[拼音]:haishui relixue jiben guanxi
[外文]:basic thermodynamic relations of sea water
海水热力学特征量之间的相互关系。它是研究海水平衡热力学的基础。若把质量为 m的海水看作平衡的热力学系统,则此系统的热力学关系可通过一些基本的热力学函数(态函数)和热力学参数加以描述。
热力学函数包括内能、熵、焓、自由能和化学势等。
系统内部所具有的总能量,称为该系统的内能 (U)。在非绝热过程中,外界对系统作功(W),或者系统从外界吸收热量(Q),都会使系统的内能增加。内能的增量△U服从
△U=W+Q在准静态过程(过程的变化速度趋于0)中,压力(p)对可压缩流体所作的功与流体体积 (V)的改变量(dV)的关系为:W=-pdV。于是上式可改写为微分形式
dU=dQ-pdV以上各式描述了系统能量的转化和守恒的定律,即热力学第一定律。
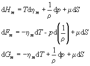
在一个任意可逆循环过程中,系统内的热量改变(dQ)与其热力学温度(T)的关系为
引入一个态函数η,即
其中η 称为熵;η0为熵的初值。在绝热过程中,系统内的热量不变,dQ=0,则η= η0。它表示在一个可逆循环过程中,系统的熵不变。这是熵的一个重要特性。但是在海水中,一切与热现象有关的实际宏观过程都是不可逆的。将上式写成微分的形式
所以Tdη =dU +pdV这就是热力学第二定律的微分方程式。
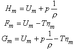
在研究热力学问题时,还引进一些与U,η,p,V,T相互有关的热力学函数,这些函数定义为
H=U +pV
F=U-Tη
G=U +pV-TηH、F和G分别称为焓、亥姆霍兹自由能和吉布斯自由能。
热力学问题通常是以研究单位质量的系统为对象的,为此引进一些比值,例如比内能
、比熵
等,于是,上述表达式分别改写为
其中ρ为海水的密度。比内能、比熵、比焓、比亥姆霍兹自由能和比吉布斯自由能等,都是热力学的基本函数。
海水是含有多种物质的水溶液。由于海水的盐分组成几乎为常数,可以把海水看作是比例一定的两种成分──纯水和盐分的混合物,故称海水为双组分的热力学平衡系统,并可近似地用盐度S代替含盐量。在双组分系统中,其内能的改变也和系统内的化学组成的变化有关。对于单位质量的双组分系统,这种关系的微分形式为
式中μ是描述系统化学特征的系数,是盐分和纯水在海水中的化学势之差,简称化学势。上式称为海水热力学的基本方程。相应的热力学关系式为
许多热力学问题都是根据基本方程和这些关系式展开的。
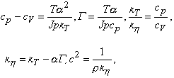
海水热力学参数定义列于表中(pa为海面大气压力)。
这些热力学参数除声速外都反映了海水热性质,并可根据实验资料估算出来。因为在海洋里测量温度、压力和盐度比较容易,所以选择它们作为独立变量。
声波在海水中传播的速度和海水的压缩率有关。由于水中压缩与稀疏的频率很大,热量来不及通过热传导和辐射耗散出去,所以声波在海水中的传播过程是绝热过程(见海洋声学)。由于声速可以准确地直接测量,因此常以声速的量来检验一些其他的热力学参数计算值的准确性。
根据热力学基本方程和热力学参数的定义,可以导出下列关系式
式中J=4.186×107尔格/卡,为热功当量。这些关系式反映了海水热力学特征量之间的相互关系。