[拼音]:jisuan liuti lixue
[外文]:computational fluid dynamics
计算数学与流体力学之间的一门边缘学科,它提供了在电子计算机上对流体力学进行数值模拟的手段。由于流体力学运动的复杂性,在模拟过程中在计算方法上遇到较多的困难,有必要进行专门研究,所以在计算数学中,计算流体力学逐渐形成了一个有相当独立性的分支。
非定常理想流体力学的方程和方法
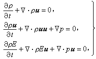
描写非定常理想流体或气体运动过程的动力学方程组为
(1)
式中ρ、p、u分别表示介质的密度、压力、速度;E是单位质量的总能量,等于内能e与动能
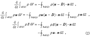
之和。方程(1)连同介质的状态方程p=p(ρ,e)组成封闭方程组,给出适当的初始条件和边界条件后就可以求解。方程(1)是建立在欧拉坐标系中的,它的解给出了在空间固定位置上诸力学量随时间的变化。在计算流体力学中通常将解方程(1)的各种方法称为欧拉方法,相应的差分格式称为欧拉格式。流体动力学方程还可以建立在拉格朗日坐标系中。即建立在随流体运动的坐标系中,以及任意活动的坐标系中,一般称解拉格朗日坐标系中的流体动力学方程的方法为拉格朗日方法。在任意活动的坐标系中,非定常理想流体动力学方程的积分形式为
式中Ω(t)为空间中任一活动的区域,дΩ(t)是其边界,D是дΩ(t)的速度,n是дΩ(t的外法线方向单位向量。
以解流体动力学方程为内容的计算流体力学是从20世纪40年代中期,伴随着电子计算机的出现,由于生产和科学研究的需要而发展起来的。第二次世界大战期间,为了研究冲击波在金属中传播的规律,J.冯·诺伊曼和R.D.里希特迈耶提出了第一个一维拉格朗日方法。1959年,C.К.戈杜诺夫利用间断分解的概念建立了一维的欧拉格式,成为后来的格利姆格式(又称随机选取法)的基础。由于一维流体运动中不同质团之间是有序的,即其上下、左右、前后的相对位置不会改变,因而跟踪质团的拉格朗日方法是很有效的,适合于解许多一维非定常流体力学问题。
二维流体力学的运动要比一维情况复杂得多。在二维流体运动中,质团之间不再具有象在一维流体运动中的有序的性质。这就给二维流体运动的计算造成了很多困难。
对二维流体力学计算方法的探索是在50年代中期从拉格朗日方法开始的,H.G.科尔斯基构造了第一个二维拉格朗日格式。然而在实践中发现拉格朗日方法固然有它的优点,例如局部图像可以算得比较精细,物质界面(包括自由面)容易处理,但是由于二维流体运动中可能出现严重的扭曲现象,因而容易造成网格翻转,使计算不能继续下去。不过对于一些扭曲不太严重的力学模型,特别是包含多种介质的模型,拉格朗日方法仍不失为一种基本的有效的方法。
为了使拉格朗日方法使用范围更广泛一些,避免网格翻转,可以对拉格朗日方法作一些处理,其中比较有效的是重分网格。方法是在计算了一个或若干个时间步长后将网格重新划分,把因扭曲而显得畸形的网格换成尽可能规整的新网格。其上的力学量根据旧网格上的力学量按照质量、动量、能量守恒的原则加以重新计算。当然这样的拉格朗日方法已经不再是原来意义上的跟踪流体质团的拉格朗日方法了。
欧拉方法没有网格翻转的问题,可以计算大的扰动。流体网格法(FLIC方法)就是一种典型的二维欧拉方法。但是当计算模型中包含有多种介质时,如果不加特殊处理,物质界面就会逐渐模糊,以致得不到正确的结果。自由面的计算也会碰到类似的问题。这里困难主要在于计算过程中必定会出现含有两种以上物质的混合网格,因而就提出了如何计算混合网格中的力学量,以及如何计算混合网格向周围网格的输运量的问题。
