¡¡¡¡Ëæ×ÅʹÓþۺÏÎïÇýµÄÈý´Î²ÉÓͼ¼ÊõµÄÍÆ¹ã[1]£¬Èý²ÉÎÛË®Á¿ÖðÄêÔö¼Ó£¬Õⲿ·ÖÎÛË®Öв»½öº¬ÓÐʯÓÍÀ࣬»¹º¬ÓйÌÌåÐü¸¡Îï¡¢¾ÛºÏÎï¼°ÆäËû»¯Ñ§Ò©¼ÁµÈ¶àÖֳɷ֣¬Òò¶øÎÛË®ð¤¶È´ó£¬Ë®ÖÐÓ͵μ°¹ÌÌåÐü¸¡ÎïÔÚ¾Û±ûÏ©õ£°·¼°ÆäË®½â²úÎïµÄ×÷ÓÃÏÂÈ黯£¬Ê¹ÆäÎȶ¨ÐÔÔöÇ¿£¬´¦ÀíÆðÀ´·Ç³£À§ÄÑ£¬¼ÓÖ®ÏàÓ¦µÄ´¦Àí±ê×¼ÒªÇó¿Á¿Ì£¬Òò¶ø¸ßЧÁ®¼ÛµÄº¬¾ÛÎÛË®´¦Àí¼¼ÊõÊܵ½Á˹㷺¹Ø×¢[2]¡£Ä¿Ç°£¬»ìÄý³Áµí·¨ÊÇÓÍÌï²É³öË®×î³£ÓõĴ¦Àí·½·¨Ö®Ò»£¬¶øÓÅÖʸßЧÐõÄý¼ÁµÄ¿ª·¢ÊÇ»ìÄý³Áµí·¨µÄºËÐÄ¡£
¡¡¡¡±ûÏ©õ£ÑõÒÒ»ùÈý¼×»ùÂÈ»¯ï§(DAC)ºÍ±ûÏ©õ£°·(AM)µÄ¹²¾ÛÎïP(DAC-AM)×÷ΪһÖÖÑôÀë×ÓÐ͸߷Ö×ÓÐõÄý¼Á£¬ÓÐÊýÄ¿ÖÚ¶àµÄÑôÀë×Ó»ùÍÅ£¬¿ÉʹÐõÄý¼Áͨ¹ý¾²µç×÷ÓÃÎü¸½ÓÚ´ø¸ºµçµÄÐü¸¡Îï¿ÅÁ£¡¢´ø¸ºµçµÄÈ黯Ó͵κͺ¬ÒõÀë×Ó»ùÍŵÄË®ÈÜÐÔÓлú½ºÖÊÉÏ£¬ÔÚÖкÍ΢Á£±íÃæµçºÉʹÆäÄý¾ÛʧÎȵÄÇé¿öÏ£¬¿É½øÒ»²½ÀûÓÃÆä³¤·Ö×ÓÁ´µÄÎü¸½¼ÜÇÅ×÷Óã¬Ê¹Ðü¸¡¿ÅÁ£Äý¾Û¡¢ÐõÄý³Á½µ£¬È黯Ó͵ÎÄý¾Û±ä´ó¡¢Éϸ¡»òÆÆÈé¡£ÒõÀë×ÓÐÍÈܽâÓлúÎÛȾÎïÓëÖ®¾²µçÏàÎü¶ø¾Û³Á£¬Òò´ËÆä¾ßÓÐÄý¾Û¡¢ÐõÄýµÄË«ÖØ¹¦ÄÜ£¬ÊÇÒ»ÖÖ¡°¶à¹¦ÄÜ¡±ÐõÄý¼Á£¬¿ÉÓÐЧ½µµÍË®µÄ×Ƕȡ¢º¬ÓÍÁ¿ºÍCOD £¬¹ã·ºÓ¦ÓÃÓÚ¸÷ÖÖ¹¤ÒµºÍÉú»î·ÏË®µÄ´¦Àí[3]¡£
¡¡¡¡×Ô1952ÄêÃÀ¹úÇè°·¹«Ë¾ÊµÏÖ¾Û±ûÏ©õ£°·µÄ¹¤Òµ»¯Éú²úÒÔÀ´£¬±ûÏ©õ£°·Àà¾ÛºÏÎïµÄºÏ³É·½·¨Ò»Ö±¶¼ÔÚ²»¶Ï¸Ä½øÖ®ÖÐ[4]¡£·´ÏàÈéÒº¾ÛºÏÊÇ20ÊÀ¼Í80Äê´ú·¢Õ¹ÆðÀ´µÄÒ»Ö־ۺϷ½·¨£¬¾ßÓз´Ó¦ËÙÂʿ졢Á£×ÓÁ£¾¶Ð¡¡¢²úÎïÏà¶Ô·Ö×ÓÖÊÁ¿¸ß¶øÇÒ·Ö²¼Õ¡¢²úÆ·ÈܽâÐԺá¢ÀûÓÚ½Á°è´«ÈȵÈÓŵ㣬ÏÖÒѳÉΪ¾ÛºÏÎïºÏ³ÉµÄÑо¿Èȵã[5]¡£
