曲面

浏览

微分几何研究的主要对象之一。直观上,曲面是空间具有二个自由度的点的轨迹。设r=(xyz)表示三维欧氏空间E3中点的位置向量,D是二维uυ- 平面的一个区域,映射r(u,υ)=(x(u,υ),y(u,υ),z(u,υ))((u,υ)∈D) (1)的像为S。它满足下列条件:

(1)r(u,υ)是Ck阶的,即函数x(u,υ),y(u,υ),z(u,υ)具有直到k阶的连续偏导数,当它们是无穷次可微分函数或是(实)解析函数时,分别称为是C阶和Cω阶的;

(2)r(u,υ)是一个同胚,即它的逆映射S→D存在且连续;

(3)r(u,υ)是正则的,即雅可比矩阵

的秩为2,也即那么,S称为E3Ck曲面片, C曲面片也称为光滑曲面片,Cω曲面片称为解析曲面片。设慏为E3中的一个子集,如果对慏中任意点p,都有E3p的一个开集V,使得V∩慏是E3中的一个Ck曲面片,则慏 称为E3中的Ck曲面。

(1)式称为曲面的参数方程。此外,曲面有时也可用z=ƒ(xy)或F(xyz)=0来表示。

曲面的局部性质

指曲面在一点附近的几何性质。

曲面S上一条曲线,可用单变量t的函数u=u(t),υ=υ(t)来表示,即rr(u(t),υ(t))。特别地,曲线υ=常数(u=常数)称为Su-线(υ-线),它们彼此不相切,统称为S的参数曲线。曲面上全体参数曲线构成曲面的参数曲线网。地球上的经线和纬线构成地球表面的参数曲线网(南北极除外)。

Ck阶曲面S 的每点,都有一张切平面,它是由过该点的曲面上一切曲线在这点的切线所组成。设p0(u0,υ0)是S的一点,考虑过p0S上任意曲线Г:rr(u(t),υ(t)),使得u0=u(t0),υ0=υ(t0)。Г在p0的切线方向便由向量

确定,式中分别表示u-线和υ-线的切线方向。因此,只要(u0,υ0)就是Sp0的切平面的法线方向。通常取

作为S上参数为(u,υ)的点p处的单位法向量(图1)。

图

曲面的第一基本形式

在曲面上一点的附近,曲面与该点的切平面只有很小的差异,因此,曲面上曲线Г在一点的弧长微分ds可用Г在该点的切向量长度来计算,即

   (2)

式中 它们是曲面上点的函数。二次微分形式(2)称为曲面的第一基本形式,或线素。利用它,就可以计算曲面上一段曲线的长度、两相交曲线在交点所构成的角度及曲面上一块区域的面积。

曲面的第二基本形式

曲面在给定点p 的弯曲程度由曲面与 p点切平面的偏离程度决定。然而沿不同的切方向,曲面偏离切平面的方式可能有差异。因此,考虑p点的位置向量r沿某个给定切方向du:dυ作微小变动时的改变量Δr,那么,曲面与切平面在给定方向的偏离程度可用δ=n·Δr来描述。若在Δr的展开式中只取到二阶项,则等于

  (3)

式中(3)式称为曲面的第二基本形式。

p 由给定方向du:dυ和曲面法方向n惟一确定的平面W 叫做法截面,它与曲面S 的交线Г 叫做沿给定方向的法截线(图2

图

)。设曲线Г(作为空间曲线)在p的曲率为k,主法向量为N。那么,向量kN在曲面单位法向量n上的投影kN·n称为Sp 点沿给定方向du:dυ的法曲率,记作kn。利用(2)和(3)就可以计算沿给定方向du:dυ的法曲率kn=Ⅱ/Ⅰ。kn为正时,表示Г的凹向与S的法向量n一致;反之,kn为负时,表示两者相反。

在曲面的每点,一般存在两个互相垂直的切方向,使得它们对应的法曲率 k1k2是该点所有法曲率中的最大和最小值。这两个方向称为曲面在该点的主方向,而k1k2称为主曲率。L.欧拉定理表明:若给定方向与对应于k1的主方向作成 φ角,则曲面沿这给定方向的法曲率kn(φ)是:

   (4)

