[拼音]:shedianyuan shanshuo
[外文]:scintillation of radio source
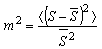
小角径射电源的射电在传播过程中由于途中的介质密度起伏而使地面接收到的射电强度出现起伏(犹如大气的扰动使地面上看到的星像闪烁现象一样),这种时强时弱现象称为射电源闪烁。星际物质、行星际物质的密度起伏和地球电离层的密度起伏,都能引起射电源闪烁。其主要影响是来自太阳(日冕的不均匀性和临近太阳的太阳风密度的迅速变化)。当射电源的方向靠近太阳时,源的射电必定透过从太阳流出的速度大约为每秒350公里的许多电离气体云。观测方向越靠近太阳,在视线方向上的云越多。云中的电子密度越高,云中电子密度的变化也越大。这些折射率变化的云无规则地调制着射电波的相位,结果使地面上收到无规则的强度衍射。这种由行星际空间物质引起的闪烁,称为射电源的行星际闪烁。闪烁的程度用闪烁指数m来表示,定义为
,
式中S为射电源流量密度,埅为平均流量密度,<(S-埅)2>为(S-埅)2的平均值。一般当射电源角径θ>2″时,闪烁现象不太明显,而当θ<2″时(特别是在米波段),m 随着θ的减小而迅速增加。由于射电源经过等离子体云时,呈现无规则衍射图样,用统计法研究衍射图的性质便能得出有关射电源直径的信息。因此,可以利用射电源行星际闪烁来求出河外致密射电源角径的上限,例如,可求出致密射电源直径上限或有核晕结构的射电源(见射电星系)的核直径的上限,其极限值可在0.01左右。不过,目前这种求角径上限的方法已部分地被甚长基线干涉仪观测所取代。