÔÚ¼ø±ð¹ý³ÌÖиıä.½«»îÐÔÎÛÄàÖÐ΢ÐͶ¯ÎïȺÂäÖг£¼ûµÄÏËë³æÀàÔÉú¶¯Îï·ÖΪʳ¾úÐÍÏËë³æ(Bacterivorous ciliates)ºÍÈâʳÐÍÏËë³æ(Carnivorous ciliates)£¬ÆäÖУ¬Ê³¾úÐÍÏËë³æÓÖ·ÖΪÙéÙëÐÍÏËë³æ(Crawling ciliates)¡¢¹Ì×ÅÐÍÏËë³æ(Sessile ciliates)ºÍÓÎÓ¾ÐÍÏËë³æ(Swimming ciliates)µÈÈý´óÀàȺ£¬µ«µ±¹Ì×ÅÐÍС¿ÚÖÓ³æ(Vorticella microstoma)ºÍ¸ÇÏ˳æÊô(Opercularia spp.)´óÁ¿´æÔÚʱ£¬±ØÐë×÷Ϊ¶ÀÁ¢µÄ¹Ø¼üÀàȺµ¥¶ÀÁгö£¬²»°üº¬ÔÚ¹Ì×ÅÐÍÏËë³æÄÚ(Madoni£¬1994).±¾Ñо¿ÖÐÒòС¿ÚÖÓ³æ(V. microstoma)´óÁ¿³öÏÖ£¬¹Ê½«Æäµ¥¶ÀÁгö.½«ËùµÃÊý¾Ý°´ÐèÒªÕÛËã³É¸ö¡¤ mL-1.
¡¡¡¡2.3 Àí»¯ºÍÔËÐвÎÊýµÄ²â¶¨
¡¡¡¡½ø³öË®Éú»¯ÐèÑõÁ¿(CODCr)¡¢°±µª(NH4+-N)¡¢·Ó(Phenols)ºÍÇ軯Îï(CN-)°´ÕÕ¡¶Ë®ºÍ·ÏË®¼à²â·ÖÎö·½·¨(µÚ4°æ)¡··½·¨²â¶¨;ÎÛÄà³Á½µ±È(SV)²ÉÓÃ30 min³Á½µÖ±½Ó¶ÁÊý·½·¨²â¶¨;»ìºÏÒºÐü¸¡¹ÌÌåŨ¶È(MLSS)²ÉÓóÆÖØ·¨²â¶¨;Ë®ÖÐÈܽâÑõ(DO)¡¢Ë®ÎÂ(T)ºÍË®µÄËá¼î¶È(pH)¾ùÔÚÏß¶ÁÈ¡.
¡¡¡¡2.4 Êý¾Ý·ÖÎö
¡¡¡¡ÈºÂäÖÐÖ÷ÒªÖÖ»òÀàȺµÄƵ¶È=ijÎïÖÖ»òÀàȺ³öÏÖµÄÑù·½Êý/µ÷²éÑùµØÄÚ×ÜÑù·½Êý;¶à¶ÈÊÇÖ¸Ò»¸öÊýÁ¿ÉϵıÈÂÊ£¬±¾ÎÄÖÐÖ¸µ¥Î»Ìå»ý(mL)ÄÚËù°üº¬Î¢ÐͶ¯ÎïµÄ¸öÊý.²ÉÓÃSPSS 19.0ͳ¼Æ·ÖÎöÈí¼þ¶ÔÊý¾Ý½øÐÐPearsonÏà¹ØÐÔ·ÖÎöºÍÒò×Ó·ÖÎö(Òò×ÓÌáÈ¡·½·¨²ÉÓÃÖ÷³É·Ö·ÖÎö·¨£¬Òò×ÓÐýת·½·¨²ÉÓÃ×î´ó·½²î·¨)£¬ÒÔ·ÖÎöÉúÎïѧ²ÎÊý¡¢´¦ÀíЧ¹û¼°ÔËÐвÎÊýÖ®¼äµÄ¹ØÏµ.ΪÁËÂú×ãͳ¼Æ·ÖÎöµÄÐèÒª£¬È¡4¸öƽÐÐÑùµÄƽ¾ùÖµ£¬²¢ÔÚ·ÖÎöǰ½«³ýpHÒÔÍâµÄËùÓÐÔʼÊý¾Ý°´¶ÔÊý¹«Ê½x=ln(x+1)½øÐÐת»».
¡¡¡¡3 ½á¹û
¡¡¡¡3.1 ΢ÐͶ¯ÎïȺÂä½á¹¹ÌØÕ÷
¡¡¡¡64¸öË®ÑùÖй²¼ø±ð³ö28ÖÖÔÉú¶¯ÎïºÍ΢ÐͺóÉú¶¯Îï.ÆäÖУ¬¹Ì×ÅÐÍÏËë³æ¹²ÓÐ14ÖÖ£¬¼´¹µÖÓ³æ(Vorticella convallaria)¡¢´ºÖÓ³æ(Vorticella vernalis)¡¢ÖÓÐÎÖÓ³æ(Vorticella campanula)¡¢ÎÛÖÓ³æ(Vorticella putrina)¡¢°ËÖÓ³æ(Vorticella octava)¡¢±ÖÓ³æ(Vorticella cupifera)¡¢Ð¡¿ÚÖÓ³æ(Vorticella microstoma)¡¢ÌõÎÆÖÓ³æ(Vorticella striata)¡¢À©ÕÅÖÓ³æ(Vorticella extensa)¡¢ÍäÖÓ³æ(Vorticella hamata)¡¢ºþÀÛÖ¦³æ(Epistylis lacustris)¡¢Æ¿ÀÛÖ¦³æ(Epistylis urceolata)¡¢²Ê¸Ç³æ(Opercularia phryganeae)ºÍ¼¯¸Ç³æ(Opercularia coarctata);ÙéÙëÐÍÏËë³æ¹²ÓÐ4ÖÖ£¬¼´ÈñÀû˜JÏ˳æ(Aspidisca lynceus)¡¢ÓÐÀߘJÏ˳æ(Aspidisca costata)¡¢ÅÌ×´ÓÎÆÍ³æ(Euplotes patella)ºÍÕ³ÓÎÆÍ³æ(Euplotes muscicola);ÈâʳÐÍÏËë³æ¹²4ÖÖ£¬¼´¶ÛÂþÓγæ(Litonotus obtusus)¡¢¹Ì×ÅÎü¹Ü³æ(Podophrya fixa)¡¢½þ×Õ´¸Îü¹Ü³æ(Tokophrya infusionum)ºÍШÐÎ˫Ĥ³æ(Dichilum cuneiforme);ÓпDZäÐγæÖ»ÓÐÓм¬Áۿdzæ(Euglypha acanthophora)1ÖÖ;±Þë³æÓÐòÒòõ±Þ±äÐγæ(Mastigamoeba limax)¡¢Î²²¨¶¹³æ(Bodo caudatus)¡¢Çò²¨¶¹³æ(Bodo globosus)ºÍС²¨¶¹³æ(Bodo minimus)µÈ4ÖÖ;΢ÐͺóÉú¶¯ÎïÖ»ÓÐÂÖ³æ(rotifers)1ÖÖ£¬ÓÎÓ¾ÐÍÏËë³æÎ´¹Û²ìµ½.²»Í¬Î¢ÐͶ¯Îï³öÏֵįµÂÊÓëÊýÁ¿²»Í¬£¬Î¢ÐͶ¯ÎïȺÂäÖÐÖ÷ÒªÖÖ»òÀàȺµÄƵ¶ÈºÍ¶à¶ÈÈç±í 1Ëùʾ.²¿·Ö³£¼û΢ÐͶ¯ÎïÏÔ΢ͼƬ¼ûͼ 1.


