自由基聚合

浏览

又称游离基聚合。为用自由基引发,使链增长(链生长)自由基不断增长的聚合反应。它的主要应用范围是烯类加成聚合

在烯类单体的自由基加成聚合反应中,每一个单体分子与链增长末端自由基发生加成反应,产生新的链自由基,并按照这种方式不断地增长。最常用的产生自由基的方法是引发剂的受热分解或二组分引发剂的氧化还原分解反应,也可以用加热、紫外线辐照、高能辐照、电解和等离子体引发等方法产生自由基。

在工业上,自由基聚合反应广泛地用于乙烯、氯乙烯苯乙烯、丙烯酸酯、四氟乙烯等烯类单体的聚合。因为自由基聚合反应既可以用水作介质进行悬浮聚合和乳液聚合,也可以不用任何介质进行本体聚合,所以它至今仍然是高分子工业中用得最多的一种聚合反应。早在20世纪40年代,已经奠定了自由基聚合反应的动力学和反应机理的研究基础。

自由基聚合反应的动力学

通过测定不同条件下和不同时间内单体的转化率可以研究聚合反应速率。常用的测定方法有两种:

(1)沉淀法,如果聚合物不溶于单体,例如聚丙烯腈、聚氯乙烯等,可以在不同时间内将沉淀下来的聚合物过滤、洗涤、干燥、称重,以测定单体的转化率;如果聚合物溶于单体,则可以加沉淀剂将聚合物沉淀下来。

(2)膨胀计法,这是测量体积的方法。单体聚合时,聚合体系的体积往往逐渐减小,这是因为聚合物的密度比单体大。不同单体和它们的聚合物都有不同的密度,其体积收缩程度也就不同。以某一单体在100%聚合后体积改变的百分比为标准,就可以测定这一单体在不同条件下的转化率。这种方法既简单又准确,用一个样品可以得到在某一条件下转化率与反应时间的一整套数据。无论聚合物在单体中溶解还是沉淀,均可使用此法。

自由基聚合反应的动力学方程

影响聚合反应速率的主要因素是单体和引发剂。通过在不同单体浓度 [M]下测定聚合反应速率Rp,得知它们之间呈一级关系,即Rp∝[M];再通过在不同引发剂浓度[I]下测定聚合反应速率Rp,得知它们之间呈平方根关系,即Rp∝[I]┩。由以上结果可以得到自由基聚合反应的基本动力学方程Rp∝[M][I]┩。

自由基聚合反应属于链式聚合反应,分为链引发、链增长和链终止三个基元反应。

链引发

用单一引发剂来引发,主要通过加热使共价键均裂而形成两个自由基(例如用过氧化苯甲酰 BPO或偶氮二异丁腈ABIN为引发剂时):

公式 符号

式中I为引发剂:kd为引发剂分解反应的速率常数;R·为初级自由基。这是链引发阶段的第一步,第二步是R·与单体双键的加成而形成活化单体RM·(简写为M1·):

公式 符号

式中k1为引发速率常数;Y为取代基。由于kikd,链引发速率Ri决定于第一步:

公式 符号

由于引发剂分解出来的自由基不一定能 100%有效地活化单体,有必要引入引发效率f,一般情况下f在0.5~1.0。

链增长

单体活化以后就迅速地进行链增长,包括一连串的打开双键的加成反应,形成一连串自由基M2·、M3·、…、Mn·:

公式 符号

例如:

公式 符号

在均相体系中和体系粘度不大时,不同自由基M1·、M2·、M3·、…、Mn-1·基本上具有相同的活性, 因此链增长速率常数都可用kp表示。这样,上述一连串反应可表示为:

公式 符号

链增长速率Rp为:

公式 符号

可以认为链增长速度也就是单体消失速率,也就是一般所谓的聚合反应速率:

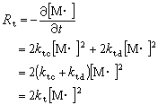
公式 符号 链终止

主要由两个自由基的相互作用形成,其结果是自由基消失。消失的方式有两种:一是偶合终止,也称重结合终止。二是歧化终止。也可能二者同时存在:

公式 符号

式中ktc为偶合终止速率常数,ktd为歧化终止速率常数。链终止速率Rt可以用自由基消失的速率来表示:

公式 符号

式中kt为包括两种方式的链终止速率常数,乘2是由于每一次链终止都有两个自由基消失。

稳态下的动力学方程

按照动力学稳态处理,当链引发速率与链终止速率相等时,可表示为:

公式 符号

由此求得[M·]为:

公式 符号

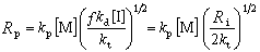
代入Rpkp[M·][M]式得:

公式 符号

上式即聚合反应动力学方程,它与实验所得的结果Rp∝[M][I]┩相符合,即聚合速率与单体浓度和引发剂浓度(或引发速率)的平方根成正比。

如果某种实际条件不符合上述三个基元反应的基本要求,则动力学方程中[I]项与[M]项的指数将出现偏差。例如当引发剂浓度过大时,则部分初级自由基R·将与增长链自由基Mn·作用,进行所谓初级自由基链终止反应。由于这部分初级自由基的消耗而导致[I]的指数小于1/2。如果在沉淀聚合时,一部分增长链自由基被隔离在沉淀中不发生双基终止,便成了表观上的所谓单分子链终止,从而导致[I]的指数大于1/2。再如当单体与引发剂先形成络合剂而后分解出初级自由基R·时,则单体浓度[M]的指数往往成为1.5;如果刚刚生成的初级自由基在单体分子的“笼”中不易扩散而导致所谓笼蔽效应,则此时的引发效率f将与[M]成一次方关系,从而导致单体浓度的总指数为1.5。

其他不同引发类型的自由基聚合反应也同样能得到稳态下的动力学方程。例如,过氧化氢与亚铁盐或过氧化苯甲酰BPO与N,N-二甲基对甲苯胺DMT的氧化还原引发聚合中,反应速率为:

公式 符号

如果是苯乙烯的热聚合,则反应速率为:

公式 符号

如果是光引发自由基聚合反应,则引发速率为:

公式 符号

式中I0是光强度;[S]为光敏剂浓度。因此,光敏引发的自由基聚合反应动力学方程为:

公式 符号

如果光敏剂是双组分的〔例如米氏酮(S)和胺(A)〕,则动力学方程为:

公式 符号

如果某些烯类单体不用光敏剂,而靠单体自身吸收光而活化,则方程为:

公式 符号

如果要保持上述动力学方程中三个速率常数kdkpkt不变,首先是聚合温度要相同,其次是转化率只能小于20%,否则聚合体系粘度增大,将出现自动加速效应,成为扩散控制,这时kp虽然变化不大,但kt却有较大的下降,不再是常数。由于终止反应速率变小,使聚合速率骤升,这时聚合物的分子量也变大。

如果聚合反应有链转移,则聚合速率与链转移反应的类别有关,即与链转移反应速率常数ktr有关,也与链转移后产生的自由基再引发单体的反应速率有关。正常的链转移反应(如溶剂的链转移)一般不影响聚合速率,只降低聚合物的分子量;如果ktrkp大得多(如调聚反应),则得到低分子量的调聚物;当再引发反应比增长反应慢时,则聚合速度和聚合物的分子量都降低;如果链转移产生的自由基为稳定自由基时,则为缓聚或阻聚。

杂质对反应的影响

在进行上述动力学分析时,还必须注意聚合反应体系中的杂质,特别是能起抑制聚合的阻聚剂,例如氧、硫、三氯化铁或对苯醌等都能与自由基发生反应生成稳定的自由基,或发生氧化还原反应生成非自由基产物。同样也能利用这些阻聚剂的加入来定性地证明某种聚合反应是不是自由基型的,另外还能利用它们定量地捕捉初级自由基R·,测定它的引发速率。

自由基聚合反应的温度效应

温度效应主要有三方面。

(1)总的聚合反应速率Rp和各基元反应的速率常数。

(2)平均聚合度唒,也就是平均分子量。

(3)聚合物的结构,包括链节之间的排列以及支链问题。

温度对反应速率的影响

根据反应速率与温度的一般关系 公式 符号,将kdkpkt代入聚合反应速率方程,经简化后得到:

公式 符号

式中T为绝对温度;R为气体常数;k为反应速率常数。一般来说,引发剂分解反应活化能Ed在30千卡/摩尔左右;链增长反应活化能 Ep为3.7~7.3千卡/摩尔;链终止反应活化能 Et为1.2~4.2千卡/摩尔;聚合反应表观活化能为 Ea≈20千卡/摩尔。这相当于温度升高10°C时,反应速率增高2~3倍。如果是不用引发剂的光聚合,Ed=0,则Ea≈5千卡/摩尔,相当于温度升高10°C时,速率只增加30%左右。可见光聚合的温度效应很小。再如氧化还原引发聚合中,Ed≤10千卡/摩尔,因此,温度效应也远较用一般引发剂时为小。

温度对平均聚合度唒的影响

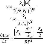
一般是温度增高时唒减小,这可以用动力学链长v来说明:

公式 符号

从而可推得:

公式 符号

一般,EpEt公式 符号为5~6千卡/摩尔, 而Ed≈30千卡/摩尔,故公式 符号约为-10千卡/摩尔,它是负数,因此,温度升高时v就降低,所以唒也降低。如果是光聚合,Ed=0,而公式 符号为正数,因此,温度升高时v增大,所以唒也增大。如果是氧化还原聚合,Ep≈10千卡/摩尔,此时公式 符号,故温度对v和唒基本上无影响。

温度对聚合物结构的影响

主要有两方面:

(1)温度升高时聚合物的链转移增加,即支链增加;

(2)温度升高时增加聚合物的1,2结构的比例(Y为烃基或其他基团):

公式 符号

这是由于1,3结构的自由基较1,2结构的自由基稳定,而且1,3结构成键时的空间阻碍较1,2结构小,E12E13,因此,温度升高有利于形成1,2结构。

参考书目
  1. G.Odian, Principles of Polymerization,2nd ed.,John Wiley & Sons, New York, 1981.
  2. 冯新德著:《高分子合成化学》,上册,科学出版社,北京,1981。