¡¡¡¡±ÊÕßÒÔ°×ÓÍ×öÓлúÏàÈܼÁ£¬×ÔÖÆÂíÀ´Ëáôû¸ÄÐÔSpan80Óëwt2524¸´Åä×öÈ黯¼Á£¬²ÉÓ÷´Ïà΢ÈéÒº¾ÛºÏ·¨ºÏ³ÉÁËÎȶ¨µÄÑôÀë×ÓÐ͸߷Ö×ÓÐõÄý¼ÁP(DAC-AM)£¬Ì½ÌÖÁËÆäºÏ³ÉÌõ¼þ£¬²¢½«ÆäÓ¦ÓÃÓÚ´óÇìÓÍÌﺬ¾ÛÎÛË®µÄÐõÄý´¦Àí£¬Ñо¿Á˲»Í¬·Ö×ÓÖÊÁ¿¡¢²»Í¬ÑôÀë×ӶȲúÆ·¶ÔÓÚÐõÄýЧ¹ûµÄÓ°Ïì¡£
¡¡¡¡1 ʵÑ鲿·Ö
¡¡¡¡1.1 Ö÷ÒªÊÔ¼ÁÓëÒÇÆ÷
¡¡¡¡ÊÔÑéÊÔ¼Á£ºÒÒ¶þ°·ËÄÒÒËá¶þÄÆ¡¢ÇâÑõ»¯ÄÆ¡¢äåËá¼Ø¡¢½¹ÑÇÁòËáÄÆ¡¢¼×´¼¡¢±ûͪ£¬ÏõËáÄÆ¡¢´×ËáÄÆ¡¢ÏõËáÒø¡¢¸õËá¼Ø£¬·ÖÎö´¿£¬Ìì½ò·ç´¬»¯Ñ§ÊÔ¼Á¿Æ¼¼ÓÐÏÞ¹«Ë¾;±ûÏ©õ£ÑõÒÒ»ùÈý¼×»ùÂÈ»¯ï§(DAC)£¬ÖÊÁ¿·ÖÊý80%£¬½ËÕ¸»íµ¿Æ¼¼¹É·ÝÓÐÏÞ¹«Ë¾;±ûÏ©õ£°·(AM)£¬·ÖÎö´¿£¬ÈÕ±¾Èý¾®»¯Ñ§;¾ÛºÏÂÈ»¯ÂÁ(PAC)£¬¹ÌÌ壬·ÖÎö´¿£¬Ìì½òÈóÎÖ¹©Ë®°²×°¹¤³ÌÓÐÏÞ¹«Ë¾Ìṩ;Span80£¬ÂíÀ´Ëáôû£¬»¯Ñ§´¿£¬Ìì½ò¹â¸´¾«Ï¸»¯¹¤Ñо¿Ëù;wt2524£¬»¯Ñ§´¿£¬ÃÀ¹úºà˹Âõ»¯¹¤ÓÐÏÞ¹«Ë¾;°×ÓÍ£¬¹¤ÒµÆ·¡£
¡¡¡¡ÊµÑéÓÃÏÖ³¡º¬¾ÛÎÛË®£ºÈ¡×Ô´óÇìÓÍÌ¾ÛºÏÎïÇýÎÛˮζÈ40 ¡æ£¬ÓÍÖÊÁ¿Å¨¶ÈΪ1 240 mg/L£¬PAMÀà¾ÛºÏÎïÖÊÁ¿Å¨¶ÈΪ452 mg/L£¬¹ÌÌåÐü¸¡ÎïÖÊÁ¿Å¨¶ÈΪ312 mg/L£¬pHΪ8.7£¬ð¤¶È1.65 mPa¡¤s£¬×ǶÈ45.8 NTU¡£
¡¡¡¡ÊÔÑéÒÇÆ÷£ºPL4002ÐÍ·ÖÎöÌìÆ½£¬Ã·ÌØÀÕ-ÍÐÀû¶à¼¯ÍÅ;DF-101SÐÍÊý×Ö¿ØÖƺãÎÂˮԡÏ䣬֣Öݳ¤³Ç¿Æ¹¤Ã³ÓÐÏÞ¹«Ë¾;µÂ¹úIKAÅ·ÖÞÖ®ÐǽÁ°èÆ÷£¬°¬¿¨(¹ãÖÝ)ÒÇÆ÷É豸ÓÐÏÞ¹«Ë¾;BT100-2J¾«ÃÜÈ䶯±Ã£¬±£¶¨À¼¸ñºãÁ÷±ÃÓÐÏÞ¹«Ë¾;76-1A²£Á§ºãÎÂˮԡ£¬½ð̳ÊÐ÷ÏãÒÇÆ÷ÓÐÏÞ¹«Ë¾;0.5¡«0.6 mmÎÚʽð¤¶È¼Æ£¬Ìì½òÊÐÌ첨²£Á§ÒÇÆ÷ÓÐÏÞ¹«Ë¾;DZFÐÍÕæ¿Õ¸ÉÔïÏ䣬¹®ÒåÔ£»ªÒÇÆ÷ÓÐÏÞÔðÈι«Ë¾;BrukerºìÍâ¹âÆ×ÒÇ£¬²¼Â³¿Ë(±±¾©)¿Æ¼¼ÓÐÏÞ¹«Ë¾¡£
¡¡¡¡1.2 P(DAC-AM)µÄºÏ³ÉÓë±íÕ÷
