核苷

浏览

原指来自核酸的嘌呤和嘧啶糖苷(见苷),现已扩展至其他天然和合成的杂环碱基核糖苷,也包括糖上的C1连接到杂环碱的氧原子或碳原子上的化合物。核酸中的核苷由嘌呤或嘧啶碱与核糖或脱氧核糖缩合而成。核糖分子中的碳原子(C1)与嘧啶分子中的氮原子(N1)或嘌呤分子中的氮原子(N9)之间形成苷键,生成N-糖苷,即嘧啶或嘌呤的呋喃核糖苷,称为核糖核苷。2-脱氧核糖分子中的碳原子(C1)与嘧啶分子中的氮原子(N1)或嘌呤分子中的氮原子(N9)之间形成苷键,成为嘧啶或嘌呤的呋喃脱氧核糖苷,称为脱氧核糖核苷。例如,腺嘌呤连接到核糖上,生成腺嘌呤-9-β-D-呋喃核糖核苷,称为腺嘌呤核苷;胸腺嘧啶连接到2′-脱氧核糖上,生成胸腺嘧啶-1-β-D-2′-脱氧呋喃核糖核苷,称为胸腺嘧啶核苷。

结构

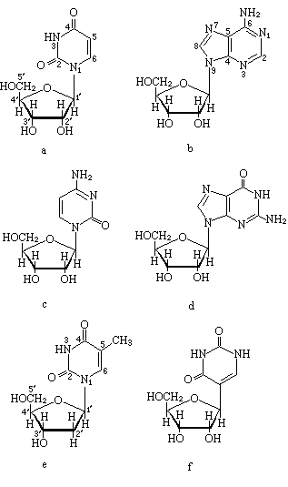
常见的核苷有:尿嘧啶核苷(尿嘧啶-1-β-D-呋喃核糖核苷)(见结构式a)、腺嘌呤核苷(腺嘌呤-9-β-D-呋喃核糖核苷)(b)、胞嘧啶核苷(胞嘧啶-1-β-D-呋喃核糖核苷)(c)、鸟嘌呤核苷(鸟嘌呤-9-β-D-呋喃核糖核苷)(d)、胸腺嘧啶核苷(胸腺嘧啶-1-β-D-2′-脱氧呋喃核糖核苷)(e)。

此外,核糖和脱氧核糖可与稀有碱基结合成相应的稀有核苷;还有碳-碳键连结在一起的假尿嘧啶核苷(f)。

性质

一般核苷为无色的高熔点结晶;易溶于热水,难溶于冷水,嘧啶核苷较嘌呤核苷更易溶于水,难溶于有机溶剂,苯甲酰化后可溶于醇。腺嘌呤核苷、胞嘧啶核苷为弱碱性,尿嘧啶核苷为弱酸性,溶于强碱中;可制成铅盐、银盐、苦味酸盐、苦酮酸盐。

公式 符号

核苷上的羟基可起烷基化反应,如二苯甲基化、甲基化、苄基化、硅烷化等反应;也可进行各种酰化反应,如乙酰化、苯甲酰化、异丁酰化等反应,核糖核苷可进行丙酮叉化、苄叉化反应,还可以与原酸酯反应。

制法

核苷可从水解核酸来制备。用吡啶水溶液、氧化铝或酶促水解核糖核酸RNA,可得到核糖核苷;用氧化铝或酶水解脱氧核糖核酸 DNA可得到脱氧核糖核苷。核苷也可用化学方法合成。适当保护的核糖或脱氧核糖与碱基衍生物缩合,可得到相应的核糖核苷和脱氧核糖核苷。或在糖的C1上先形成碳-氮和碳-碳键,然后闭环成杂环碱基而得到核苷。

生理功能

核苷是核酸的主要组分。有些核苷及其衍生物具有显著的生理功能,如次黄嘌呤核苷(肌苷)可治疗急性和慢性肝炎及风湿性心脏病,并有增加白血球等功效。5-氟尿嘧啶脱氧核苷能抗肿瘤,毒性比5-氟尿嘧啶低,对肝癌、胃癌、直肠癌、卵巢癌、膀胱癌有一定疗效。胞嘧啶阿拉伯糖苷对缓解白血病有显著效果。5′-脱氧-5′-碘尿嘧啶核苷是治疗病毒性角膜炎的特效药。

公式 符号 公式 符号

参考文章