[拼音]:jingjulü
[外文]:reactivity ratio
表示某一结构单元结尾的活性链(M壒)与其自身单体(M1)加成反应的速率常数k11与另一单体(M2)加成反应的速率常数k12的比值,它用r(r1、r2等)表示,例如:
则 r1=k11/k12,r2=k22/k21。竞聚率可通过实验测定。它不仅是计算共聚物组成的必要参数,还可根据它的数值直观地估计两种单体的共聚倾向。例如, r>1表示自聚倾向比共聚大;r<1表示共聚倾向大于自聚;r=0表示不能自聚。
影响竞聚率的因素对某一特定的单体对,随着聚合反应类型不同, 其r1和r2值可以有很大的差别。如苯乙烯(M1)和甲基丙烯酸甲酯(M2)在60℃进行自由基聚合时,r1=0.52,r2=0.46;在20℃用SnCl4为引发剂进行正离子聚合时,r1=10.5,r2=0.1;在-30℃用NaNH2为引发剂进行负离子聚合时,r1=0.12,r2=6.4。在自由基共聚合中,影响竞聚率的因素有温度、压力、溶剂等。由于自由基共聚的链增长活化能低, 所以温度对竞聚率影响很小,例如, 苯乙烯 (M1)和甲基丙烯酸甲酯(M2)在60℃共聚时,r1=0.52,r2=0.46;在131℃共聚时,r1=0.59,r2=0.54。压力对竞聚率的影响一般遵循以下规律,即随压力增大共聚体系的r1r2乘积逐渐趋近于1。随着竞聚率测定方法的精确度的提高,发现溶剂对竞聚率也有一定影响,其机理尚待深入研究。关于介质对竞聚率的影响也有报道,例如体系pH值的变化以及体系中加入某些金属盐类也会使某些体系的竞聚率发生变化。至于因聚合反应实施方法的不同所引起的竞聚率变化,有时看来似乎很大,但这种变化并不是由于竞聚率数值发生了改变,而是单体在局部反应区域的浓度不等于原料单体的宏观浓度引起的,这种情况在实际合成共聚物时应予以重视。
在离子型共聚中,影响竞聚率的主要因素有引发剂和反离子的种类、溶剂、温度等,它们的影响有时相当大(见离子型聚合)。
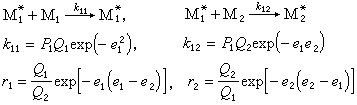
Q-e方程J.Jr.艾尔弗雷和C.C.普赖斯提出了表示单体共聚特性的Q-e方程,在这个方程中,每一种单体有它自己的特征常数。假设P1和P2分别代表M壒和M壗的共轭因子(表示共轭效应的大小),Q1和Q2分别代表M1和M2的共轭因子,e1和e2分别代表M1及其相应自由基和M2及其相应自由基的极性因子(表示极性效应的大小),可以得到以下方程:
这一方程将二元共聚中单体竞聚率和两单体及其自由基的两个基本参数联系起来了,这样就可以预测两种单体共聚时的竞聚率,也更容易找到单体的分子结构和共聚活性之间的关系。他们将苯乙烯的两个参数定为Q=1,e=-0.80,再根据实验测出的共聚体系的竞聚率计算出不同单体的Q和e值, 并用它们来预测其他共聚体系的r1和r2值。
实验证明,用Q-e方程能够较好地预测大部分单体在共聚合中的特性,但对取代基空间阻碍大的单体来说,其误差较大;也可以比较概括地用单体的Q、e值分布来理解聚合反应中的共轭效应和极性效应。