¡¡¡¡³ÆÈ¡0.050 molÂíÀ´ËáôûºÍ0.050 mol Span80ÓÚÈý¿ÚÆ¿ÖУ¬¼ÓÈë0.50 mmol ´×ËáÄÆ×÷´ß»¯¼Á£¬»ìºÏÎï½Á°èϼÓÈÈÖÁÈÛÈÚ£¬·´Ó¦3.0 hºóÀäÈ´£¬µÃµ½Í¸Ã÷ð¤³íÒº£¬ÓÃ20%µÄÇâÑõ»¯ÄÆÈÜÒºµ÷ÖÁÖÐÐÔ£¬µÃ°×É«¸à×´´Ö²úÎï¡£´Ö²úÎïÓÃÀäµÄÒÒ´¼ÄÆÈÜҺϴµÓµÃ´¿¾»µÄÂíÀ´Ëáôû¸ÄÐÔSpan80(ÈÛµã273 ¡æ£¬ÊÕÂÊ87%)¡£
¡¡¡¡ÔÚÉÕ±Àï¼ÓÈë±ûÏ©õ£°·¡¢DACºÍÈ¥Àë×ÓË®£¬½Á°èÈܽâºó¼ÓÈëÒÒ¶þ°·ËÄÒÒËá¶þÄÆ£¬ÅäÖÆÎªµ¥Ìå×ÜÖÊÁ¿·ÖÊýΪ50%µÄË®Ïà;ÔÚËÄ¿ÚÉÕÆ¿ÖÐÒÀ´Î¼ÓÈë°×ÓÍ¡¢ÂíÀ´Ëáôû¸ÄÐÔSpan80¡¢wt2524£¬½Á°èÒ»¶Îʱ¼äºóͨ¹ýÈ䶯±Ã¼ÓÈëÏÈǰÅäÖÆºÃµÄË®Ï࣬¸ßËÙ½Á°èÈ黯³ä·Öºó£¬½«ºãÎÂˮԡ¿ØÖƵ½Ö¸¶¨Î¶ȣ¬Í¨ÈëµªÆø³ýÑõ£¬ÔÙͨ¹ýÈ䶯±ÃºãËٵμÓÒý·¢¼Á£¬´ý·¢ÉúÃ÷ÏÔµÄÉýηÅÈÈÏÖÏó²¢ÇÒ½µÎº󣬺ãμÌÐø·´Ó¦Ò»¶Îʱ¼ä£¬Í£Ö¹½Á°è£¬½áÊø·´Ó¦¡£²úÎïÓü״¼ÆÆÈ飬³Áµí£¬ÔÙÓñûͪ¶à´ÎÇåÏ´£¬µÃµ½µÄ¾ÛºÏÎïÔÚ40 ¡æÏÂÕæ¿Õ¸ÉÔïÖÁºãÖØ£¬ÑÐϸ¿ÉµÃµ½·Ûĩ״²úÎ׼ȷ³ÆÈ¡ÆäÖÊÁ¿£¬²â¶¨¾ÛºÏ·´Ó¦µÄת»¯ÂÊ¡£
¡¡¡¡È¡ÊÊÁ¿·Ûĩ״²úÆ·£¬ÓÃ1 mol/L NaNO3 »º³åÈÜÒº×÷ÈܼÁ£¬ÔÚ(30¡À0.1) ¡æ ÏÂÓÃÎÚÊÏð¤¶È¼Æ²â¶¨Æä·Ö×ÓÖÊÁ¿;ʹÓÃBruker TensorÐͺìÍâÒÇ£¬²ÉÓÃKBrѹƬ·¨¶Ô²úÆ·½øÐнṹ·ÖÎö¡£
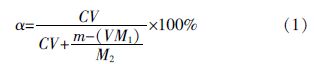
¡¡¡¡ÓÃAgNO3ÈÜÒºµÎ¶¨²â¶¨²úÆ·ÑôÀë×Ó¶È£º×¼È·³ÆÈ¡0.3 g×óÓÒ²úÆ·£¬ÈÜÓÚ150 mLÈ¥Àë×ÓË®ÖнÁ°èÈܽ⣬ÒÔ0.5 mL 5%¸õËá¼ØÈÜҺΪָʾ¼Á£¬ÓÃ0.05 mol/L AgNO3±ê×¼ÈÜÒºµÎ¶¨£¬¸ù¾ÝÏûºÄÏõËáÒøµÄÌå»ý¼ÆËãÑôÀë×ӶȦÁ£¬¼ÆËã·½·¨¼ûʽ(1)¡£
¡¡¡¡
¡¡¡¡Ê½ÖУºc¡ª¡ªAgNO3µÄŨ¶È£¬mol/L;
¡¡¡¡V¡ª¡ªËùÏûºÄAgNO3±ê×¼ÈÜÒºµÄÌå»ý£¬L;
¡¡¡¡M1¡¢M2¡ª¡ªDAC¡¢AMµÄĦ¶ûÖÊÁ¿£¬g/mol;
¡¡¡¡m¡ª¡ª¾ÛºÏÎïµÄÖÊÁ¿£¬g¡£