±í 1 ΢ÐͶ¯ÎïȺÂäÖÐÖ÷ÒªÖÖ»òÀàȺµÄƵ¶ÈÓë¶à¶È(n=64)
ͼ 1 ½¹»¯·ÏË®»îÐÔÎÛÄàÖг£¼ûµÄ΢ÐͶ¯Îï(a.С¿ÚÖӳ棬100±¶£»b.¹µÖӳ棬100±¶£»c.ÓÐÀߘJÏ˳棬400±¶£»d.Âֳ棬100±¶)
¡¡¡¡Óɱí 1¿ÉÖª£¬³öÏÖÆµÂʽϸß(>50%)µÄÖÖÀàÓйµÖÓ³æ(V. convallaria)¡¢Ð¡¿ÚÖÓ³æ(V. microstoma)ºÍÂÖ³æ(rotifers).¶à¶È½Ï´óµÄÖÖÀàÓÐÈñÀû˜JÏ˳æ(A. lynceus)¡¢ÓÐÀߘJÏ˳æ(A. costata)¡¢¹µÖÓ³æ(V. convallaria)¡¢Ð¡¿ÚÖÓ³æ(V. microstoma)¡¢òÒòõ±Þ±äÐγæ(M. limax)ºÍÂÖ³æ(rotifers).
¡¡¡¡Î¢ÐͶ¯Îï×ܶà¶È×î´óΪ6.5¡Á103¸ö¡¤ mL-1£¬×îСΪ0.8¡Á103¸ö¡¤ mL-1.ÆäÖУ¬¹Ì×ÅÐÍÏËë³æºÍÙéÙëÐÍÏËë³æÎª¹²ÓÅÊÆÈº£¬¶à¶È×î´ó((940¡À866)¸ö¡¤ mL-1)£¬ËüÃÇµÄÆ½¾ùÏà¶Ô¶à¶È·Ö±ðΪ16.67%¡¢17.04%.¹Ì×ÅÐÍÏËë³æµÄÖÖÀà½Ï¶à£¬·Ö²¼ÓÚ3¸öÊô(ÖÓ³æÊô(Vorticella spp.)¡¢ÀÛÖ¦³æÊô(Epistylis spp.)ºÍ¸Ç³æÊô(Opercularia spp.))£¬º¬14¸öÖÖ£¬ÆäÖУ¬ÖÓ³æÊô(Vorticella spp.)ÖÖÀà×î¶à(10¸öÖÖ)£¬ÕâÓë¹úÄÚ¶àÊýÕý³£ÔËÐеĻîÐÔÎÛÄàÎÛË®´¦Àí³§ÖÐ(Chen et al., 2004;Zhou et al., 2006;2008)΢ÐͶ¯ÎïÓÅÊÆÈºÊÇÏàÒ»Öµģ¬ÕâÊÇÒòΪ¹Ì×ÅÐͺÍÙéÙëÐÍÏËë³æ¾ùÓë»îÐÔÎÛÄàÐõÌåÖ±½Ó½Ó´¥(ǰÕßͨ¹ý±úÓëÐõÌåÏàÁ¬£¬ºóÕßÅÀÐÐÓÚÐõÌå±íÃæ)(Zhou et al., 2008).¹Ì×ÅÐÍÏËë³æºÍÙéÙëÐÍÏËë³æÎªÓÅÊÆÈºÍ¨³£Ô¤Ê¾×Å»îÐÔÎÛÄàϵͳµÄ¸ßЧÔËÐÐ(Madoni£¬1994)£¬Òò´Ë£¬´Ó΢ÐͶ¯ÎïȺÂä×é³ÉÓÅÊÆÈºÀ´¿´£¬¸Ã½¹»¯·ÏË®»îÐÔÎÛÄà·¨´¦Àí³§ÔËÐÐÁ¼ºÃ.С¿ÚÖÓ³æ(V. microstoma)¡¢¹µÖÓ³æ(V.convallaria)¡¢ÈñÀû˜JÏ˳æ(A.lynceus)¡¢ÓÐÀߘJÏ˳æ(A.costata)ºÍÂÖ³æ(rotifers)ΪÓÅÊÆÖÖÊô(ͼ 1)£¬ÆäÖУ¬Ð¡¿ÚÖÓ³æ(V. microstoma)Ϊ¾ø¶ÔÓÅÊÆÖÖ.
¡¡¡¡ÕûÌåÉÏ¿´£¬Æµ¶ÈÔ½´ó¶ÔӦ΢ÐͶ¯ÎïÖÖ»òÀàȺµÄ¶à¶ÈÒ²Ô½´ó£¬µ«Ò²ÓÐÀýÍ⣬Èç¹µÖÓ³æ(V. convallaria)µÄƵ¶È(69%)´óÓÚÈñÀû˜JÏ˳æ(A. lynceus)(41%)ºÍÓÐÀߘJÏ˳æ(A. costata)(38%)£¬¶øºóÁ½Õߵį½¾ù¶à¶ÈÈ´¾ù´óÓÚ¹µÖÓ³æ(V. convallaria)£¬Õâ˵Ã÷ijЩÖÖÊôÔÚϵͳÖо¡¹ÜÊýÁ¿½ÏÉÙ£¬µ«¿ÉƵ·±³öÏÖ.
¡¡¡¡3.2 ΢ÐͶ¯ÎïȺÂ䶯̬±ä»¯
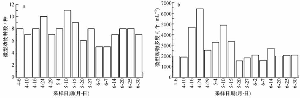
¡¡¡¡Î¢ÐͶ¯ÎïÖÖÊýËæÊ±¼äµÄ±ä»¯¶ø²¨¶¯£¬×î´óÖµ³öÏÖÔÚ5ÔÂÉÏÖÐÑ®£¬ÎïÖÖÊý´ï11ÖÖ£¬Ö÷ÒªÓÉÖÓ³æÊô(Vorticella spp.)¹¹³É.ÎïÖÖÊý×îÉÙ³öÏÖÔÚ6ÔÂÉÏÑ®£¬Ö»ÓÐ5ÖÖ£¬ÊÇ×î¶àʱµÄ45.45%(ͼ 2a).΢ÐͶ¯Îï¶à¶ÈÒ²³Ê¶à·åÐͱ䶯£¬×îÃ÷ÏԵĸ߷å³öÏÖÔÚ4ÔÂÏÂÑ®£¬´ï6.4¡Á103 ¸ö¡¤ mL-1;×îС³öÏÖÔÚ5ÔÂÖÐÏÂÑ®£¬Îª1.5¡Á103 ¸ö¡¤ mL-1(ͼ 2b)£¬Ö»ÓÐ×î´óÖµµÄ23.44%.
