[拼音]:ju zhengze xizong
[外文]:grand canonical ensemble
组成系综的系统与一温度为T、化学势为μ的很大的热源、粒子源相接触,此时系统不仅同热源有能量交换,而且可以同粒子源有粒子的交换,最后达到平衡,这种系综称巨正则系综。也可以这样设想:取M(M是一很大的数)个体积为V的相同的系统构成系综,其中任意一个系统均可作为所研究的系统, 其余M-1个系统起着恒温槽和粒子源的作用,系统间既有能量交换,又有粒子交流,并共同处于平衡,但各个系统在空间的位置不同,因而它们是可以分辨的。
巨正则系综的分布公式为
,
此式给出具有确定体积V、温度T、化学势μ 的系统处于粒子数为N,能量为E
的微观态j上的几率。式中Ξ 叫做巨配分函数,可表示为
,
其中包括两重求和,即先固定粒子数N,对系统所有可能的微观态求和,再对粒子数N从0到∞求和。
巨正则分布的经典表示式为
式中(p,q)代表(p1,p2,…,pf;q1,q2,…,qf),dpdq=dp1dp2…dqfdq1dq2…dqf,h是普朗克常数,f是系统的自由度,同粒子自由度s的关系是f=Ns,巨配分函数Ξ 为
=Ξ
-1exp[(-
+μ
)/kT],
式中
和
分别是系统的哈密顿算符和粒子数算符。而巨配分函数可表为
Ξ(T,V,μ)=tr{exp[(-
+μ
)/kT]},
tr表示矩阵对角元的和,也必须包括对算符
的本征值求和。
巨配分函数Ξ 是平衡态统计物理中一个非常重要的量,它不是算符,而是温度、体积和化学势的函数,其重要性在于它同系统的热力学量如能量、压强、粒子数平均值、熵、巨热力势等有直接的联系,只要求出Ξ ,就可得到系统所有的平衡态热力学量。在巨正则系综中,系统在某时刻的能量和粒子数同它们的平均值间存在着偏差,即涨落,其大小用相对涨落来量度。
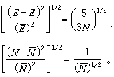
能量的相对涨落是
式中CV是系统的定容热容。
粒子数的相对涨落是
对于单原子分子理想气体,则有
可见,以单原子理想气体为例,结果说明能量和粒子数的相对涨落都同粒子数的平均值成反比。对于宏观系统,嚺≈1023,故这种相对涨落是完全可以忽略的。