有一种办法是在欧拉网格上跟踪物质界面,随时定出界面的位置。这样在一个网格中哪一种物质占据哪一部分位置就很清楚了。以此为根据就可计算出混合网格中的力学量和通过它边界上的输运量。但在计算机上实现这种计算的程序是很复杂的。
质点网格法 (PIC方法)是在欧拉网格上计算包含多种介质的模型的一种方法。把网格中的介质用若干质点来表示,每个质点带有某种介质的质量。借助于质点在网格间的运动计算出网格上的力学参量与网格间的输运量。而不同介质的分界面通过打印质点分布图可以清楚地看出。但是在该方法中,网格间的输运是以质点为单位的,所以计算结果往往有些跳跃,另一方面,由于引进了质点,故需要较大的存贮量。为了克服上述缺点,随后出现的计算不可压缩流体运动的标志网格法(MAC方法)就用无质量的标志来代替质点。在GILA方法中则采用只在混合网格两侧两三个网格内安放标志的办法来降低对存贮量的要求。
拉格朗日方法和欧拉方法各有优缺点,也就是各有其适应的对象和范围,因此逐渐发展了一些欧拉与拉格朗日相结合的方法,利用质点或标志的方法实质上就是欧拉和拉格朗日相结合的方法。在二维流体力学的计算中,有取一个空间坐标为欧拉坐标,另一个为拉格朗日坐标的混合欧拉-拉格朗日方法;有将求解区域划分为若干子区域,在一些子区域上用欧拉方法,在另一些子区域上用拉格朗日方法的耦合欧拉-拉格朗日方法。解方程(2)的方法称为任意拉格朗日-欧拉方法(ALE方法)。在将方程组(2)离散化时,对每一个方程适当选择积分区域Ω(例如可以取作一个网格,或者由几个相邻网格派生出来的某个区域),然后近似求积分。实际上拉格朗日方法和欧拉方法都可以看成是这种方法的特例。当区域Ω的边界速度D等于流体速度u时,就得到拉格朗日格式;如果D取为零,就是欧拉方法;当D用其他规则给出时,就相当于在重分网格。
粘性
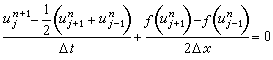
方程组(1)是拟线性双曲型方程组,它的初值问题的解,不论初值函数如何光滑,都可能在经过有限时间后出现间断。另一方面,即使初值函数是间断的,解也可能是连续的。拟线性双曲型方程组的解的这种特性反映了流体运动中冲击波形成与消失的过程。如果简单地把流体力学方程组进行有限差分离散化近似,由于差分算法不适应强间断,计算结果在冲击波后会出现剧烈的振动现象(图1
)。这样,在计算流体力学中就有一个如何计算间断解(冲击波)的问题。一般来说,有两种计算冲击波的方法。一种是击波装配法:将间断面看成是块块连续解的边界,在连续解的区域内用差分方法求解,而在间断面上给出兰金-许贡纽条件作为内边界条件。另一种是击波捕捉法:在建立差分格式时引入某些起粘性作用的项,将间断解光滑化。这种方法对于处理可压缩流体非定常运动中可能出现多个冲击波、接触间断和一系列波的相互作用的复杂图像是比较有效的。
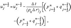
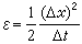
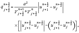
冯·诺伊曼和里希特迈耶在建立一维拉格朗日格式时,就将被称为人为粘性的量q引进拉格朗日坐标系中的一维流体力学方程组。他们实际上是在解方程组
式中R与r分别表示介质的欧拉与拉格朗日坐标;V为比容,等于密度的倒数;l与ρ0分别是具有长度和密度量纲的给定的量。相应的差分方程组为
式中
表示在点