ͼ 2 ΢ÐͶ¯ÎïÎïÖÖÊý(a)ºÍ¶à¶È(b)µÄÈձ仯(Êý¾ÝΪƽÐÐÑùƽ¾ùÖµ)
¡¡¡¡²»Í¬ÀàȺ΢ÐͶ¯ÎïµÄ±ä»¯¹æÂɲ»Í¬£¬Ö÷ÒªÀàȺÏà¶Ô¶à¶ÈËæÊ±¼äµÄ±ä»¯Èçͼ 3Ëùʾ.Æä±ä»¯Ö÷ÒªÓÐÒÔϼ¸ÖÖÀàÐÍ£º¢Ù¡°Ç°µÍºó¸ß¡±ÐÍ£¬Ö÷ҪΪ¹Ì×ÅÐÍÏËë³æ£¬4Ô·ݹÌ×ÅÐÍÏËë³æËùÕ¼±ÈÖØÏà±È½ÏС£¬ËæºóÖð½¥Ôö´ó£¬µ½6ÔÂÉÏÖÐÑ®³ÊÏÖÁ½¸ö¸ß·å·Ö±ð´ïµ½87.1%¡¢85.0%£¬Ö®ºó³ÊϽµÇ÷ÊÆ;΢ÐͺóÉú¶¯Îï4ÔÂ·ÝÆ½¾ùÏà¶Ô¶à¶È²¨¶¯½Ï´ó£¬5Ô³õÖ±µ½6ÔÂÖÐÏÂÑ®²¨¶¯²»´ó£¬6ÔÂÏÂÑ®³ÊÃ÷ÏÔÉÏÉýÇ÷ÊÆ;¢Ú¡°Ç°¸ßºóµÍ¡±ÐÍ£¬ÙéÙëÐÍÏËë³æ4Ô·ݺÍ5Ô·ÝËùÕ¼±ÈÀý´óÌåÏà½ü£¬µ½6Ô·ÝÙéÙëÐÍÏËë³æÃ÷ÏÔ¼õС£¬ÒÔÖºóÆÚ¼¸ºõÏûʧ;ÆäËûÀàÐ͵Ä΢ÐͶ¯Îï(°üÀ¨±Þë³æ¡¢ÓпDZäÐγæµÈ)Ò²ÓÐÀàËÆµÄ¹æÂÉ;¢Û¡°Æ½ÎÈÐÍ¡±£¬ÈâʳÐÍÏËë³æÔÚÕû¸öÑо¿ÆÚ¼äÄÚÆ½¾ùÏà¶Ô¶à¶È±ä»¯²»´ó£¬ÇÒ´¦ÓڽϵÍˮƽ£¬Æ½¾ùÏà¶Ô¶à¶ÈΪ4.41%.
ͼ 3 ΢ÐͶ¯ÎïȺÂäÏà¶Ô¶à¶È±ä»¯(Êý¾ÝΪƽÐÐÑùƽ¾ùÖµ)
¡¡¡¡½áºÏͼ 2ºÍͼ 3¿ÉÖª£¬Î¢ÐͶ¯ÎïȺÂäÔÚÎïÖÖÖÖÊý¡¢¶à¶ÈºÍȺÂä½á¹¹ÉÏËæÊ±¼ä³Ê¶¯Ì¬±ä»¯.ÔÚÕû¸öµ÷ÑÐÆÚ¼ä£¬¶à¶ÈËæÊ±¼ä²¨¶¯½Ï´óµÄÖÖÀàÓÐÈñÀû˜JÏ˳æ(A. lynceus)(·½²îΪ2.40¡Á105)¡¢ÓÐÀߘJÏ˳æ(A. costata)(·½²îΪ2.44¡Á105)¡¢Ð¡¿ÚÖÓ³æ(V. microstoma)(·½²îΪ3.16¡Á105)¡¢Ð¨ÐÎ˫Ĥ³æ(D. cuneiforme)(·½²îΪ1.15¡Á105)¡¢òÒòõ±Þ±äÐγæ(M. limax)(·½²îΪ5.99¡Á105)ºÍÂÖ³æ(rotifers)(·½²îΪ1.42¡Á105);²¨¶¯±ä»¯½ÏСµÄÓÐÅÌ×´ÓÎÆÍ³æ(E. patella)(·½²îΪ6.88¡Á103)¡¢±ÖÓ³æ(V. cupifera)(·½²îΪ1.50¡Á103)¡¢ºþÀÛÖ¦³æ(E. lacustris)(·½²îΪ4.87¡Á103)¡¢¹Ì×ÅÎü¹Ü³æ(P. fixa)(·½²îΪ1.32¡Á103)ºÍÓм¬Áۿdzæ(E. acanthophora)(·½²îΪ0.14¡Á103)µÈ.
¡¡¡¡ÓÉÓÚ½¹»¯·ÏË®Öк¬ÓдóÁ¿·Ó¡¢Çè¡¢ÁòÇ軯ÎïµÈ¶àÖÖÓж¾Óк¦ÎïÖÊ(ÈÎÔ´µÈ£¬2007;Parimal et al., 2014)£¬²¢ÇÒŨ¶È±ä»¯´ó£¬Èç4Ô·ÝÒ»¶ÎºÃÑõ³ØÖлӷ¢·ÓŨ¶È±ä»¯´ó(·½²îΪ18.63)£¬6Ô·ݻӷ¢·ÓŨ¶ÈÏà¶ÔÎȶ¨(·½²îΪ0.19)£¬ÕâÑù¿ÉÄܶÔϸ¾úºÍ΢ÐͶ¯ÎïµÄ»îÁ¦¾ùÓÐÒÖÖÆ×÷Óã¬Ê¹µÃ»îÐÔÎÛÄàÖÐ΢ÐͶ¯Îï×é³É½á¹¹(ͼ 3)ËæÊ±¿Õ±ä¶¯±È½Ï´ó£¬ÈºÂä½á¹¹²»Îȶ¨£¬ÈçÓÅÊÆÈº¹Ì×ÅÐÍÏËë³æ(°üÀ¨Ð¡¿ÚÖÓ³æ(V. microstoma))4Ô¡¢6ÔÂµÄÆ½¾ùÏà¶Ô¶à¶È·Ö±ðΪ33.93%¡¢64.88%£¬6ÔÂµÄÆ½¾ùÏà¶Ô¶à¶È±È4Ô¸߳ö30.95%.
