[拼音]:Bo’er lilun
[外文]:Bohr theory
1913年丹麦物理学家N.玻尔结合M.普朗克的量子概念、A.爱因斯坦的光子概念和E.卢瑟福的原子模型而提出的原子结构理论。用它阐明了氢原子光谱和氢原子结构。
(1)原子中电子只能在符合一定条件的圆形轨道(稳定轨道)上运动,其条件是它的角动量L必须是h/2π的整数倍:
L=mvr=nh/2π (1)
式中m、v是电子的质量和速度;r是圆形轨道的半径;h是普朗克常数;n是量子数,为1、2、3、…。电子在稳定轨道上运动时不释放能量。
(2)原子内电子在不同轨道上运动有不同的能量──能级。电子轨道离核近的能级低,离核远的能级高。原子所处的稳定状态称为基态。
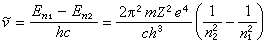
(3)电子从较高能级跃迁到较低能级时,以辐射方式释放能量。辐射波数与两能级之差有关:
寊=(E1-E2)/hc (2)
式中寊为波数;E1-E2为两能级之差;c为光速。
设原子核电荷为+Ze,则在定态时电子与核的静电引力Ze2/r2即是电子作匀速圆周运动时的向心力:
Ze2/r2=mv2/r
即
Ze2/2r=mv2/2 (3)
电子在离核r处的势能是-Ze2/r。电子在第n能级上的总能量是:
En=-Ze2/2r (4)
合并式(1)和式(3),得:
r=n2h4/(4π2mZe2) (5)
式(5)代入式(4),得:
En=-2π2mZ2e4/(n2h2) (6)
根据式(6)把式(2)改写为:
(7)
把m、e、c、h值代入2π2me4/(ch3), 得 109700厘米-1,与由实验测定的里德堡常数109737.3厘米-1相符。
对于氢原子(Z=1),将m、e、h、π等代入式(5),得:r=52.9n2pmn=1 第一能级的r=52.9pmn=2 第二能级的r=52.9×4pm………………………
将有关数值代入式(6),得:
En=-2.17×10-21/n2 (kJ)
此式表明:n大时,电子能量也大;n=∞时,则电子电离,电子能量增大为0,即基态氢原子的电离需2.17×10-21千焦能量,或1摩尔氢原子电离时需 2.17×10-21×6.02×1023=1311千焦/摩尔。此值与实验值 1312千焦/摩尔相近。
玻尔理论成功地解释了氢原子和类氢离子(如 Li2+、Be3+、…)的光谱频率和结构,但无法解释谱线的强度和偏振等现象。