¡¡¡¡1.3 P(DAC-AM)ÐõÄýÊÔÑé
¡¡¡¡ÐõÄý¼ÁµÄÅäÖÆ£º×¼È·³ÆÈ¡0.1 g P(DAC-AM)·ÛÄ©£¬²¢ÅäÖÆ³É100 mLµÄÈÜÒº£¬´ýÓá£
¡¡¡¡ÐõÄý¹ý³Ì£ºÁ¿È¡100 mL´óÇìÓÍÌﺬ¾ÛÎÛË®£¬µ÷pH£¬40 ¡æºãÎÂ0.5 h£¬Ö®ºó¼ÓÈëÒ»¶¨Á¿µÄPACÈÜÒººÍÒ»¶¨Á¿µÄÅäºÃµÄP(DAC-AM)ÈÜÒº£¬ÓÃÁ¦Ò¡¶¯50Ï£¬·Å»Ø40 ¡æºãÎÂˮԡ£¬Ò»¶¨Ê±¼äºóÈ¡ÆäÇåÒº£¬²â¶¨ÐõÄýЧ¹û¡£
¡¡¡¡2 ½á¹ûÓëÌÖÂÛ
¡¡¡¡2.1 P(DAC-AM)µÄºÏ³É
¡¡¡¡ÔÚP(DAC-AM)·´Ïà΢ÈéÒºµÄºÏ³É¹ý³ÌÖУ¬Ëæ×Å·´Ó¦½øÐУ¬·´Ó¦Ìåϵð¤¶ÈÏÈÔö´óºó¼õС£¬¾ÛºÏ¹ý³ÌÖÐÈéÒºµÄÕâÖÖ״̬±ä»¯ÊÇÓÉÓÚ΢¹Û½á¹¹ÉÏÈéÒº´ÓË«Á¬Ðøµ½·´ÏàÇò×´µÄת±äÔì³ÉµÄ¡£¾ÛºÏ¹ý³ÌÖУ¬·´Ó¦Î¶ȡ¢·´Ó¦Ê±¼ä¡¢Òý·¢¼ÁÓÃÁ¿¶Ô·´Ó¦×ª»¯ÂÊ¡¢²úÆ··Ö×ÓÖÊÁ¿¾ùÓкܴóÓ°Ï죬¶øµ¥ÌåÅä±ÈÔò¾ö¶¨Á˲úÆ·µÄÑôÀë×Ó¶È¡£
¡¡¡¡2.1.1 ·´Ó¦Î¶ȵÄÓ°Ïì
¡¡¡¡¶ÔÓھۺϷ´Ó¦£¬Ôڽϵ͵ÄÒý·¢Î¶ÈÏ£¬Òý·¢¼ÁµÄ»îÐԽϵͣ¬×ÔÓÉ»ùÊýÁ¿ÉÙ£¬Á´´«µÝÍùÍù²»ÄÜ˳Àû½øÐУ¬µ¼Ö¾ۺϲ»ÍêÈ«£¬²úƷת»¯Âʵͣ¬²ÐÓ൥Ì寫¸ß£¬¶øÔڽϸߵÄζÈÏ£¬Òý·¢¼ÁÒý·¢²úÉú´óÁ¿µÄ×ÔÓÉ»ù£¬ÌåϵµÄÁ´×ªÒÆËÙÂʳ£ÊýµÄÔö¼ÓÔ¶´óÓÚÁ´Ôö³¤ËÙÂʳ£ÊýµÄÔö¼Ó£¬ÓÖʹµÃÏà¶Ô·Ö×ÓÖÊÁ¿½µµÍ¡£Òò¶øÒª»ñµÃ²úƷת»¯Âʸߡ¢Ïà¶Ô·Ö×ÓÖÊÁ¿¸ßµÄ¾ÛºÏÎ·´Ó¦Î¶ȵÄÑ¡ÔñÖÁ¹ØÖØÒª¡£ÊµÑéÖй̶¨ÆäËû·´Ó¦Ìõ¼þ£ºm(DAC)¡Ãm(AM)=3¡Ã7£¬Òý·¢¼ÁΪäåËá¼Ø-½¹ÑÇÁòËáÄÆÇÒÓÃÁ¿Îªµ¥ÌåÖÊÁ¿µÄ0.025%£¬·´Ó¦Ê±¼ä3.0 h£¬·Ö±ðÔÚ30¡¢35¡¢40¡¢45¡¢50 ¡æÌõ¼þÏÂÍê³ÉÁ˾ۺϣ¬·¢ÏÖ30 ¡æÒý·¢·´Ó¦Ê±£¬ÎÞÃ÷ÏÔ·´Ó¦ÌØÕ÷£¬ºó´¦ÀíδµÃµ½²úÆ·£¬¼´´ËζÈÏÂÎÞ·¨Òý·¢¾ÛºÏ£¬35 ¡æÒý·¢·´Ó¦Ê±£¬²úƷת»¯Âʽϵͣ¬·´Ó¦²»ÍêÈ«£¬Ö±ÖÁ·´Ó¦Î¶ÈÌáÖÁ40 ¡æ¼°ÒÔÉÏ£¬·´Ó¦ÍêÈ«£¬²úÆ··Ö×ÓÖÊÁ¿ËæÎ¶ÈÉý¸ßÓнµµÍÇ÷ÊÆ£¬Òò¶øÑ¡È¡40 ¡æÎª×î¼Ñ·´Ó¦Î¶ȡ£