¡¡¡¡3.3 ΢ÐͶ¯ÎïȺÂäÓë´¦ÀíÐÔÄÜÖ®¼äµÄ¹ØÏµ
¡¡¡¡ÎªÁË̽¾¿Î¢ÐͶ¯ÎïÓë´¦ÀíÐÔÄÜÖ®¼äµÄ¹ØÏµ£¬Ñ¡È¡ÁË΢ÐͶ¯ÎïÆµ¶È¡¢¶à¶È½Ï´óµÄ5¸ö΢ÐͶ¯ÎïÀàȺ£¬ÆäÖаüº¬7¸öÖÖÊôµÄ΢ÐͶ¯Îï.´ËÍ⣬»¹Ñ¡ÓÃ΢ÐͶ¯Îï×ܵĶà¶È¡¢ÎïÖÖÖÖÊý¡¢SBIÖµµÈÖ¸±ê£¬·ÖÎöËüÃÇÓë½¹»¯·Ïˮһ¶ÎºÃÑõ´¦Àí³öˮˮÖʲÎÊý¡¢ÔËÐвÎÊý¼äµÄÏà¹ØÐÔ£¬½á¹ûÈç±í 2Ëùʾ.
±í 2 ΢ÐͶ¯ÎïÉúÎïѧ²ÎÊýÓë³öˮˮÖʼ°ÔËÐвÎÊý¼äµÄÏà¹ØÐÔ·ÖÎö
¡¡¡¡´Ó±í 2¿É¼û£¬ÓÐ6¸öÉúÎïѧ²ÎÊýÓë³öˮˮÖÊ»òÔËÐвÎÊý´æÔÚ×ÅÏÔÖøµÄÏà¹ØÐÔ(p<0.05).ÆäÖУ¬ÉúÎïѧ²ÎÊýÓë³öˮˮÖÊÖ®¼ä£¬ÀÛÖ¦³æÊô(Epistylis spp.)Óë³öË®°±µª(r=-0.740£¬p<0.01)¡¢Ç軯Îï(r=0.509£¬p<0.05)£¬Îü¹Ü³æÊô(Podophrya spp.)Óë³öË®°±µª(r=-0.593£¬p<0.05)£¬Î¢ÐͶ¯Îï¶à¶ÈÓë³öË®°±µª(r=-0.539£¬p<0.05)£¬Î¢ÐͶ¯ÎïÖÖÊýÓë³öË®Ç軯Îï(r=0.619£¬p<0.05)£¬ÒÔ¼°SBIÖµÓë³öË®°±µª(r=-0.566£¬p<0.05)¡¢Ç軯Îï(r=0.606£¬p<0.05)Ïà¹ØÐÔÏÔÖø£¬¿É¼ûÀÛÖ¦³æÊô(Epistylis spp.)µÄ´óÁ¿³öÏÖԤʾ׎ϵ͵ijöË®°±µªÅ¨¶ÈºÍ½Ï¸ßµÄ³öË®·Ó¡¢ÇèŨ¶È;Îü¹Ü³æÊô(Podophrya spp.)µÄ´óÁ¿³öÏÖԤʾ׎ϺõÄÏõ»¯Ð§¹û£¬¶øÆäËûÉúÎïѧ²ÎÊýÓë³öˮˮÖʵÄÏà¹ØÐÔ²»ÏÔÖø(p>0.05).
¡¡¡¡ÉúÎïѧ²ÎÊýºÍÔËÐвÎÊýÖ®¼ä£¬¹Ì×ÅÐÍÏËë³æÓëDO(r=0.594£¬p<0.05)¡¢ÎÛÄàÈÝ»ýÖ¸ÊýSVI(r=-0.570£¬p<0.05)£¬ÀÛÖ¦³æÊô(Epistylis spp.)ÓëDO(r=0.514£¬p<0.05)£¬SBIÖµÓëDO(r=0.533£¬p<0.05)Ö®¼ä´æÔÚÏÔÖøÏà¹ØÐÔ.ÎÛÄà³Á½µÖ¸ÊýSVIÓë¶à¸öÉúÎïѧ²ÎÊýµÄÏà¹ØÏµÊýΪ¸º(r<0).¿É¼û¹Ì×ÅÐÍÏËë³æÊýÁ¿´óԤʾ×ÅË®ÖÐÈܽâÑõ½Ï¸ß£¬ÎÛÄà³Á½µÐÔºÃ;ÀÛÖ¦³æÊô(Epistylis spp.)µÄ´óÁ¿³öÏÖͬÑùԤʾ׎ϸߵÄÈܽâÑõ.
¡¡¡¡SBIÖµÓë³öË®°±µªÅ¨¶ÈÏÔÖø¸ºÏà¹Ø(p<0.05)£¬ËµÃ÷΢ÐͶ¯ÎïȺÂä½á¹¹µÄºÏÀíÐÔÖ±½Ó¹ØÏµµ½ÏµÍ³µÄÏõ»¯Ð§¹û.SBIÖµ¶øÓë³öË®·Ó(p=0.124)¡¢Çè(p<0.05)µÈ·Ç³£¹æÎÛȾÎï³öˮŨ¶ÈµÄÏà¹ØÐÔϵÊýΪÕý(r>0)£¬ÓëÔ¤ÆÚ½á¹ûÏà·´£¬ÕâÒ»µãÓëǰÈ˵ÄÑо¿½áÂÛÏàÒ»ÖÂ.
¡¡¡¡ÎªÁ˸üºÃµØÀíÇå²¢Àí½â²ÎÊý(±äÁ¿)ÔÚϵͳÖеÄ×÷Óü°²ÎÊýÓë²ÎÊýÖ®¼äµÄÏ໥¹ØÏµ£¬¶ÔÉÏÊöÉúÎïѧ²ÎÊý(ָ΢ÐͶ¯Îï¹Ø¼üÖÖÊô)¼°ÐÔÄܲÎÊý½øÐÐÁËÒò×Ó·ÖÎö.¸ù¾ÝÒò×ÓËùÄܽâÊÍ×ÜÐÅÏ¢Á¿µÄ³Ì¶È(ÒªÇóÔÚ85%ÒÔÉÏ)ѡȡÁË7¸öÒò×Ó£¬ËüÃǸÅÀ¨ÁËÔʼ±äÁ¿Ëù°üº¬ÐÅÏ¢Á¿µÄ86.0%£¬·ÖÎö½á¹ûÈç±í 3Ëùʾ.


±í 3 ΢ÐͶ¯Îï¹Ø¼üÖÖÊôÓëϵͳÐÔÄܲÎÊýÒò×Ó·ÖÎö
¡¡¡¡±í 3ÏÔʾÁË΢ÐͶ¯Îï¹Ø¼üÖÖÀàÓë»îÐÔÎÛÄàϵͳ²ÎÊý(±äÁ¿)Ö®¼äµÄ¹ØÏµ£¬±äÁ¿ÓëÒò×Ó¼äµÄ½ôÃ̶ܳÈÈ¡¾öÓÚÐýתºó¸ººÉϵÊýµÄ¾ø¶ÔÖµ.µ±±äÁ¿¸ººÉϵÊýµÄ¾ø¶ÔÖµ´óÓÚ0.5ʱ£¬ËµÃ÷¸Ã±äÁ¿Óë¶ÔÓ¦Òò×Ó½ôÃÜÏà¹Ø£¬¸Ã±äÁ¿ÊǶÔÓ¦Òò×Ó×é³ÉÖеÄÖØÒª±äÁ¿(Esteban et al., 1991).