由(4),只要曲面在一点的主曲率已知,曲面在该点附近的大致形状就可确定。若k1k2同号,则kn(φ)的符号不变,这种点称为椭圆点。在椭圆点附近,曲面全部位于该点切平面的同侧。若k1k2异号,则kn(φ)要改变两次符号,这种点称为双曲点。在双曲点附近,曲面像马鞍形。若k1k2 中只有一个为零,这种点称为抛物点。当k1=k2=k时,(4)给出kn(φ)=k,即曲面在该点沿任何切方向都有相同的法曲率。这种点称为脐点,其中k≠0时称为圆点,k=0时称为平点。

在曲面的一点p,通过给定切方向的平面,除了法截面外,还有不经过曲面法线的其他平面Q(图2)。它与曲面的交线的曲率k,可由给定切方向的法曲率knQ与法截面的夹角θ所确定(默尼耶定理):k=|kn|/cosθ。若曲面上一条曲线每点的切方向总是曲面的主方向,则称它为曲率线。当选取弧长s作参数时,曲率线上点的向径r(s)与曲面在该点的单位法向量n(s)之间存在如下关系(罗德里格斯方程):

dn=-kdr,式中k(s)是该曲率线方向的主曲率。

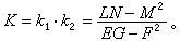
主曲率k1k2的算术平均值H称为曲面的平均曲率,又称中曲率。其算式是

平均曲率恒为0的曲面称为极小曲面

高斯曲率

两主曲率的乘积K 称为曲面的总曲率或高斯曲率,其算式是K反映了曲面的一般弯曲程度。事实上,考虑包含一点p 的一小片曲面∑,把∑上每点的单位法向量n平移到E3的原点O,那么n终点的轨迹是以O为中心的单位球面S2上的一块区域∑。这个对应称为高斯映射。∑的弯曲程度可用∑与∑的面积之比来刻画,曲面在p 的总曲率的绝对值正是这个比值当∑收缩成p时的极限。曲面通过高斯映射,在它的像集(嶅S2)上诱导一个度量

  (5)

式中(5)叫作曲面的第三基本形式,它与第一、第二基本形式之间存在如下关系:

曲面的内蕴性质和测地线

曲面上只与第一基本形式系数 EFG有关的几何性质称为曲面的内蕴性质。曲面的内蕴性质也可这样描述:把曲面设想为由可以弯曲但不能伸缩的材料制成,那么它的任何一部分在经受弯曲变形时,不改变其上任何线段的长度。曲面在这种无伸缩的弯曲变形下保持不变的性质就是内蕴性质。例如,在一张纸上,用直线段连接两个点,然后把纸弯卷起来,于是直线段变成了曲线段,但保持这样的性质:它仍是曲面上连接这两个已知点的最短曲线。这就是内蕴性质。相反,这条曲线的曲率却与纸的弯卷方式有关,因而不是内蕴的。曲面上曲线的内蕴弯曲程度,可以用“测地曲率”加以刻画。设Г是曲面S的一条曲线,那么Г 在一点p∈Г 的测地曲率的绝对值等于Г在p的曲面切平面上正投影像的曲率。测地曲率处处为零的曲线称为测地线,它在曲面上起着类似于直线在平面上的作用。

高斯“极妙定理”

曲面的主曲率在无伸缩弯曲变形下要发生变化,因而不是内蕴的。但是,主曲率的乘积即总曲率K却在这样的弯曲变形下保持不变,也即曲面的总曲率是内蕴的。这就是著名的高斯“极妙定理”。

曲面论基本定理

为了完全确定一片曲面的几何形状,六个函数EFGLMN要满足什么条件?这就导致以C.F.高斯和D.科达齐命名的一组二阶偏微分方程。P.-O.博内把这些总结成下面的曲面论基本定理:设D是uυ-平面的一个单连通区域,在D上给定两个二次微分形式(2)和(3),其中(2)正定。若它们的系数满足高斯-科达齐方程,则除了空间的位置差异外,惟一地存在一片曲面,它以(2)和(3)作为第一和第二基本形式。

曲面的整体性质

指曲面的大范围几何性质。设 S是三维欧氏空间的一个连通曲面。在S上任一点p选取一个法向量n,然后令点p在曲面上沿任意闭曲线移动一周(当S有边界时,限定p不能逾越边界)。若p 回到原处时n的正向不改变,则称S是可定向的曲面;否则就称不可定向的曲面。许多常见的曲面如球面、环面都是可定向的;但也有不可定向的曲面,最著名的就是麦比乌斯带,它是把一条矩形带扭转180度,再将头尾粘接而成(见闭曲面的分类)。