¡¡¡¡2.1.2 ·´Ó¦Ê±¼äµÄÓ°Ïì
¡¡¡¡²»Í¬ÓÚÒ»°ãµÄ¾ÛºÏ·´Ó¦£¬Î¢ÈéÒº¾ÛºÏÊÇÒ»ÖÖ¿ìËٵľۺϷ´Ó¦£¬¶Ìʱ¼äÄÚ¾ÍÄܹ»¾ÛºÏÍêÈ«¡£¹Ì¶¨ÆäËû·´Ó¦Ìõ¼þ£ºÒý·¢¼ÁΪäåËá¼Ø-½¹ÑÇÁòËáÄÆÇÒÓÃÁ¿Îªµ¥ÌåÖÊÁ¿µÄ0.025%£¬·´Ó¦Î¶È40 ¡æ£¬Ê¹·´Ó¦·Ö±ð½øÐÐ0.5¡¢1.0¡¢1.5¡¢2.0¡¢2.5¡¢3.0 h£¬·¢ÏÖ²»Í¬µ¥ÌåÅä±È£¬¼´m(DAC)¡Ãm(AM)ÔÚ1¡Ã9¡«4¡Ã6ϵľۺϷ´Ó¦£¬Ë淴Ӧʱ¼äµÄÔö³¤£¬·´Ó¦×ª»¯ÂÊÖð½¥Ôö¼Ó£¬ÏàÓ¦µÄ·Ö×ÓÖÊÁ¿Ëæ×ª»¯ÂʵÄÔö¼Ó¶øÖð½¥½µµÍ£¬Ô¼2.0 hºó·´Ó¦ÍêÈ«£¬·Ö×ÓÖÊÁ¿²»ÔÙÓÐÃ÷ÏԱ仯¡£ÓÉ´Ë£¬¿ÉÒÔÑ¡¶¨×î¼Ñ·´Ó¦Ê±¼äΪ2.0 h¡£
¡¡¡¡2.1.3 Òý·¢¼ÁµÄÓ°Ïì
¡¡¡¡ÓÉÓÚ¾Û±ûÏ©õ£°·Àà¾ÛºÏ·´Ó¦±È½Ï¾çÁÒ£¬Îª·ÀÖ¹±©¾Û£¬Ñ¡È¡Òý·¢Î¶Ƚϵ͵ÄäåËá¼Ø-½¹ÑÇÁòËáÄÆÑõ»¯»¹ÔÒý·¢¼Á×÷ΪÒý·¢¼Á£¬²ÉÓ÷ֱðµÎ¼ÓÑõ»¯¼ÁºÍ»¹Ô¼ÁµÄ·½Ê½Òý·¢¾ÛºÏ¡£µ±ÆäËû·´Ó¦Ìõ¼þ¹Ì¶¨(·´Ó¦Î¶È40 ¡æ£¬·´Ó¦Ê±¼ä3.0 h)ʱ£¬¶ÔÓÚ²»Í¬µ¥ÌåÅä±È£¬¼´m(DAC)¡Ãm(AM)ÔÚ1¡Ã9¡«4¡Ã6ϵľۺϷ´Ó¦£¬Òý·¢¼ÁŨ¶È¶Ô·´Ó¦×ª»¯Âʼ°ËùºÏ³É²úÆ·µÄ·Ö×ÓÖÊÁ¿µÄÓ°ÏìÊÇÒ»Öµģ¬¾ùΪ¸Õ¿ªÊ¼ËæÒý·¢¼ÁŨ¶ÈÔö´ó£¬·´Ó¦×ª»¯ÂÊÉý¸ß£¬²úÆ··Ö×ÓÖÊÁ¿Ï½µ£¬ÖÁÒý·¢¼ÁŨ¶ÈÔö´óΪµ¥ÌåÖÊÁ¿µÄ0.025%ʱ£¬×ª»¯Âʽӽü100%ÇÒ²úÆ··Ö×ÓÖÊÁ¿²»ÔÙÓÐÃ÷ÏԱ仯£¬µ±Òý·¢¼ÁŨ¶È¼ÌÐøÔö¼Ó£¬ÌåϵÖÐ×ÔÓÉ»ù¹ý¶à£¬²úÆ··Ö×ÓÖÊÁ¿·´¶ø½µµÍ¡£ÓÉ´Ë¿ÉÖª£¬µ±Òý·¢¼ÁŨ¶ÈΪµ¥ÌåÖÊÁ¿µÄ0.025%ʱ¿É»ñµÃ×î¸ß·Ö×ÓÖÊÁ¿µÄ¾ÛºÏÎï¡£±í1ÁгöÁ˾ßÓдú±íÐԵļ¸ÖÖµ¥ÌåÅä±È´ËÌõ¼þÏ»ñµÃµÄ×î¸ß·Ö×ÓÖÊÁ¿ÊýÖµ¡£
¡¡¡¡2.1.4 µ¥ÌåÅä±ÈµÄÓ°Ïì
¡¡¡¡µ¥ÌåÅä±È¶Ô¾ÛºÏÎïÑôÀë×ӶȵÄÓ°Ïì¼û±í2¡£
