单糖

浏览

多羟基醛或多羟基酮,分子中除羟基(OH)外,还有羰基(公式 符号公式 符号)。

单糖分为两类:分子中有醛基的称为醛糖,有酮基的称为酮糖。单糖根据碳原子数分为丙糖(三碳糖)、丁糖(四碳糖)、戊糖(五碳糖)、己糖(六碳糖)等,最高级的单糖含有10个碳原子。天然存在的单糖见表。以葡萄糖、果糖、半乳糖、D-木糖和L-阿拉伯糖的量最丰富。D-核糖和2-脱氧 -D-核糖有着特殊的意义,它们是核糖核酸RNA和脱氧核糖核酸DNA中糖的组分。单糖含有多个手性碳原子,都是光学活性化合物(见旋光异构)。使平面偏振光向左旋转的称左旋糖,以(-)号表示,向右旋转的称右旋糖,以(+)号表示。

图

最简单的单糖是丙糖,即甘油醛和二羟基丙酮,其结构式为:

公式 符号

单糖的构型

醛糖的构型

甘油醛含有一个手性碳原子C*,因此,有一对对映体,有旋光性。惯例规定右旋的甘油醛为D型,即其投影式中OH写在C*右边,左旋的甘油醛则为L型,其投影式中OH写在C*左边。单糖的空间构型(见分子的构型)由糖分子中离羰基端最远处的手性中心上OH在空间的位置与甘油醛相比较而确定。如果己糖中 C5上的羟基、戊糖 C4上的羟基与D-甘油醛相同,则为D型;与L-甘油醛相同,则为L型。其他单糖的构型依此类推。所以,D、L型是以甘油醛为标准的相对构型,其中D型如下所示:

公式 符号

糖分子中其他各碳原子上H和 OH在空间的不同排布,又构成各种单糖。以6个碳原子的醛糖为例,它有4个不相同的手性碳原子,因此有 24=16个立体异构体。通常,醛糖的构型都派生于D-甘油醛和L-甘油醛。例如,D-(+)-甘油醛能派生4种五碳醛糖和8种六碳醛糖(图1)。

图

相应的L型醛糖与D型醛糖互为对映体,这16种糖都是已知的,但只有D-(+)-葡萄糖、D-(+)-甘露糖、D-(+)-半乳糖、D-(+)-阿洛糖存在于自然界,其他都是人工合成的。

在五碳糖中,天然的有D-木糖和L-阿拉伯糖及D-核糖和2-脱氧-D-核糖。

酮糖的构型

二羟基丙酮HOCH2COCH2OH是最简单的酮糖,不含手性碳原子;D-赤藓酮糖含有一个手性碳原子。酮糖的构型均由D-赤藓酮糖派生。例如,D-赤藓酮糖能派生2种五碳酮糖和4种六碳酮糖(图2)。相应的L型酮糖与D型酮糖互为对映体。

图

半缩醛的结构

糖分子中既有羰基又有羟基,它们彼此相互作用,形成半缩醛或半缩酮。事实证明,己糖分子中的醛基与C5上的羟基作用,形成六元环的半缩醛(吡喃糖):

公式 符号

C1位羰基就成为手性碳原子,并形成一对非对映异构体,称为端基差向异构体(见差向异构化)。按照惯例规定,如果半缩醛碳原子上的羟基与决定单糖构型的C5上的羟基在同一侧的,称为α型;不在同一侧的,则称为β型。

单糖皆有变旋光现象,其原因是糖从一种结构(α型)通过醛型结构变为另一种结构(β型);或者相反地从β型结构变为α型结构。当二者浓度达到平衡时,旋光不再改变。

环状结构的己糖分子中的碳原子和氧原子不在同一平面上,因此,有船式和椅式两种构象(见分子的构象),且椅式构象比船式构象稳定。葡萄吡喃糖主要以比较稳定的椅式构象存在:

公式 符号

单糖的反应

在单糖由多羟基醛或多羟基酮组成,具有醇羟基和羰基的性质,能发生成酯、成醚、成缩醛等反应和羰基的加成反应,以及在分子内羰基和羟基相互影响而产生的一些特殊反应。

与酸作用

戊糖或己糖与强酸共热,脱水生成相应的糠醛或羟甲基糠醛:

公式 符号

它们均能以醛基与某些酚类作用,生成有色的缩合物。与α-萘酚反应生成紫色缩合物,利用这一反应来鉴定糖的存在,称莫利西试验。

间苯二酚和盐酸遇酮糖呈红色,遇醛糖呈很浅颜色,称西利万诺夫试验,利用这一特性可以鉴别酮糖和醛糖。

与碱作用

在弱碱作用下,葡萄糖、果糖和甘露糖三者可以通过烯醇式而相互转化;在酶的作用下,生物体内也能进行类似的转化:

公式 符号

单糖在强碱溶液中很不稳定,易分解成各种不同的物质。

糖的氧化和还原

单糖是α-羟基醛或酮,因此具有还原能力,很容易被某些氧化剂氧化成酸。常用的氧化剂是土伦试剂和费林试剂,前者是银盐的氨溶液,后者是酒石酸钾钠 〔NaOOCCH(OH)CH(OH)COOK〕的铜络离子的碱性溶液。这些试剂与单糖作用被还原后,即分别生成金属银和氧化亚铜。测定氧化亚铜的生成量即可确定溶液中糖的含量。

单糖分子中除羰基外羟基也能被氧化。在不同的氧化条件下,单糖可以被氧化成不同的产物。例如,D-葡萄糖可被硝酸氧化成葡萄糖二酸:

公式 符号

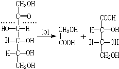
溴水等弱氧化剂对酮糖无作用,但在强氧化剂作用下,酮糖将在羰基处断裂,生成两个酸:

公式 符号

此外,如将糖分子中相邻碳原子上的羟基用高碘酸HIO4氧化发生断裂反应,也是研究多糖结构的最有用手段之一。

单糖中的羰基在催化氢化反应中或在钠汞齐和硼氢化钠等还原剂作用下可还原,醛糖变成糖醇:

公式 符号

成醚

糖与碘甲烷或其他甲基化试剂反应,形成甲醚(-OH转化为-OCH3),甲基化反应已用于低聚糖和多糖的结构测定中。

多糖的羟基可用CH3I完全甲基化,甲基化的多糖分子通过水解降解为甲基化单糖:

公式 符号

各种甲基化单糖很容易通过气相色谱来分离。甲基化单糖中羟基在分子中存在的位置,就是多糖中糖分子相互连接的位置。一个复杂的多糖的结构,能够通过甲基化反应分析它被水解后得到的单糖分子中甲基的位置加以确定。

生成糖苷

单糖的半缩醛羟基容易与醇或酚的羟基反应,失水后形成缩醛式衍生物,通称糖苷,非糖部分称配糖体,如果配糖体也是单糖,则缩合生成双糖。由于单糖有α和β型两种,生成的糖苷也有α和β两种型式。α-和β-甲基葡萄糖苷是最简单的糖苷,天然的糖苷多为β-型。许多植物色素和一些抗生素如链霉素、红霉素均为糖苷。

苷与糖的化学性质不同,苷是缩醛,而糖是半缩醛,半缩醛很容易变为醛式。因此,糖可有醛的多种反应,而苷需要水解后才能分解为糖和配糖体,所以苷比较稳定,不与苯肼发生反应,不易被氧化,也无变旋光现象。

生成糖脎

单糖的醛或酮基可与多种醛酮试剂反应,与羟胺、氨基脲、苯肼缩合成结晶状衍生物,其中最重要的是苯肼衍生物。一分子糖可与三分子苯肼反应,生成黄色难溶于水的结晶糖脎,并各有一定的熔点和晶形,是鉴别糖的重要反应:

公式 符号

脎的生成不仅可用来鉴定碳水化合物,而且更重要的是可用来确定它们的构型。C-2-差向异构化的D-(+)-葡萄糖和D-(+)-甘露糖生成同一种脎,但不影响分子中其余部分的构型。

参考书目
  1. D.Barton and W.D.Ollis, Comprehensive OrganicChemistry, Vol.5, Pergamon, Oxford, 1979.