考虑可定向曲面S上一个区域D,它的边界嬠D(如果存在)由若干条逐段光滑的曲线组成。如同平面区域那样,用适当方式(如拓扑学中的三角剖分)把D分成许多多边形。用υ,eƒ分别表示总的顶点数、边数和面数(多边形个数),那么,数ⅹ(D)=υ-e+ƒ与具体分法无关。它是D的一个重要拓扑不变量,叫做D的欧拉示性数。对于S上的单连通区域D,ⅹ(D)=1。

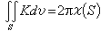
作为平面上多边形外角和公式的推广,在可定向曲面S上,对于区域D有下列高斯-博内公式:

     (6)

式中是边界嬠D上所有角点处的外角之和,是构成嬠D的曲线的测地曲率,K是曲面的总曲率。沿嬠D曲线积分时嬠D的正向规定如下:设n是确定S一个定向的法向量,当站在n的正方向,沿嬠D的正向走时,区域D时刻位于嬠D的左边。公式(6)把曲面的几何性质与拓扑性质联系起来了。当D是平面上单连通区域时,(6)就成为平面闭曲线的切线回转指标定理(见曲线)。如果S是紧致无边界的可定向曲面,则(6)成为

。 (7)

由于这类曲面可作完全的拓扑分类,公式(7)就显得格外重要。C.B.艾伦多弗、陈省身给出了高斯-博内公式在高维流形上的推广。

高斯-博内公式有许多重要应用,其中之一就是关于曲面上向量场奇点的庞加莱定理:设S是紧致无边界的可定向曲面。对于S上任何只有孤立奇点的向量场,它在所有奇点处的指标之和等于S的欧拉示性数。因为球面(以及与球面同胚的闭曲面)的欧拉示性数为2,所以球面上的向量场必有奇点。这一点可比喻如下:若把地球上各地的风速看成一个向量场,则任何时候地球上总有一个地方没有风。

与球面同胚的紧致闭曲面中,总曲率处处大于零的那些曲面称为卵形面。J.(-S.)阿达马指出,卵形面的高斯映射是一个微分同胚,因而卵形面微分同胚于球面。卵形面作为一个整体,在空间不能无伸缩地弯曲变形,这叫做卵形面的刚性(H.李卜曼、S.科恩-福森)。关于卵形面的刚性,还有所谓闵科夫斯基问题和克里斯托费尔问题的惟一性。

从整体来说,除了象球面那样的紧致曲面外,另一类重要曲面便是非紧致的完备曲面(如平面),即它作为二维度量空间,每个柯西点列都收敛。曲面的完备性可用下列任一性质来表征:

(1)曲面上每条测地线可以无限延长(包括构成封闭曲线);

(2)曲面上每个有界子集是相对紧致的。由此可见,紧致曲面必是完备的,反之不然。但如果完备曲面的总曲率处处不小于某个正常数,则它必是紧致的。这里总曲率的限制是本质性的,在相反的情况下,可得到绝然不同的结论:三维欧氏空间E3中不存在总曲率处处不大于某个负常数的C2阶完备曲面(叶菲莫夫),特别是E3中不存在负常曲率的C2阶完备曲面。

特殊曲面

特殊曲面是在实际应用中常常碰到的具有特殊几何性态的曲面。

旋转面

平面上一条曲线Г绕平面内某一固定直线l旋转而得的曲面称为旋转面,l称为旋转面的轴,Г 称为母线。圆柱面、圆锥面和球面是最简单的旋转面。若Г所在平面取作E3yz平面,l取作z轴,那么当Г 的参数方程为y=ƒ(υ),z=h(υ)时,Γl旋转生成的曲面方程是 r(u,υ)={ƒ(υ)cos uƒ(υ)sin uh(υ)}。旋转面上的u线称为纬线,υ线称为经线,它们都是旋转面的曲率线。当Г是一个与轴l不相交的圆周时,便得到像汽车轮胎那样的圆环面。