¡¡¡¡Èç±í 3Ëùʾ£¬µÚ1¸öÒò×Ó¶ÔÀÛÖ¦³æÊô(Epistylis spp.)¶à¶È¡¢Îü¹Ü³æÊô(Podophrya spp.)¶à¶È¡¢°±µªÅ¨¶ÈºÍË®ÖÐÈܽâÑõŨ¶ÈµÈ4¸ö²ÎÊýÓÐ½Ï´ó¾ø¶ÔÖµµÄ¸ººÉϵÊý(>0.5£¬ÏÂͬ)£¬ÆäÖУ¬°±µªÅ¨¶ÈºÍË®ÖÐÈܽâÑõŨ¶ÈÖ±½ÓÓëÏõ»¯Ð§ÂÊÓйأ¬ÇÒËüÃÇÖ®¼ä³Ê¸ºÏà¹Ø¹ØÏµ.ÀÛÖ¦³æÊô(Epistylis spp.)ºÍÎü¹Ü³æÊô(Podophrya spp.)¶à¶È¾ùÓëÏõ»¯Ð§ÂʳʸºÏà¹Ø¹ØÏµ£¬ÕâÓëÏà¹ØÐÔ·ÖÎöµÄ½á¹ûÏàÒ»ÖÂ(±í 2).¼ÈÈ»°±µªÅ¨¶È¡¢ÈܽâÑõŨ¶È¡¢ÀÛÖ¦³æÊôºÍÎü¹Ü³æÊô¶¼ÊǾö¶¨Ïõ»¯Ð§ÂʵĻ·¾³Òò×Ó£¬Òò´Ë£¬½«Òò×Ó1¶¨ÒåΪÏõ»¯Ð§ÂÊÒò×Ó£¬¸ÃÒò×ÓΪ×Ü·½²î½âÊÍÁ¿µÄ21.86%.
¡¡¡¡ÓëµÚ2¸öÒò×Ó½ôÃÜÏà¹ØµÄ±äÁ¿Ö»ÓÐÈñÀû˜JÏ˳æ(A.lynceus)¡¢ÀߘJÏ˳æ(A.costata)¡¢¹µÖÓ³æ(V.convallaria)ºÍÂÖ³æ(rotifers)µÈÉúÎïѧ²ÎÊý£¬ÇÒ³ýÓÐÀߘJÏ˳æ(A. costata)ÓëÆäÓà±äÁ¿Ö®¼ä³ÊÃ÷ÏԵĸºÏà¹ØÒÔÍ⣬ÆäËû±äÁ¿Ö®¼ä³ÊÕýÏà¹Ø¹ØÏµ.Òò´Ë£¬Òò×Ó2¿É¶¨ÒåΪÉúÎïѧÒò×Ó£¬¸ÃÒò×Ó½âÊÍÁËÔʼ±äÁ¿Ëù°üº¬ÐÅÏ¢Á¿µÄ19.22%.
¡¡¡¡µÚ3¸öÒò×Ó½âÊÍÁËÔʼ±äÁ¿Ëù°üº¬ÐÅÏ¢Á¿µÄ13.81%£¬¶ÔÓ¦±äÁ¿ÖиººÉϵÊý¾ø¶ÔÖµ½Ï´óµÄÔʼ±äÁ¿ÓÐpH¡¢MLSS¡¢SVIµÈ£¬ÇÒpHÓëSVI³ÊÕýÏà¹Ø£¬MLSSÓëÆäÓà±äÁ¿Ö®¼ä´æÔÚÃ÷ÏԵĸºÏà¹Ø.pH¡¢MLSS¡¢SVI¶¼ÊÇϵͳÔËÐйý³ÌÖеĿØÖƲÎÊý£¬¹Ê¿É½«¸ÃÒò×Ó¶¨ÒåΪÔËÐпØÖÆÒò×Ó.
¡¡¡¡µÚ4¸öÒò×Ó¸ÅÀ¨ÁËÔʼ±äÁ¿Ëù°üº¬ÐÅÏ¢Á¿µÄ9.16%£¬¸ÃÒò×Ó¶Ô»Ó·¢·ÓºÍÇ軯Îï³öˮŨ¶ÈµÈÓж¾Óк¦ÎÛȾÎï±äÁ¿Óоø¶ÔÖµ½Ï´óµÄ¸ººÉϵÊý£¬ÇÒËüÃÇÖ®¼ä³ÊÕýÏà¹Ø£¬¿É½«Òò×Ó4¶¨ÒåΪ¶¾º¦ÎïÖÊÒò×Ó.
¡¡¡¡µÚ5¸öÒò×Ó¸ÅÀ¨ÁËÔʼ±äÁ¿Ëù°üº¬ÐÅÏ¢Á¿µÄ8.51%£¬¸ÃÒò×ӿɶ¨ÒåΪÓлúÎï½µ½âЧÂÊÒò×Ó£¬ÒòΪ¸ÃÒò×Ó¸ººÉϵÊý¾ø¶ÔÖµ½Ï´óµÄÖ»ÓÐСÐͱÞë³æ¶à¶ÈºÍ³öË®CODCrµÈ±äÁ¿£¬ÇÒËüÃÇÖ®¼ä³Ê¸ºÏà¹Ø£¬ÕâÓëÏà¹ØÐÔ·ÖÎö½áÂÛÏàÒ»ÖÂ(±í 2).
¡¡¡¡Òò×Ó6ºÍ7·Ö±ð¸ÅÀ¨ÁËÔʼ±äÁ¿Ëù°üº¬ÐÅÏ¢Á¿µÄ7.05%ºÍ6.43%£¬ÓëËüÃǽôÃÜÏà¹ØµÄ±äÁ¿·Ö±ðÖ»ÓÐС¿ÚÖÓ³æ(V. microstoma)ºÍË®ÎÂ.
