[拼音]:jiaoti gongju
[外文]:alternating copolymerization
两种单体M1和M2以等分子进入共聚物, 并沿着高分子链呈交替排列的共聚合。这类共聚的特征是竞聚率r1=r2=0,这样,共聚合方程就可简化为
。因此不管原料单体的组成如何,在共聚物组成中M1单体所占的分子分数F1总是等于0.5,共聚物中两种单体单元严格地呈交替排列。交替共聚的实例见表1。
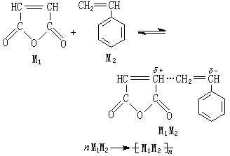
在进行交替共聚的单体中,有的均聚倾向很小或根本不均聚。例如具有吸电子基团的马来酸酐(顺丁烯二酸酐)就不均聚;但它能与具有给电子基团的单体(如苯乙烯或乙烯基醚等)进行交替共聚。又如马来酸酐与具有给电子取代基的1,2-二苯乙烯都不能明显地均聚;但它们却能交替共聚。所以交替效应实质上反映了单体之间的极性效应。例如苯乙烯和马来酸酐的交替共聚,是由于有给电子取代基的苯乙烯与有吸电子取代基的马来酸酐之间发生电荷转移而生成电荷转移络合物的结果:
取代基吸电子能力不够强的单体(如丙烯腈或甲基丙烯酸甲酯)与苯乙烯之间只能进行无规共聚;但是如果加入氯化锌,则它能与丙烯腈或甲基丙烯酸甲酯络合,使这两种单体的取代基的吸电子能力增强,它们都可以与苯乙烯形成 1:1的电荷转移络合物,并得到交替共聚物。
还有不少共聚体系的r1和r2都远小于1,r1r2之积也就很小,这些共聚体系也有较明显的交替共聚倾向。
表2中的单体是根据它们的极性因子 e值(见竞聚率)由小到大排列的,从表中的r1r2之积的值来看,一般是极性差别越大的单体,它们交替共聚的倾向也越大,但有时空间因素在决定交替共聚的倾向时也起作用。
在离子型共聚中,由于两种单体的极性差别不大,因此很少出现交替共聚倾向很大的情况。近年来发现某些亲电和亲核的环状单体能生成带有正、负电荷的两性离子,它们无需引发就可以进行交替共聚,例如唑啉和β-丙内酯在室温下不用引发剂就可以进行交替共聚:
但是这类交替共聚反应大多数不能生成分子量很大的聚合物,这可能是由于正、负电荷的距离越来越远的缘故。
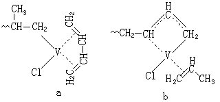
通过单体与催化剂的交替络合也可导致交替共聚,例如在VO(acac)2-Al(C2H5)2/TiCl4(acac代表乙酰丙酮基)的催化下,烯烃和双烯烃单体依次交替地与催化剂中的二价钒络合。当末端是烯烃单体(如丙烯)时,二价钒可以与双烯烃单体(如1,3-丁二烯)形成双齿形络合物(a);当末端是双烯烃时,形成的π-烯丙基末端与二价钒络合,使二价钒无法再与双烯烃单体络合成双齿形络合物,但可以与单烯烃络合形成单齿形络合物(b),因此在这种情况下丙烯和丁二烯可以聚合形成交替共聚物。
交替共聚能够合成共聚物组成和单体单元序列分布都非常均匀的产物,这种有规则的交替序列往往给共聚物带来一些特殊的性能,这也是人们为什么重视这类聚合反应的原因。另外,这类共聚反应只能合成两种单体为等摩尔比的共聚物,但其组成不能任意选择,这是这类共聚体系固有的弱点。
- 参考书目
- G.Odian,Principle of Polymerization,2nd ed.,John Wiley & Sons,New York,1981.