模拟酶

浏览

用合成高分子来模拟酶的结构、特性、作用原理以及酶在生物体内的化学反应过程。酶是一类有催化活性的蛋白质,它具有催化效率高、专一性强、反应条件温和等特点。酶容易受到多种物理、化学因素的影响而失活,所以不能用酶广泛取代工业催化剂。研究模拟酶主要是为了解决酶的以上缺点。

模拟酶是20世纪60年代发展起来的一个新的研究领域,是仿生高分子的一个重要的内容。目前模拟酶的研究主要有以下几方面:

模拟酶的金属辅基

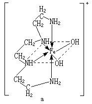
有一类复合酶,除蛋白质外,还有含金属的有机小分子物质或简单的金属,叫做辅酶或辅基。辅基在催化反应中起着重要的作用。有一些研究工作就是模拟酶分子中的金属辅基。例如,模拟过氧化氢酶分子中的铁卟啉辅基,合成了分解过氧化氢的酶模型──三亚乙基四胺与三价铁离子的络合物(见结构式a)。这个模型在pH9.5和25℃的条件下,其催化速率是血红蛋白或正铁血红素在同样条件下的一万倍。化学模拟生物固氮同样是模拟固氮酶的金属辅基。

公式 符号 模拟酶的活性功能基

酶分子中直接与酶催化反应有关的部分称活性中心,通常是由几个活性功能基组成。例如牛胰核糖核酸酶的催化中心是肽链序列中第12位和第119位的两个组氨酸。

C.G.奥弗贝格等根据胰凝乳蛋白酶的催化中心与丝氨酸的羟基、组氨酸的咪唑基和天冬氨酸的羧基有关的事实,用乙烯基苯酚与乙烯基咪唑进行共聚合,制得带有羟基和咪唑基的α-胰凝乳蛋白酶模型(b)。用这个模型聚合物作为3-乙酰氧基-N-三甲基碘化苯胺(c)水解的催化剂,当pH为9.1时,其活性比单一的乙烯基咪唑高63倍。

公式 符号 模拟酶的高分子作用方式

酶是一类由氨基酸组成,以多肽链为骨架的生物大分子。人们利用高分子化合物作为模型化合物的骨架,引入活性功能基来模拟酶的高分子作用方式。例如,用分子量为40000~60000的聚亚乙基亚胺作为模型化合物的骨架,引入10%摩尔的十二烷基和15%摩尔的咪唑基,合成一个硫酸酯酶模型:

公式 符号

用这个模型聚合物催化苯酚硫酸酯类化合物的水解,其活性比天然的Ⅱ型芳基硫酸酯酶高100倍。

模拟酶与底物的作用

酶分子具有一定的空间构型,它与被催化的底物的作用在构型上有较严格的匹配关系,体现了酶的专一性。为了模拟酶的结合功能,近年来人们合成了许多冠醚化合物来模拟酶。随着冠醚空穴尺寸的不同,其对底物的选择性也不一样。

模拟酶的性状

在水溶液中,酶形成巨大的分子缔合体(胶束),构成同一分子内的疏水和亲水微环境。模拟酶的这种微环境中的化学反应的特殊性质,也是模拟酶的一个重要方面。有人利用组氨酸的衍生物十四酰组氨酸与十六酰烷基-三甲基溴化铵组成两种分子的混合微胶束,来催化乙酸对硝基苯酯的水解,其速率比组氨酸增加了100倍。