摘要:目前国内人工快渗系统的研究主要集中在北方缺水、气候寒冷干燥地区,本研究针对土壤和气候条件特殊的三峡库区,试验研究CRI系统的构建及其处理性能,探索该技术在库区的适应性.结果表明,库区常见的灰棕紫泥土渗透系数较小,折算成水力负荷为0.1 m3.(m2.d)-1,在该水力负荷下,湿干比为1d∶3d时,系统取得较好的处理效果.气候条件、土壤特性是影响湿干比的主要因素,1d∶3d的湿干比对库区是适宜的,表明CRI系统在三峡库区处理生活污水是可行的.
关键词:人工快渗系统,三峡库区,生活污水
人工土层快速渗滤系统(constructed rapidinfiltration,CRI)是污水土地处理法的一种,是将污水有控制地投配到人工土壤中,利用土壤的物理过滤、吸附及微生物的生化过程,使污水得以净化,具有处理效果良好,投资少,管理方便,操作简单,运行费用低等优点.
近年来,CRI系统在西方一些发达国家获得了广泛的应用[1,2],国内也有相关的试验研究和示范工程[3~6],该系统愈来愈成为污水资源化的重要手段.从国内CRI系统的相关报道看,以北方缺水、气候寒冷干燥地区为重点,就污水土地处理替代二级处理并去除N、P作了较多的研究[3,5],但将该技术运用于南方土壤、温暖湿润气候的报道较少.考虑到该技术在管理运行及基建投资上的优越性和较好的脱N除P效果,本试验拟在温暖潮湿的地区,特别是经济落后、管理水平低、地形高差明显、土质特殊的三峡库区,研究CRI系统的构建及其处理污水的性能等,探索该技术在库区的适用性和可行性,为土地处理系统扩大其应用地域范围提供试验基础和理论依据.
试验分2 步进行: 水力负荷及淹水时间的确定: 对单一介质进行清水试验, 测定渗透系数, 以此计算各土层配比的渗透系数, 初步确定适宜的水力负荷; 考察介质渗透性能随污水投配延续时间的变化, 确定适宜的淹水时间. 湿干比对CRI 系统处理污水的性能试验: 在同一淹水时间下, 研究不同落干时间对CRI 系统处理效果的影响, 确定适宜于三峡库区环境气候条件和生活污水水质的湿干比.
1 水力负荷及淹水时间的确定
1.1 渗透系数和水力负荷的确定
1.1.1 测定单一介质渗透系数
以库区常见的灰棕紫泥土、河砂、陶粒、卵石作为试验材料. 灰棕紫泥土是土地处理的主要微生物载体, 河砂作为土壤颗粒骨架以提高水力负荷, 卵石(5~ 10cm) 作为沥水及承托层, 陶粒的粒径( 3 ~8mm) 介于土壤颗粒和卵石承托层之间, 以防渗滤介质的流失, 同时有增加空隙率、加强装置内部通气的作用.
考察单一介质渗透系数的试验以清水进行, 装置如图1 所示. 试验圆筒由De110U PVC 塑料管制成, 通过溢流管保持试验介质的静水头不变, 水自上而下流经介质层, 待渗流稳定后, 随淹水时间t 的延续, 测定流经介质的水量q 和两测压管的水头差H 的值, 得到各渗透系数随淹水时间而呈现递减的类幂指数关系, 各介质一般在20h 之后出现稳定的渗透系数, 测定该值的结果如表1 所示.
1.1.2 确定水力负荷
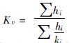
对由几种不同高度、不同渗透系数的介质组成的人工构建系统来说, 整个系统的平均渗透系数由成层土的渗透系数公式得到:
式中: K v 为平均渗透系数, hi 为各层高度, ki为各层渗透系数.对表1 所列的5 种介质, 以不同的高度可组合多种不同的CRI 系统, 测定渗透系数的试验装置同单一介质. 本试验控制介质总高度10m 构建试验装置, 其中卵石层02m, 陶粒层01m, 其余介质共07m. 初步考察以下7 种不同介质配比的系统, 计算其渗透系数如表2 所示.。
将上述各土层配比做成滤柱小装置, 初步测定其污水处理的性能, 试验表明: 土或砂直接与卵石配比或砂直接与陶粒、卵石配比, 均易出现土或砂随出水流失的现象; 土砂混合构建的系统渗透系数相对较大, 但处理性能不稳定, COD、T N、TP 的去除率常不足40%; 介质配比B 构建的CRI 系统土层构成简单, 接近于天然的快渗( RI) 系统, 初期试验运行稳定, 处理污水效果较好.(重庆大学三峡库区生态环境教育部重点实验室)
详情请点击下载附件:人工快渗系统在三峡库区处理生活污水的适应性研究