¡¡¡¡Í¨¹ý¶Ô΢ÐͶ¯Îï¹Ø¼üÖÖÊô»òÀàȺÓëϵͳһ¶ÎºÃÑõ´¦Àíµ¥Ôª³öˮˮÖʺÍÔËÐвÎÊýÖ®¼äµÄPearsonÏà¹ØÐÔ·ÖÎöºÍÒò×Ó·ÖÎö·¢ÏÖ£¬Ä³Ð©Î¢ÐͶ¯ÎïÖÖÊô»òÀàȺÓë³öˮˮÖʺÍÔËÐвÎÊýÖ®¼ä´æÔÚ×ÅÏÔÖøµÄÏà¹Ø¹ØÏµ£¬ÕâЩ΢ÐͶ¯ÎïÖÖ»òÀàȺ¿É×÷ΪÏàÓ¦´¦ÀíÐÔÄܲÎÊýµÄָʾ΢ÉúÎÒÔ±ãΪϵͳÔËÐпØÖÆÌṩָµ¼.ÈçǰÎÄËùÊö£¬ÀÛÖ¦³æÊô(Epistylis spp.)¶à¶ÈÓë³öË®°±µªÅ¨¶È³ÊÏÔÖø¸ºÏà¹Ø(r=-0.740£¬p<0.01)£¬ÕâÓëÒò×Ó·ÖÎö½á¹ûÏàÒ»ÖÂ(±í 3)£¬ËµÃ÷ºÃÑõ³ØÖÐÀÛÖ¦³æÊô(Epistylis spp.)´óÁ¿Éú³¤Ô¤Ê¾×ųöË®°±µªÅ¨¶ÈµÍ£¬ºÃÑõϵͳÏõ»¯Ð§¹ûºÃ£¬¼´ÀÛÖ¦³æÊô(Epistylis spp.)¿É×÷Ϊ¸ÃºÃÑõϵͳÏõ»¯Ð§¹ûºÃµÄָʾ΢ÉúÎï.ͬÀí¿ÉÖª£¬¿É×÷ΪÏõ»¯Ð§¹ûºÃµÄָʾ΢ÉúÎïÓÐÀÛÖ¦³æÊô(Epistylis spp.)¡¢Îü¹Ü³æÊô(Podophrya spp.);¿É×÷ΪÇ軯Îï½µ½âЧ¹û½Ï²îµÄָʾ΢ÉúÎïÓÐÀÛÖ¦³æÊô(Epistylis spp.);Ë®ÖÐÈܽâÑõº¬Á¿½Ï¸ßµÄָʾ΢ÉúÎïÖÖÊô»òÀàȺÓÐÀÛÖ¦³æÊô(Epistylis spp.)¡¢¹Ì×ÅÐÍÏËë³æ(²»°üÀ¨Ð¡¿ÚÖÓ³æ(V. microstoma)£¬ÏÂͬ);¿É×÷ΪÎÛÄà³Á½µÐԺõÄָʾ΢ÉúÎïÀàȺÓйÌ×ÅÐÍÏËë³æ.
¡¡¡¡4 ÌÖÂÛ
¡¡¡¡4.1 ΢ÐͶ¯ÎïȺÂä½á¹¹ÒìÓÚ³£¹æÎÛË®´¦Àí
¡¡¡¡½¹»¯·ÏË®´¦Àí³§Î¢ÐͶ¯ÎïÖÖÀàºÍÊýÁ¿ÉÙÓÚ³£¹æÎÛË®´¦Àí³§.µ÷ÑеĽ¹»¯·ÏË®´¦Àí³§Î¢ÐͶ¯ÎïÖÖÊýΪ3¡«11ÖÖ£¬Î¢ÐͶ¯ÎïÊýÁ¿Îª0.8¡Á103¡«6.5¡Á103¸ö¡¤ mL-1£¬ÆäÖУ¬ÏËë³æÊýÁ¿Îª0.63¡Á103¡«4.3¡Á103 ¸ö¡¤ mL-1(±í 1)£¬ÏËë³æÊýÁ¿Ïà±È¸ßЧÔËÐеij£¹æÎÛË®´¦Àí³§(>104 ¸ö¡¤ mL-1)Ã÷ÏÔÏà¶Ô½ÏÉÙ.½¹»¯·Ïˮһ¶ÎºÃÑõ³ØÖÐ΢ÐͶ¯ÎïÖÖÀàºÍÊýÁ¿(ͼ 2)±È³£¹æÎÛË®´¦Àí³§(Chen et al., 2004; Liu et al., 2008)Ïà¶Ô½ÏÉÙ£¬ÖÖÊýºÍÊýÁ¿½ÏÉÙµÄ΢ÐͶ¯ÎïȺÂäÆä½á¹¹Îȶ¨ÐԽϲî(Liu et al., 2008).΢ÐͶ¯ÎïȺÂä×é³É½á¹¹µÄ±ä»¯»áÖ±½ÓÓ°Ïìµ½ÉúÌ¬ÓªÑøÁ´ÖÐϸ¾úȺÂä½á¹¹µÄÎȶ¨£¬´Ó¶øÓ°Ïìµ½Õû¸öÉú̬ϵͳ¹¦ÄܵÄÎȶ¨(Liu et al., 2008)£¬Ê¹µÃ½¹»¯·ÏË®´¦ÀíÔËÐв»Îȶ¨.¾Ò»¶ÎºÃÑõ´¦ÀíºóµÄ³öË®CODCr((152.92¡À45.77)mg ¡¤ L-1)¡¢»Ó·¢·Ó((11.12¡À2.36)mg ¡¤ L-1)ºÍÇ軯ÎïŨ¶È((1.22¡À0.78)mg ¡¤ L-1)¾ùÏà¶Ô½Ï¸ß£¬²»ÄÜ´ïµ½¹ú¼ÒÏà¹ØÅŷűê×¼£¬Êµ¼ÊÇé¿öÓëÀíÂÛ·ÖÎöÏàÎǺÏ.
¡¡¡¡½¹»¯·ÏË®´¦Àí³§Î¢ÐͶ¯ÎïÓÅÊÆÖÖÊô²»Í¬.¸ßЧÔËÐеĻîÐÔÎÛÄà·¨ÎÛË®´¦Àí³§ÔÉú¶¯ÎïÏËë³æÊýÁ¿½Ï´ó£¬ÖÖÀà·á¸»£¬Ïà±ÈС¿ÚÖÓ³æ(V. microstoma)£¬¹µÖÓ³æ(V. convallaria)Õ¼ÓÅÊÆ£¬µ«Ã»ÓÐÒ»ÖÖÔÉú¶¯ÎïÕ¼¾ø¶ÔÓÅÊÆ£¬ÍùÍùÒÔ¹Ì×ÅÐͺÍÙéÙëÐÍÏËë³æÎª¹²ÓÅÊÆÀàȺ(Madoni£¬1994).½¹»¯·ÏË®´¦ÀíÎÛÄàϵͳÖо¡¹ÜÒ²ÒÔ¹Ì×ÅÐͺÍÙéÙëÐÍÏËë³æ((940¡À866)¸ö¡¤ mL-1)Ϊ¹²ÓÅÊÆÈº£¬ÔÚÕû¸ö΢ÐͶ¯ÎïȺÂä½á¹¹ÖÐÈÔÕ¼ÓÅÊÆ£¬µ«ÓëС¿ÚÖÓ³æ(V. microstoma)((815¡À562)¸ö¡¤ mL-1)Ïà±ÈÓÅÊÆ²¢²»Ã÷ÏÔ.С¿ÚÖÓ³æ(V. microstoma)ÊÇÒ»ÖÖ¸¯ÉúÖÖ£¬Ëü¶ÔÖîÈçµÍÈܽâÑõ¡¢¸ßÎÛȾÎ︺ºÉ¡¢Óж¾Óк¦ÎïÖʽøÈëµÈ¼«¶Ë»·¾³Ìõ¼þÓкÜÇ¿µÄÄÍÊÜÁ¦£¬¹ÊËüµÄ´óÁ¿Éú³¤Ô¤Ê¾×ÅÆäÉú´æ»·¾³µÄ¶ñÁÓ£¬ÕâÕýÓë½¹»¯·ÏË®Öк¬ÓдóÁ¿µÄÓж¾Óк¦ÎïÖʶÔ΢ÐͶ¯ÎïÓÐDZÔڵ;º¦×÷ÓõÄÊÂʵÏàÎǺÏ.