¡¡¡¡Óɱí2¿ÉÖª£¬µ¥ÌåÅä±ÈÖ÷ÒªÓ°Ïì¾ÛºÏÎïÑôÀë×Ó¶È£¬Ïàͬµ¥ÌåÅä±ÈµÄϵÁоۺÏÎïÑôÀë×ӶȵÄÊÔÑé¾ùÖµÂÔµÍÓÚÆäÒÀ¾Ýµ¥ÌåÅä±È¼ÆËã³öµÄÀíÂÛÖµ¡£
¡¡¡¡2.2 P(DAC-AM)µÄºìÍâ¹âÆ×±íÕ÷
¡¡¡¡±¾ÊµÑéºÏ³ÉµÄ²»Í¬ÑôÀë×Ó¶È¡¢²»Í¬·Ö×ÓÖÊÁ¿µÄÐõÄý¼ÁÆäºìÍâ¹âÆ×ͼ´óÌåÒ»Ö£¬´ú±íÆ×ͼ¼ûͼ1¡£
ͼ1 P(DAC-AM)µÄºìÍâ¹âÆ×±íÕ÷
¡¡¡¡3 393 cm-1´¦Îª°·»ù¡ªNH ÌØÕ÷ÎüÊշ壬1 667 cm-1 Ϊõ£°·ôÊ»ùÉìËõÕñ¶¯ÎüÊշ壬ÔÚ2 930 cm-1 ´¦µÄÎüÊÕ·åΪ¼×»ùºÍÑǼ׻ùµÄÉìËõÕñ¶¯ÎüÊշ壬3 188 cm-1 ´¦Îª¡ªN(CH)Éϼ׻ùµÄÌØÕ÷ÎüÊÕ£¬l 735 cm-1 ´¦Îªõ£Ñõ»ùÍŵÄÌØÕ÷ÎüÊշ壬1 452 cm-1 ´¦Îª¡ªCH2¡ªN(CH3)3ÑǼ׻ùµÄÍäÇúÕñ¶¯ÎüÊÕ·å¡£Á½ÖÖµ¥Ìåµ¥ÔªµÄÌØÕ÷ÎüÊÕ·åÔÚͼ1ºìÍâ¹âÆ×ÖоùÒѳöÏÖ¡£±íÃ÷²úÎïÊÇDAC-AMµÄ¹²¾Û²úÎï¡£
¡¡¡¡2.3 P(DAC-AM)´¦ÀíÓÍÌﺬ¾ÛÎÛË®µÄÊÔÑé
¡¡¡¡ÒÔ´óÇìÓÍÌïÈýÔª¸´ºÏÇýº¬¾ÛÎÛˮΪ´¦Àí¶ÔÏ󣬲ÉÓÃÎÞ»úÐõÄý¼Á/ÓлúÐõÄý¼Á¸´ÅäµÄ·½Ê½½øÐÐÐõÄýʵÑ飬ÒÔ×Ƕȡ¢Óͺ¬Á¿Îª±ê×¼£¬Ñ¡È¡ÊµÑéÊÒËùÖÆ±¸µÄ²»Í¬·Ö×ÓÖÊÁ¿¡¢²»Í¬ÑôÀë×ӶȵÄϵÁÐP(DAC-AM)¾ÛºÏ²úÆ·£¬¿¼²ìÁËP(DAC-AM)×÷ΪÐõÄý¼Áʱ£¬pH¡¢ÑôÀë×Ó¶È¡¢·Ö×ÓÖÊÁ¿¡¢ÓÃÁ¿¶ÔÐõÄýЧ¹ûµÄÓ°Ïì¡£
¡¡¡¡2.3.1 pH¶ÔÐõÄýЧ¹ûµÄÓ°Ïì
¡¡¡¡PACͶ¼ÓÖÊÁ¿Å¨¶ÈΪ1 600 mg/L£¬ÑôÀë×Ó¶È30%¡¢·Ö×ÓÖÊÁ¿Ô¼500ÍòµÄP(DAC-AM)Ͷ¼ÓÖÊÁ¿Å¨¶ÈΪ1.5 mg/LʱµÄpHÓë×ǶÈÈ¥³ýÂÊ¡¢Óͺ¬Á¿È¥³ýÂʹØÏµÈçͼ2 Ëùʾ¡£
ͼ2 pH¶ÔÐõÄýЧ¹ûµÄÓ°Ïì
¡¡¡¡ÓÉͼ2¿ÉÒÔ¿´³ö£¬Ëæ×ÅpHµÄÔö´ó£¬ÈÜÒº×ǶÈÈ¥³ýÂʺÍÓͺ¬Á¿È¥³ýÂʶ¼ÊÇÏÈÉý¸ßÔÙ½µµÍ£¬ÔÚpHΪ8ʱ£¬ÐõÄýЧ¹û×îºÃ¡£pH¹ýСʱ£¬ÌåϵÖдæÔÚ´óÁ¿µÄAl3+£¬Ò»·½Ãæ´óÁ¿µÄAl3+»áʹÌåϵÖпÅÁ£´øÉÏÕýµçºÉ£¬µçºÉÅųâ×÷ÓûáʹÌåϵÔٴδ¦ÓÚÎȶ¨×´Ì¬;ÁíÒ»·½Ã棬Al3+»á¶ÔÈÜÒºÖеÄÑôÀë×Ó¹²¾ÛÎïÓÐÅųâ×÷Óã¬Ê¹ÑôÀë×Ó¹²¾ÛÎïÁ´ÓÐÊÕËõÇ÷ÊÆ£¬¼õСÁËÆäÔÚÈÜÒºÖеÄÓÐЧÁ£¾¶£¬²»ÀûÓÚÐõÄýµÄ½øÐС£µ±pH ¹ý´óʱ£¬ÈÜÒºÖеÄOH-»áÃ÷ÏÔ½µµÍÑôÀë×ÓÐõÄý¼ÁµÄZeta µç룬²»ÀûÓÚÖкÍÓÍÌï²É³öË®ÖнºÍÅËù´øµÄ¸ºµçºÉ£¬Í¬Ñù²»ÀûÐõÄý¼ÁµÄÐõÄý×÷Óá£ÓÉ´Ë¿ÉÖª£¬¶ÔÓÚ´óÇìÓÍÌﺬ¾ÛÎÛË®µÄÐõÄý´¦Àí×î¼ÑÌõ¼þΪpH=8¡£
¡¡¡¡2.3.2 ²úÆ··Ö×ÓÖÊÁ¿ÒÔ¼°ÑôÀë×ӶȶÔÐõÄýЧ¹ûµÄÓ°Ïì
¡¡¡¡ÌåϵpHΪ8¡¢PACͶ¼ÓÖÊÁ¿Å¨¶ÈΪ1 600 mg/L¡¢ÑôÀë×Ó¹²¾ÛÎïµÄͶ¼ÓÖÊÁ¿Å¨¶ÈΪ1.5 mg/L µÄÌõ¼þÏ£¬¶ÔÓ¦µÄ²»Í¬·Ö×ÓÖÊÁ¿¡¢²»Í¬ÑôÀë×ӶȾۺÏÎï´¦ÀíºóÈÜÒºµÄ×ǶÈÈ¥³ýÂʺÍÓͺ¬Á¿È¥³ýÂÊÇúÏß¼ûͼ3¡¢Í¼4¡£
ͼ3 ÑôÀë×Ӷȼ°·Ö×ÓÖÊÁ¿¶Ô×ǶÈÈ¥³ýÂʵÄÓ°Ïì
¡¡¡¡´Óͼ3¡¢Í¼4¿ÉÒÔ¿´³ö£¬²úÆ·ÑôÀë×Ó¶È¡¢·Ö×ÓÖÊÁ¿¶ÔÓÚ×ǶÈÈ¥³ýÂʺÍÓͺ¬Á¿È¥³ýÂʵÄÓ°ÏìÇ÷ÊÆÊÇÏàͬµÄ£ºÍ¬Ò»ÑôÀë×ӶȵIJúÆ·£¬ÆäÐõÄýЧ¹ûËæÆä·Ö×ÓÖÊÁ¿µÄÔö´óÏÈÔö´óºó¼õС¡£ÕâÖ÷ÒªÊÇÒòΪ£¬¹²¾ÛÎïÏà¶Ô·Ö×ÓÖÊÁ¿½ÏµÍʱ£¬ÇÅÁ¬ÄÜÁ¦½Ï²î£¬²»ÄÜÓÐЧµØ°Ñ¼ÓPACºóÐγɵÄСÐõÌåÄý½áÔÚÒ»¿é£¬ÐõÄýЧ¹û²»ºÃ;¹²¾ÛÎïÏà¶Ô·Ö×ÓÖÊÁ¿Îª400Íò×óÓÒʱ£¬·Ö×ÓÁ´³ä·ÖÊæÕ¹£¬ÇÅÁ¬×÷Óóä·Ö·¢»Ó£¬ÐõÄýЧ¹û×îºÃ;¹²¾ÛÎïÏà¶Ô·Ö×ÓÖÊÁ¿¹ý¸ßʱ£¬¾ÛºÏÎïÁ´ÔÚÈÜÒºÖв»Äܳä·ÖÉìÕ¹£¬ÈÝÒ×·¢ÉúÁ´¶ÎÖØµþ¶ø·¢ÉúÅųâ×÷Óã¬Ê¹Æä¹ÙÄÜÍÅÀûÓÃÂʽµµÍ£¬Ó°ÏìÁËÎü¸½¼ÜÇÅÄÜÁ¦£¬ÐõÄýЧ¹ûÒò¶øÓÐϽµÇ÷ÊÆ¡£¶ø¶ÔÓÚͬһ·Ö×ÓÖÊÁ¿²úÆ·£¬ÐõÄýЧ¹ûÒ²ÊÜÑôÀë×Ó¶ÈÓ°Ï죬´óÌåÐõÄýЧ¹ûÓÅÁÓ˳ÐòÒÀ´ÎΪ£ºÑôÀë×Ó¶ÈΪ30%>ÑôÀë×Ó¶ÈΪ20%¡¢ÑôÀë×Ó¶ÈΪ40%>ÑôÀë×Ó¶ÈΪ10%µÄ¾ÛºÏÎï¡£´ÓÕâµãÒ²¿ÉÒÔ¿´³ö£¬ÐõÄý¼ÁµÄÑôÀë×Ӷȹý´ó»ò¹ýС¾ù²»ÀûÓÚÐõÄý£¬¶ÔÓÚÌØ¶¨µÄÎÛˮӦÓÐÒ»¸ö¾ßÓÐ×î¼ÑÐõÄýЧ¹ûµÄÑôÀë×Ó¶È£¬¶ø¶ÔÓÚ´óÇìÓÍÌﺬ¾ÛÎÛË®£¬Ò©¼ÁµÄ×îÓÅÏà¶Ô·Ö×ÓÖÊÁ¿Îª400Íò×óÓÒ£¬×îÓÅÑôÀë×Ó¶ÈΪ30%×óÓÒ¡£
