[拼音]:tangzhi
[外文]:glycolipid
糖和脂质结合所形成的物质的总称。在生物体分布甚广,但含量较少,仅占脂质总量的一小部分。糖脂的种类繁多,其中研究得较为深入的是糖鞘脂。
结构
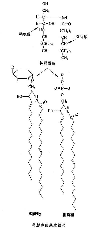
鞘脂类鞘脂类分子由 3个基本结构成份组成(见图):一是鞘氨醇,是长链的带有氨基的二醇,链长约18碳原子左右;二是长链脂肪酸,链长约18~26碳原子,以酰胺键与鞘氨醇相结合,称为神经酰胺;三是极性基团的头部,通常联接在鞘氨醇第一个碳原子的羟基上。因极性基团不同,形成不同类型的鞘脂,如:含有磷酸的称为鞘磷脂,含有糖基的,称为鞘糖脂。鞘糖脂分子中的糖基数目不等。仅含一个糖基的鞘糖脂统称脑苷脂。含多个糖基的鞘糖脂又分为两大类:不含唾液酸的中性鞘糖脂和含有唾液酸的酸性鞘糖脂。近来,由于阐明结构的鞘糖脂愈益增多,又依据接近神经酰胺的几个内核糖基的组成和结构,将鞘糖脂进一步分为4个系列:球(globo-)系列,粘(muco-)系列,乳(lacto-)系列,节(ganglio-)系列(表1)。每个系列内还分成若干小的类群。
其他糖脂
糖基酰基甘油的分子中,糖基和甘油的一个羟基以糖苷键相联,甘油的其他两个羟基各与一个脂肪酸相联;这类糖脂在动植物组织中均有发现。植物中还曾发现极少量的固醇糖苷。细菌中,除大分子脂多糖外,常产生各种结构的糖脂。包括:糖基甘油──糖和脂肪酸形成的脂类,其糖基部分多为D-甘露糖和D-葡萄糖;含糖磷脂──和通常的磷酸甘油脂混在一起,只是以糖基代替碱基和醇的位置;以及糖和脂肪酸形成的酯类,含苯酚末端的羟基烃所形成的糖苷等等。从分枝杆菌的荚膜中分离出一种有毒的糖脂,是海藻糖和分枝脂肪酸形成的双酯。它能促使分枝杆菌连接成索状长链,称为索状因子(cord factor)。 分枝杆菌中还有一些长链脂酸或烃基衍生物的糖苷,其糖基部分常为二糖或三糖,包含一些稀有的单糖。
分布
鞘脂类是动、植物细胞膜的重要组份,在脑和神经组织中含量很高,而在贮脂中只有极少量。鞘糖脂分布在膜脂双层的外侧层中,非极性的碳氢长链埋在外侧脂层中,极性的糖链伸展到胞外水相中。用有机溶剂或去垢剂能将鞘糖脂从膜中抽提出来。另外,在细胞内有极少量糖脂,是糖链合成过程的中间载体。
功能
细胞膜上的鞘糖脂与细胞生理状况密切相关。鞘糖脂的组成,无论是神经酰胺部分还是糖链部分,都表现出一定的种族、个体、组织以及同一组织内各部分细胞的专一性。即使同一类细胞,在不同的发育阶段,鞘糖脂的组成也不同。正因为某些类型鞘糖脂是某种细胞在某个发育阶段所特有的,所以糖脂常常被作为细胞表面标志物质。糖脂又是细胞表面抗原的重要组分,某些正常细胞癌化后,表面糖脂成分有明显变化;一些已分离出来的癌细胞特征抗原,也已证明是糖脂类物质。细胞表面的糖脂还是许多胞外生理活性物质的受体(表2),参与细胞识别和信息传递过程。