¡¡¡¡4.2 ΢ÐͶ¯ÎïȺÂäÓë´¦ÀíÐÔÄܼ䴿ÔÚן´ÔÓµÄÏ໥¹ØÏµ
¡¡¡¡ÔÚ»îÐÔÎÛÄà·¨·ÏË®´¦Àí³§ÖУ¬³öÏÖÆµÂʽϸߡ¢Ïà¶Ô¶à¶È½Ï´óµÄijЩ΢ÐͶ¯ÎïÖÖÊô»òÀàȺÓë´¦Àí³§ÔËÐл·¾³¡¢´¦ÀíЧ¹ûÓÐ×ÅÃÜÇеÄÁªÏµ£¬È»¶ø½¹»¯·ÏË®´¦ÀíÖÐ΢ÐͶ¯ÎïȺÂäÓë´¦ÀíÐÔÄܼ䴿ÔڵĹØÏµÈ´½ÏΪ¸´ÔÓ£º¢Ù¾ø´ó¶àÊý΢ÐͶ¯ÎïÖÖÊô»òÀàȺÓë´¦ÀíÐÔÄܲÎÊý¼äµÄÏà¹ØÐÔ²»ÏÔÖø.Óɱí 2ËùʾµÄÉúÎïѧ²ÎÊýÓë³öˮˮÖÊ¡¢ÔËÐвÎÊýÖ®¼äµÄPearsonÏà¹ØÏµÊý¿ÉÖª£¬ËùÁоÙ12¸ö΢ÐͶ¯ÎïÖÖÊô»òÀàȺÖÐÖ»ÓÐ3¸ö(¹Ì×ÅÐÍÏËë³æ¡¢ÀÛÖ¦³æÊô(Epistylis spp.)¡¢Îü¹Ü³æÊô(Podophrya spp.))Óë´¦ÀíÐÔÄÜÏÔÖøÏà¹Ø(p<0.05)£¬ÆäÓà9¸ö΢ÐͶ¯ÎïÖÖÊô»òÀàȺÓë³öˮˮÖÊÏà¹ØÐÔ²¢²»ÏÔÖø(p>0.05).ÕâÓë¶àÊý³£¹æ·ÏË®»îÐÔÎÛÄà·¨´¦ÀíÖÐ΢ÐͶ¯ÎïȺÂäÓë´¦ÀíÐÔÄÜÖ®¼äµÄÏà¹ØÐÔ·ÖÎö½áÂÛ²»Ò»ÖÂ;¢ÚSBI»îÐÔÎÛÄàÉúÎïÐÔÄÜÆÀ¼ÛÌåϵ¶Ô½¹»¯·ÏË®»îÐÔÎÛÄàÐÔÄܵįÀ¹Àʧ׼.Óɱí 2¿ÉÖª£¬SBIÖµÓë³öË®·Ó(p=0.124)¡¢Çè(p<0.05)µÈ¶¾º¦ÎïÖÊÏà¹ØÏµÊýΪÕý(r>0)£¬ÕâÓëMadoniµÄÀíÂÛ(1994)²»·û.ÒÔÉÏ·ÖÎö˵Ã÷¸ß¶¾ÐÔ¹¤Òµ·ÏË®ÖÐ΢ÐͶ¯ÎïȺÂäÓë´¦ÀíÐÔÄÜÖ®¼äµÄÏ໥¹ØÏµÓë³£¹æÎÛË®´¦ÀíÏà±È¸üΪ¸´ÔÓ.
¡¡¡¡4.3 Òò×Ó·ÖÎö·½·¨ÔÚ΢ÐͶ¯ÎïÓë´¦ÀíÐÔÄܹØÏµ·ÖÎöÖÐÓ¦ÓÃ
¡¡¡¡Òò×Ó·ÖÎöÊÇÒ»ÖÖʵÓõÄͳ¼Æ·ÖÎö·½·¨£¬Í¨¹ý±äÁ¿Ö®¼äµÄÏßÐÔ×éºÏÕÒ³öÄܽâÊͱäÁ¿×ÜÐÅÏ¢Á¿×î´óµÄ×éºÏ±äÁ¿ÒÔ¼õÉÙ±äÁ¿¸öÊý£¬È·¶¨ÓëϵͳÏà¹ØÁªµÄDZÔÚµÄÖØÒªÒòËØ£¬Í¬Ê±³ÊÏÖ±äÁ¿Óë±äÁ¿Ö®¼äµÄÏ໥¹ØÏµ£¬ÇÒ¿ÉΪÏà¹ØÐÔ·ÖÎö½áÂÛÌṩ×ôÖ¤(Zhou et al., 2006;2008)£¬¸Ã·½·¨ÔÚ̽¾¿»îÐÔÎÛÄà΢ÐͶ¯ÎïÓë´¦ÀíÐÔÄܼäµÄ¹ØÏµ·½ÃæÒѵõ½Ïà¹ØÓ¦ÓÃ.±¾ÎÄͨ¹ýÒò×Ó·ÖÎö£¬½øÒ»²½Ì½¾¿ÁËÉúÎïѧ²ÎÊýÖ®¼ä¼°ÆäÓë·ÏË®´¦ÀíÐÔÄܲÎÊýÖ®¼äµÄ½»»¥¹ØÏµ£¬Æðµ½Á˺ܺõÄ×÷Ó㺢ÙÌáȡDZÔÚ¹²ÐÔÒò×Ó£¬¼ò»¯ÁËϵͳÐÅÏ¢.½«ÓëϵͳÓйصÄÖÚ¶à±äÁ¿ÖØÐÂ×éºÏ³ÉеÄÒò×Ó£¬²¢·Ö±ð¶¨ÒåΪÏõ»¯Ð§ÂÊÒò×Ó¡¢ÉúÎïѧÒò×Ó¡¢ÔËÐпØÖÆÒò×Ó¡¢¶¾º¦ÎïÖÊÒò×ÓºÍÓлúÎï½µ½âЧÂÊÒò×ӵȣ¬ÒÔ±ã¸üºÃµØÀí½âϵͳÖÚ¶àÔʼ±äÁ¿Ö®¼äµÄÏ໥¹ØÏµ¼°ÏµÍ³Ëù°üº¬µÄÖ÷ÒªÐÅÏ¢£¬¶ÔÕâЩÒò×ÓºÏÀíµÄÃüÃû½á¹û±íÃ÷£¬Ïõ»¯Ð§ÂÊ¡¢Î¢ÐͶ¯Îï¹Ø¼üÖÖÊôÊýÁ¿¡¢ÔËÐпØÖÆÌõ¼þ¡¢Ë®Öж¾º¦ÎïÖÊŨ¶È¼°ÓлúÎï½µ½âЧÂʵÈÒòËØ¶ÔϵͳÓÐ×ÅDZÔÚµÄÖØÒªÓ°Ïì.¢Ú±ãÓÚ·ÖÎö΢ÐͶ¯ÎïÖÖ¼ä¹ØÏµ.