¡¡¡¡2.3.3 ²úƷͶ¼ÓÁ¿¶ÔÐõÄýЧ¹ûµÄÓ°Ïì
¡¡¡¡ÌåϵpHΪ8¡¢PACͶ¼ÓÖÊÁ¿Å¨¶ÈΪ1 600 mg/L¡¢ÑôÀë×Ó¶È30%¡¢Ïà¶Ô·Ö×ÓÖÊÁ¿Îª400ÍòµÄÌõ¼þÏ£¬¶ÔÓ¦µÄ²»Í¬¾ÛºÏÎïͶ¼ÓÁ¿ÏµÄ×ǶÈÈ¥³ýÂʺÍÓÍÈ¥³ýÂÊÇúÏßÈçͼ5Ëùʾ¡£
ͼ5 ÐõÄý¼ÁͶ¼ÓÁ¿¶ÔÐõÄýЧ¹ûµÄÓ°Ïì
¡¡¡¡ÐõÄý¼ÁͶ¼ÓÁ¿Ì«Ð¡£¬µçÐÔÖкÍÉÙ£¬Îü¸½¼ÜÇÅ×÷ÓýÏÈõ£¬ÐõÄýЧ¹û²î;Ͷ¼ÓÁ¿¹ý´ó£¬ÓÐÀûÓÚµçÐÔÖкÍÓëÎü¸½Çżܣ¬ËùÐγɵÄÐõÌåÁ£¾¶Ôö¼Ó£¬³Á½µËٶȼӿ죬µ«P(DMC-AM)ÓÖ¾ßÓзÖÉ¢×÷Ó㬴óÁ¿µÄ¸ß·Ö×ÓÐõÄý¼ÁÎü¸½ÔÚÐü¸¡¿ÅÁ£±íÃæ½«Æä°ü¸²£¬»áÔÚÆä±íÃæÐγɿռ䱣»¤²ã£¬×èÖ¹Îü¸½¼ÜÇŽṹµÄÐγɣ¬Ê¹ÒѾÐõÄýµÄÐõÌåÖØÐ·ÖÉ¢¡£ÁíÍâ£¬Ëæ×ÅͶ¼ÓÁ¿Ôö´ó£¬ÈÜÒºð¤¶È±ä´ó£¬Ò²²»ÀûÓÚÐõÌåµÄ¿ìËÙ³Á½µ¡£¿É¼û£¬ÐõÄý¼ÁͶ¼ÓÁ¿Ì«Ð¡»òÌ«´ó£¬ÐõÄýÐÔÄܾù²»ºÃ£¬´ËʵÑéÖоۺÏÎïµÄ×î¼ÑͶ¼ÓÖÊÁ¿Å¨¶ÈӦΪ2.0 mg/L¡£¡£
¡¡¡¡3 ½áÂÛ
¡¡¡¡Ó÷´Ïà΢ÈéÒº·½·¨£¬ÒÔ°×ÓÍ×öÓлúÏàÈܼÁ£¬×ÔÖÆÂíÀ´Ëáôû¸ÄÐÔSpan80Óëwt2524¸´Åä×öÈ黯¼Á£¬Í¨¹ý¸Ä±äÒý·¢¼ÁÓÃÁ¿¡¢·´Ó¦Î¶ȡ¢·´Ó¦Ê±¼ä¼°µ¥ÌåÅä±ÈÖÆ±¸³öÁËһϵÁв»Í¬·Ö×ÓÖÊÁ¿¡¢²»Í¬ÑôÀë×ӶȵÄP(DAC-AM)ÑôÀë×Ӹ߷Ö×ÓÐõÄý¼Á£¬½«ÆäÓÃÓÚ´óÇìÓÍÌﺬ¾ÛÎÛË®µÄÐõÄý´¦ÀíÊÔÑ飬½á¹û±íÃ÷£¬¶ÔÓÚ´óÇìÓÍÌﺬ¾ÛÎÛË®£¬ÑôÀë×Ӹ߷Ö×ÓÐõÄý¼ÁÏà¶Ô·Ö×ÓÖÊÁ¿Îª400Íò£¬ÑôÀë×Ó¶È30%×óÓÒʱ£¬ÐõÄýЧ¹û×îºÃ£¬ÔÚPACͶ¼ÓÖÊÁ¿Å¨¶ÈΪ1 600 mg/L¡¢P(DAC-AM)Ͷ¼ÓÖÊÁ¿Å¨¶ÈΪ2.0 mg/L¡¢³Á½µÊ±¼äΪ20 min¡¢ÈÜÒºpHΪ8Ìõ¼þÏ£¬º¬¾ÛÎÛË®×ǶÈÈ¥³ýÂʿɴï97%£¬ÓÍÈ¥³ýÂʿɽӽü100%¡£