悬链面

yz平面上的悬链线:α=常数≠0)绕z轴旋转而成。它的重要性在于:它是E3中仅有的旋转极小曲面(见极小曲面)。

伪球面

总曲率为常数的曲面称为常曲率曲面。具有相同常曲率的两片曲面,可通过无伸缩的弯曲变形而彼此贴合。球面是正的常曲率曲面,负的常曲率曲面称为伪球面,它可由yz平面上的曳物线:y=α cos υ,z=α[ln(sec υ+tan υ)-sin υ](α=常数≠0),绕z轴旋转而成。由已知的负常曲率曲面,通过构造一个伪球线汇,可得到另一个相同负常曲率的曲面。这个过程叫做巴克伦德变换。因为非线性的正弦戈登方程的解与常负曲率-1的曲面存在一一对应关系,所以利用巴克伦德变换,便可从这种方程的已知解得到其他新的解。巴克伦德变换还被推广到其他许多非线性方程中去。

直纹面和可展曲面

由空间一族连续变动的直线(叫直母线)生成的曲面称为直纹面;沿每条直母线,其切平面彼此重合的直纹面称为可展曲面。设 Г:ra(u)是直纹面上与所有直母线相交的任意曲线,l(u)是过点a(u)的直母线上的非零向量,则直纹面的方程可写为r=a(u)+υl(u)。当Г缩成一点时,称为锥面;当l(u)为常向量时,称为柱面;当l(u)=a┡(u)时,称为Г的切线曲面。锥面、柱面和切线曲面是仅有的可展曲面,它们的一个特征是总曲率恒为零。

空间曲线的主法线或副法线所生成的直纹面分别称为主法线曲面或副法线曲面。圆柱螺线的主法线曲面是正螺面,它可看作x轴绕z轴作螺旋运动(一方面绕z轴旋转,另一方面又沿z轴移动与转角成正比的距离)所生成的曲面。正螺面是仅有的直纹极小曲面。

一般地,空间曲线Г绕z轴作螺旋运动而得的曲面称为一般螺面。当Г是xy平面的一条渐开线时,便得渐开线螺面。当Г是一条与z轴相交,且与xy平面作成定角的直线时,可得阿基米德螺面。这两种螺面在机械制造中十分有用,前者是普通斜齿轮的齿面,后者可作为某种蜗杆的齿面。

包络

包络是以某种方式与一族曲线(或曲面)相切的曲线(或曲面)。

铁轨上滚动的车轮在不同时刻的位置构成一个圆心在一条直线上的等半径圆族,而铁轨与这族圆相切,所以铁轨是这族圆的包络。一般地,设平面上有一单参数曲线族{Cλ}。若存在一条曲线Г,它在每点均与{Cλ}中惟一的一条曲线相切,则称Г为单参数曲线族{Cλ}的包络。

设单参数曲线族{Cλ}位于xy平面上,其方程为

Cλƒ(xy;λ)=0,

式中λ是参数。如果{Cλ}的包络曲线Г存在,则Г的方程是

显然,每条曲线是它自己的切线族的包络。

类似地,对于空间的曲面族,可考虑它们的包络面。设{Sλ}是一单参数曲面族,若存在曲面,使得在每点均与{Sλ}中惟一的一张曲面相切,则称是单参数曲面族{Sλ}的包络。设{Sλ}的方程是

SλF(xyz;λ)=0,

则{Sλ}的包络面方程是

F(xyz;λ)=0,

对于{Sλ}中两张邻近的曲面Sλ,它们的交线在 Δλ→0时的极限位置称为 Sλ的特征线。特征线族的包络(如果存在)称为曲面族{Sλ}的脊线,它的方程是

F(xyz;λ)=0,

每张曲面是它的切平面族的包络。一般说,曲面的切平面族是二个参数的平面族。但在可展曲面上,沿着每条直母线,其切平面彼此重合,因此,可展曲面(除平面外)的切平面族是单参数的。反之,一单参数平面族的包络面必是可展曲面。如果这可展曲面是某一曲线Γ的切线曲面,则Γ就是对应的单参数平面族的脊线。

包络理论在工程中有广泛应用。齿轮的啮合与传动是基于平面上渐开线族的包络理论;铣床上铣刀的型面设计和轧钢设备中轧棍的外形要求都是空间曲线族的包络理论的具体应用。

参考书目
  1. 苏步青等编:《微分几何》,高等教育出版社,北京,1979。
  2. 吴大任编:《微分几何讲义》,第4版,高等教育出版社,北京,1981。
  3. M.P.Do Carmo,Differential Geometry of Curves and Surface, Prentice-Hall,Englewood Cliffs, New Jersey,1976.

参考文章