[拼音]:xianwei zengqiang fuhe cailiao pohuazhunze
[外文]:failure criteriaof fibre reinforced composites
又称纤维增强复合材料破坏理论,它们给出纤维增强复合材料因承受载荷而破坏时应力分量或应变分量应满足的条件。它们建立在单向纤维增强复合材料的简单破坏实验的基础上,是估算复杂应力或复杂应变状态下单向复合材料强度以及进行复合材料设计的依据。由于纤维增强复合材料目前多为层板,所以破坏准则是层板强度计算的基础。
在纤维增强复合材料中,纤维的拉伸强度高于基体的拉伸强度。在垂直于纤维方向承受拉伸或在纤维方向和垂直于纤维方向承受剪切的情况下,比较小的应力也会引起复合材料中纤维与基体的脱离或基体自身的拉伸破坏或剪切破坏。在平面应力状态下,单向复合材料有三种基本的破坏形式:纤维拉伸(或压缩)破坏、基体拉伸(或压缩)破坏和剪切破坏。
层板的破坏是一个逐层破坏过程。当外加载荷增大到层板中某一层的破坏值时,这一层先破坏,载荷重新分配到其余诸层中,并依次使第二层、第三层、……直到最后一层破坏。因此,单向复合材料层板是研究层板破坏的基础。
目前,单向复合材料层板的破坏理论有多种,但它们都只是部分地同某些实验结果相符合。公认的几种破坏准则为:
最大应力准则它是以应力值为判据的破坏准则。其内容是,单向层板中各应力分量都要小于相应的强度值。否则材料就会破坏。对图1所示的单向纤维板,若以L、T表示顺纤维方向和垂直纤维方向,σL、σT和τLT表示应力分量,以Xt、Xc、Yt、Yc和S分别表示L方向拉伸强度值、L方向压缩强度值、T方向拉伸强度值、T方向压缩强度值和单向层板的剪切强度值,则破坏判别式为:
-Xc<σL<Xt,
-Yc<σT<Yt, (1)
|τLT|<SLT。
这三个不等式是相互独立的,只要其中有一个不满足,材料就会破坏。
如果单向层板只在和纤维成θ角(0<θ<
)的方向承受拉应力σθ(图2),
则应力分量与σθ的关系为:
σL=σθcos2θ,σT=σθsin2θ,τLT=-σθcosθsinθ, (2)
代入式(1),则有:
(3)
只要三个不等式中有一个不满足,材料就破坏。σθ为压应力时,有类似的公式。
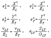
最大应变准则它是以应变值为判据的破坏准则。其内容是,单向层板中各应变分量都要小于相应的极限应变值,否则材料就会破坏。以εL、εT和γLT表示应变分量,以e
、e
、e
、e
和eLT分别表示L方向拉伸极限应变值、L方向压缩极限应变值、T方向拉伸极限应变值、T方向压缩极限值和单向层板的剪切极限应变值,则破坏判别式为:
-e
<εL<e
,
-e
<εT<e
, (4)
|γLT|<eLT。
只要三个不等式中有一个不满足,材料就破坏。
利用单向复合材料层板的应力-应变关系
(5)
和
(6)
最大应变理论的破坏判别式 (4)可写成以应力分量表达的形式:
-Xc<σL-νLTσT<Xt,
-Yc<σT-νTLσL<Yt, (7)
|τLT|<SLT,
式中EL、ET为弹性模量;νLT、νTL为泊松比;GLT为剪切模量。比较式(7)和式(1)可知,最大应力准则和最大应变准则的差别仅在于后者给出的判别式中含有泊松比,而前者不含。
蔡-希尔破坏准则是美籍华人学者蔡为仑和美国的R.希尔在20世纪60年代将各向同性材料的米泽斯屈服条件(见屈服条件)推广到单向层板而得到的破坏准则。它只适用于拉伸和压缩强度相等的单向层板。记Xt=Xc=X,Yt=Yc=Y,SLT=S,则根据这一准则,单向层板临界破坏应力应满足的条件为:
等式左端各项的实际计算值小于1,材料不破坏;大于1,材料就会破坏。
对图2所示情况,上式可化成以σθ表示的形式:
根据蔡-希尔破坏准则计算出的结果比较接近实际。
蔡-吴破坏准则是美籍华人学者蔡为仑和E.M.吴于1971年提出的张量形式的破坏准则。根据这一准则,临界破坏应力应满足的条件为:
Fiσi+Fijσiσj+…=1 (i,j=1,2,…,6), (10)
式中σi为材料内一点的应力分量;Fi、Fij……是表征材料强度性能的一阶、二阶……张量,叫作强度张量,它们的分量可通过实验确定;重复下标表示约定求和。从理论上说,式(10)取的项数越多,在反映材料强度性能方面精度越高。
对于单向层板,式(10)可写为:
F1σL+F2σT+F11σ戧+F22垐
+F66τ戨+2F12σLσT=1。 (11)
等式左端各项的实际计算值小于1,材料不破坏;大于1,材料就会破坏。蔡-吴破坏准则的优点在于,判别式中包含应力的一次项,因此适用于抗拉、抗压性能不同的材料。