处的V值,其他量类推;α为无量纲常数。当α=1、2~3时,利用这个差分格式计算所得的冲击波图像有3~4个网格的过渡区,冯·诺伊曼和里希特迈耶引进的人为粘性起到了光滑化原始解的冲击波间断的作用,但并不是在方程组中任意引进高阶导数项都能起到光滑化间断解的作用。例如,在能量守恒方程中引进热传导项,当冲击波比较弱时可以光滑化原始解的冲击波间断,但当冲击波相当强时,则起不了光滑化作用。
人为粘性还有不少其他的形式,如
(3)
式中μ,ⅹ∈[0,1]。当μ=0时,(3)是线性的;当μ=ⅹ=1时,(3)为冯·诺伊曼与里希特迈耶所提出的粘性。人为粘性也可以取成线性形式与非线性形式的组合等等。
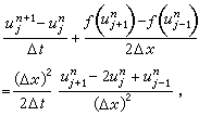
二维流体运动的扰动现象,主要不是由于压缩机制,而是由于剪切滑移机制所造成的。在二维计算中,引进标量型的人为粘性项,可以缓和压缩过程,但是对剪切滑移过程影响不大。所以在有的格式中,考虑缓和剪切滑移过程的作用,引进了形式相当复杂的人为粘性张量。但是也有一些计算流体力学方程的差分格式并未引进人为粘性。例如求解拟线性双曲型方程
的拉克斯格式
就没有引进人为粘性。可是如果将拉克斯格式改写成以下形式:
就看出拉克斯格式是逼近微分方程
的简单显式格式,式中
。这里,在差分格式中,隐含着某种相当于粘性作用的高阶导数项。这样的项称为格式粘性。戈杜诺夫格式、高阶精确度的拉克斯-温德罗夫格式都属于这一类型本身包含着格式粘性的差分格式。
格式的稳定性分析
流体力学方程组的差分格式是一组非线性的差分格式。关于它的稳定性通常是采用简单的在理论上并不严格的近似考察办法来讨论。例如,先把差分方程组线性化,把系数看作常数,然后用拉克斯-里希特迈耶关于常系数差分格式的稳定性理论来进行分析,把分析结果所得到稳定性条件中所包含的系数仍然恢复到原来非线性形式。但是在使用这些稳定性条件当作计算过程的判据时,需要增加一些安全因子,可以用试算的办法来估计其取值的范围。
另一种简单近似考察的办法是C.W.希尔特提出来的。首先把差分格式在某确定点上作泰勒级数近似展开,将高阶误差项略去,只留下最低阶的误差项,得到一个新的微分方程,称为差分格式的微分近似方程。如果差分格式与原微分方程是相容的,那么所得的新的微分近似方程比原方程只增加了一些含小参数的较高阶导数的附加项。由于差分格式也可以看作是和新的微分近似方程相容的,因而差分格式的微分近似方程问题的适定性,就应该是差分格式稳定的必要条件。这种检验是任何稳定的差分格式必然应该通过的一种判别,使用比较方便,是很有用的。
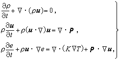
定常流
如果考虑的不是理想而是实际的带粘性并具有热传导性质的流体,则用来描述流体运动的是纳维-斯托克斯方程组
(4)
式中
这里
表示单位张量,(墷u)′为墷u的转置;K(ρ,e)为介质的热传导系数;λ(ρ,e)和 μ(ρ,e)为介质的粘性系数,它们满足关系
μ≥0;T是温度,它与内能e及密度ρ的关系由状态方程e=e(ρ,T)给出。当流体的运动与时间的变化无关时,就得到定常的纳维-斯托克斯方程组,即为方程组(4)左端第一项等于零的方程。定常的纳维-斯托克斯方程组在特殊情况下可以是椭圆型的、抛物型的或双曲型的,一般地说来,可以是退化的、混合型的,并且依赖于未知解的。偏微分方程组定解问题的提法因类型不同而有显著差别。定常的纳维-斯托克斯方程组的类型比较复杂,因而它的定解问题的提法也很复杂。
