综合模型

浏览

统一描写原子核单粒子运动和集体运动的唯象理论。是A.玻尔和B.R.莫特森推广核壳层模型而成的核结构模型。其中直接引用原子核的形变和方位作为描写集体运动的动力学变量,单粒子运动的势场则同时依赖于单粒子变量和集体变量。

球形核的四极振动

当满壳层外的价核子不很多时,原子核仍然具有球对称的平衡形状,但可以围绕球对称形状作集体振动。这种情况主要出现在所谓过渡区(指60<A<150和190<A<220的区域)的原子核中。在综合模型中,假定原子核的体积不受形变的影响,则最重要的集体运动形式是四极振动,在最低级近似下可看作五维简谐振动,振动能公式为

其中n为振动量子数,啚为普朗克常数h除以2π,w为振动圆频率,其能级是等距离的,各能级所含的自旋I 和宇称π的值Iπ如图1所示,其中箭头旁的数值表示一定Iπ的初末态之间的电四极约化跃迁几率(相对值)。考虑到粒子-振动耦合等因素的影响,这种图像定性地与实验结果相符。图2给出这类振动谱的一个实例。

图1 图2 图3 变形核的转动

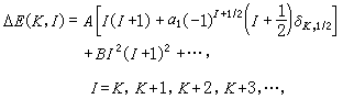
在变形区(主要是150<A<190及A n220的区域)奇A核具有很大的电四极矩,偶偶核能谱显示出与双原子分子能谱相似的转动带结构。在综合模型中认为,对于较低的激发态,集体运动的周期比核子穿行核范围的时间长得多,因而集体运动只是绝热地影响单粒子运动。单粒子运动及围绕平衡形状的振动都处在最低态时的转动带称为基带,其总角动量沿原子核本体坐标系的第三轴的投影的本征值K及宇称x均由单粒子运动决定。最低的激发带有两类不涉及单粒子态的激发,其中一类称为β振动带,相应于出现一个π=+1及ΔK=0的振动量子;另一类称为γ振动带,相应于出现一个π=+1及ΔK=2的振动量子。

对于偶偶核的基带和β振动带,π=+1,K=0,且有

Iπ=0+,2+,4+,6+,8+,…,

转动能可近似地表示为

ΔE(I)=A I(I+1)+B I2(I+1) 2+…,

其中第一项是主要项,AB是唯象参量。

对于偶偶核的γ振动带或奇A核的基带、β带或γ带,转动能的近似公式为

式中 δ为形变参量。转动能公式表明,偶偶核基态自旋宇称为0+,β、γ带的带头的自旋宇称分别为0+及2+,各转动带中能级的次序与自旋值次序相同。

用以上结果能够很好地解释变形核的基态性质和转动带的结构。图4中给出偶偶核低能转动谱的示例。其中Kπ=0+,2+的激发带即是β和γ带,负宇称带可能相应于核子对关联的结构的破坏。图5是K=1/2基带的示例。

图4 图5 转动惯量和对关联

实际分析表明,变形核低转动带的转动惯量总是小于相应的刚体转动惯量。在偶偶核基带中,转动惯量只有刚体值的而奇A核的转动惯量则略大于邻近偶偶核的转动惯量。这种现象以及偶偶核中的超导能隙的存在,都可以根据核子之间的对关联作出满意的解释(见核超导性和对关联)。

随着角动量I 的增高, 转动惯量的经验值明显地依赖于I 值, 并出现所谓回弯现象(见高自旋态),这是由于科里奥利力破坏对关联造成的。

电四极矩和电磁跃迁

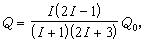
由综合模型导出的四极变形核的电四极矩公式

其中Q0是内禀电四极矩,可用沿本体坐标系第三轴的核半径с及沿第一轴的半径ɑ表示为

其中核形变δ和同体积的球形核半径R分别为

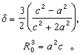
在同一个转动带内的电四极(E2)约化跃迁几率也可以用Q0来表示,例如由K=0带的0+态到2+态的约化跃迁几率为

由于Q0直接联系着核形变,因此可以说明大变形核的电四极矩以及电四极约化跃迁几率都比壳模型的理论值大得多。

利用 Q0的经验值可以求得核形变δ的值,结果表明,对于变形区原子核的低转动带,δ值在0.16~0.35的范围,故核平衡形状是长椭球。

在同一转动带内,综合模型预言跃迁几率的比值只同角动量有关,同实验可作定量比较。这种比较表明理论解释基本上是成功的。

至于不同转动带之间,综合模型不仅要求遵守Ix选择定则,还要求遵守K选择定则,则跃迁的角动量不能小于初末态K量子数之差 ΔK=|Ki-K f|。在某些重变形核中,K值很高的态可能有很长的寿命,这种态确实是存在的,例如180Hf的1.142MeV的8-态(K=8),178Hf的1.148MeV的8-态,190Os的1.706MeV的10-态都是这种例子。

用综合模型作较详细的分析时,需要变形核中单粒子态的知识。为此,要选取适当的单粒子势。采用包含自旋轨道项的变形谐振子势已获得了显著的成功。

参考书目
  1. A.Bohr and B.R. Mottelson, Nuclear Structure,Vol. 2,W.A. Benjamin, New York, Amsterdam, 1975.