Óɱí 3¿ÉÖª£¬ÈñÀû˜JÏ˳æ(A. lynceus)¡¢¹µÖÓ³æ(V. convallaria)¡¢ÂÖ³æ(rotifers)Ï໥֮¼ä´æÔÚ×ÅÃ÷ÏÔµÄÕýÏà¹Ø¹ØÏµ£¬ËµÃ÷ËüÃÇÄܺܺÃÎȶ¨µØ´æÔÚÓÚ΢ÐÍÉú̬ϵͳÖУ¬´æÔÚÀàËÆµÄ¡°Ðͬ¡±¹ØÏµ.¿ÉÄܵÄÔÒòÊÇÈñÀû˜JÏ˳æ(A. lynceus)¡¢¹µÖÓ³æ(V. convallaria)µÈÔÉú¶¯ÎïÓëÂÖ³æ(rotifers)ºóÉú¶¯Îï¹¹³ÉÎȶ¨µÄʳÎïÁ´¹ØÏµ.ÀÛÖ¦³æÊô(Epistylis spp.)ÓëÎü¹Ü³æÊô(Podophrya spp.)³ÊÃ÷ÏÔµÄÕýÏà¹Ø¹ØÏµ£¬¿ÉÊÓ×÷°éÉúÖÖÊô;´ËÍ⣬ÈñÀû˜JÏ˳æ(A. lynceus)ÓëÓÐÀߘJÏ˳æ(A. costata)Ö®¼ä´æÔÚ×ÅÃ÷ÏԵĸºÏà¹Ø¹ØÏµ£¬ËµÃ÷ÈñÀû˜JÏ˳æ(A. lynceus)ÓëÓÐÀߘJÏ˳æ(A. costata)ͬһÊôÖ®¼ä´æÔÚ¡°¾ºÕù¡±¹ØÏµ£¬´¦ÓÚÍ¬Ò»ÓªÑø¼¶£¬ÔÚEstebanµÈ(1991)ºÍMart¨ªn-CerecedaµÈ(1996)µÄÑо¿ÖÐÒ²µÃµ½¹ýÀàËÆµÄ½áÂÛ.
¡¡¡¡5 ½áÂÛ
¡¡¡¡1)±¾Ñо¿Öн¹»¯·ÏË®»îÐÔÎÛÄà·¨´¦ÀíϵͳÖÐ΢ÐͶ¯ÎïÖÖÀàºÍÊýÁ¿Ïà¶ÔÆ«µÍ£¬·Ö±ðΪ3¡«11ÖÖºÍ0.8¡Á103¡«6.5¡Á103 ¸ö¡¤ mL-1.
¡¡¡¡2)½¹»¯·ÏË®´¦Àí»îÐÔÎÛÄà΢ÐͶ¯ÈºÂäÖйÌ×ÅÐͺÍÙéÙëÐÍÏËë³æÎª¹²ÓÅÊÆÀàȺ£¬ÆäÖУ¬¹Ì×ÅÐÍС¿ÚÖÓ³æ(V. microstoma)Ϊ¾ø¶ÔÓÅÊÆÖÖ£¬³öÏÖÆµÂÊ×î¸ß£¬Ïà¶Ô¶à¶È×î´ó;ÁíÍ⣬ÖÓ³æÊô(Vorticella spp.)Ëù°üº¬µÄÖÖÀà×î¶à.
¡¡¡¡3)½¹»¯·ÏË®»îÐÔÎÛÄàÖÐ΢ÐͶ¯Îï×é³É½á¹¹ËæÊ±¿Õ±ä¶¯±È½Ï´ó£¬ÈºÂä½á¹¹²»Îȶ¨£¬Èç6Ô±È4Ô¹Ì×ÅÐÍÏËë³æµÄƽ¾ùÏà¶Ô¶à¶È¸ß³ö30.95%.
¡¡¡¡4)½¹»¯·ÏË®¶Ô΢ÐͶ¯ÎïȺÂä½á¹¹µÄÓ°Ï츴ÔÓ£¬Ê¹ÉúÎïѧ²ÎÊýÓë´¦ÀíÐÔÄÜÖ®¼äµÄ¹ØÏµ±äµÃ¸´ÔÓ£¬Èç¾ø´ó¶àÊý΢ÐͶ¯ÎïÖÖÊôÓë³öˮˮÖʺÍÔËÐвÎÊýÏà¹ØÐÔ²»ÏÔÖø£¬SBI»îÐÔÎÛÄàÆÀ¼ÛÌåϵ¶Ô½¹»¯·ÏË®»îÐÔÎÛÄàÐÔÄܵįÀ¹Àʧ׼.
¡¡¡¡5)Òò×Ó·ÖÎö½ÒʾÁËÓëϵͳÏà¹ØÁªµÄDZÔÚµÄÖØÒªÓ°ÏìÒòËØ¼°Ä³Ð©Î¢ÐͶ¯ÎïÖÖÊô¼äµÄÏ໥¹ØÏµ£¬ÈçÀÛÖ¦³æÊô(Epistylis spp.)ÓëÎü¹Ü³æÊô(Podophrya spp.)´æÔÚ×Å¡°Ðͬ¡±¹ØÏµ£¬ÈñÀû˜JÏ˳æ(A. lynceus)ÓëÓÐÀߘJÏ˳æ(A. costata)´æÔÚ×Å¡°¾ºÕù¡±¹ØÏµ.
¡¡¡¡6)ijЩ΢ÐͶ¯ÎïÖÖÊô»òÀàȺ¿É×÷Ϊϵͳ´¦ÀíÐÔÄܵÄָʾ΢ÉúÎΪ¸Ã·ÏË®´¦Àí³§ÔËÐпØÖÆÌṩָµ¼.ÈçÀÛÖ¦³æÊô(Epistylis spp.)¡¢Îü¹Ü³æÊô(Podophrya spp.)¿É×÷ΪÏõ»¯Ð§¹ûºÃµÄָʾ΢ÉúÎÀÛÖ¦³æÊô(Epistylis spp.)¡¢¹Ì×ÅÐÍÏËë³æ¿É×÷ΪˮÖÐÈܽâÑõº¬Á¿½Ï¸ßµÄָʾ΢ÉúÎï.