在许多特定场合,借助于偏微分方程类型的概念及问题的物理意义来分析研究解的数学性质以及定解问题的提法是有可能的。通常,对定常流问题是在对流场结构有清晰了解的基础上才进行数值近似求解。有时从物理的角度对问题作某种简化不仅能反映出物理问题的本质,而且使问题的数学性质更加清楚。例如为了研究某些简单物体表面(如平板)附近的粘性效应,在雷诺数充分大的假定下,可以导出称作普朗特方程组的附面层方程组。这类方程是抛物型的,对于它的各种定解问题有大量的理论研究和数值解法的研究。
忽略粘性和热传导的作用,定常的纳维-斯托克斯方程组就化为理想流体的欧拉方程组
这个一阶拟线性方程组,如果用马赫数
=|u|/с(с为声速)作为特征参数,则在
>1处(即超声速区)是双曲型的,在
<1处(即亚声速区)是椭圆型的,在
=1处(即声速区)是抛物型的,或是在此处方程组类型发生过渡。这里,方程组的类型依赖于流体速度u及声速с,因而事先是未知的。
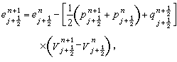
钝头体无粘超声绕流的流场结构正是这种混合椭圆双曲型的一个典型例子。当超声速气流绕过钝头物体时,产生一个脱体冲击波。气体在头部前缘受压缩而形成亚声速区,当气体侧向流动时逐渐加速,经声速线过渡到超声速区(图2
)。
在二维无旋流场上,如果引进速度势函数φ,理想流体的欧拉方程组就化为速度势方程
式中u=φx,υ=φy。这个二阶拟线性偏微分方程,当|u|>с时是双曲型的,当|u|<с时是椭圆型的,当|u|=с时是抛物型的。
如上所述,在定常流中,求解区域可能是由亚声速区、超声速区以及各种内、外边界所组成。外边界可以是固体表面、流入流出的界面、冲击波面、自由面等;内边界可以是冲击波面、稀疏波的边界、接触间断、滑移面、声速面等。在对流场有定性了解之后,就可在所有内外边界上给定相应的条件作为边界条件,而在光滑区内根据微分方程组的类型进行差分离散化近似。这样就避免了跨越间断线的差分,因而可以不降低差分格式的精确度。这种近似数值方法称为分离奇性法。这种方法可以用来计算间断的相交和波的反射,以及冲击波的形成过程。
除差分方法外,还有许多适合于解定常流问题的数值方法。例如特征线法、积分关系法、有限元方法等等。最初,特征线法被广泛地用来解二维双曲型方程组的初边值问题。它的优点是力学意义鲜明,并具有二阶精确度。但是在应用到三维定常流问题时,它遇到了几何上较大的困难,使其进一步发展受到了限制。
20世纪50年代初期,A.A.多罗德尼岑提出的积分关系法第一次成功地解决了当时被认为十分困难的钝头体超声速绕流中跨声速流场的计算问题。60年代积分关系法在空气动力学各种问题中得到了广泛的应用,成功地解决了一系列二维问题,例如回转体的亚声速及跨声速绕流,管道流及边界层问题等等。积分关系法是直线法的发展。它的基本思想是将难于求解的偏微分方程问题化为常微分方程问题解决。此外,还有其他途径(如直线法、级数法等)也能将偏微分方程化为常微分方程组求解。近来,有限元方法也被广泛地用来解流体力学问题。
定常流问题的解还可以看作是相应非定常问题在时间充分大时的渐近解。非定常问题定解条件的提法相对来说要简单得多。因此,用计算相应非定常问题渐近解的办法代替解定常问题,可以避免混合型定常方程组带来的处理困难,例如用二维非定常问题的计算方法来计算具有混合型流场的钝头体绕流是十分成功的。
数值求解中,在将方程组及边界条件离散化时,一般要求内点格式必须与边界格式相适应或相匹配。常有这样的情况,由于内、外边界条件的离散化不合适,计算结果出现振荡以致无法进行下去。此外,在使用高阶精确度格式或增加光滑化项时,会发生要求增加边界条件的情况。如何处理好这些问题,对计算的稳定性影响极大。