[拼音]:tianti guangpu fenxi
[外文]:astronomical spectral analysis
应用光谱学的原理和实验方法确定天体的物质结构和化学成分的分析法(见恒星光谱)。天体光谱分析一般有两种:
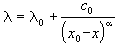
(1)定性分析 用来确定天体的化学成分。首先测定谱线的波长。在拍摄天体光谱后,挡住用来拍摄天体光谱的那部分狭缝,将已知谱线波长的光源投在狭缝的其他部分上,拍摄比较光谱(常是铁弧光谱)。用仪器(如比长仪)测量比较谱线的坐标x,然后确定它们的波长λ和x的关系式,对于棱镜摄谱仪拍摄的光谱有经验公式
。
式中α、λ0、c0和 x0是待定常数;α、λ0同摄谱仪有关;c0同所选择的光谱段有关;x0同谱线的坐标所取的零点有关;α通常取为0.5或0.6,有时也取为1。这关系式确定以后,便可根据这个经验公式从天体谱线的坐标x计算其波长λ。改正天体视向速度对波长的影响之后,将天体谱线波长和地球上已知元素的谱线波长作比较,或者应用按原子结构和光谱理论计算的谱线表,证认出产生天体谱线的元素。
(2)定量分析 每种元素的谱线强度,与它们在物质中的含量有关,所以通过对谱线强度的比较,可以确定物质中各元素的含量。对于天体,目前只能取到月球上的物质样品,在实验室中进行定量分析。至于恒星(包括太阳)光谱的定量分析,有两种方法:一是测定一些谱线的等值宽度,作出观测的生长曲线,与理论计算比较;二是根据某种谱线形成的机理,假设一些物理参数,计算出理论轮廓,再同观测轮廓比较。这两种方法不仅能得到形成该谱线元素的原子数,而且能得到恒星大气中的温度、湍流速度和压力等参数。