哈密顿原理

浏览

英国数学家W.R.哈密顿1834年发表的动力学中一条适用于完整系统十分重要的变分原理,它可表述为:在N+1维空间(q1q2,…,qNt)中,任两点之间连线上动势L(q,妜,t)(见拉格朗日方程)的时间积分以真实运动路线上的值为驻值。其变分形式为:

公式 符号

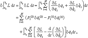
因时间t1t2固定,故有:

公式 符号

q(1)q(2) 两点固定,所以δ)q(2)q(1)=0,于是上式成为:

公式 符号

即积分的极值是属于真实路线。由此可见,拉格朗日方程(第二类)可由哈密顿原理导出。

这原理的数学形式不但简洁和紧凑,而且内容广泛,如适当地替换L的内容,就能作为其他力学的基础(如电动力学和相对论力学)。此外,若将此原理写成变分形式,就能利用变分法中的近似计算法来解决某些力学问题。

参考书目
  1. E. T. Whittaker, A Treatise on the Analytical Dynamics of Particles and Rigid Bodies,4th ed., Cambridge Univ.Press,Cambridge,1952.
  2. 钱伟长著:《变分法及有限元》,上册,科学出版社,北京,1980。