[Æ´Òô]£ºfumei
[ÍâÎÄ]£ºcoenzyme
ijЩΪø´ß»¯»îÐÔËù±ØÐèµÄ£¬Óëøµ°°×ÊèËɽáºÏµÄС·Ö×ÓÁ¿µÄÓлúÎïÖÊ¡£
Ò»²¿·Öø³ýµ°°×Öʲ¿·ÖÍ⣬Éк¬ÓжÔËüÃǵŦÄÜÖ±½ÓÓйصÄһЩÎÞ»ú»òÓлú³É·Ö£¬ÕâЩ³É·Öͳ³ÆÎªÃ¸µÄ¸¨Òò×Ó£¬Èç¹ûȱÉÙÕâЩ³É·Ö£¬Ã¸¾ÍÏÔ²»³ö»îÐÔ¡£
¸¨Òò×Ó°üÀ¨½ðÊôÀë×ÓºÍһЩ·Ö×ÓÁ¿²»´óµÄÓлú»¯ºÏÎï¡£Ò»°ã³£¼ûµÄ½ðÊôÀë×ÓÓÐпÀë×Ó(Zn2+)¡¢Ã¾Àë×Ó(Mg2+)¡¢ÌúÀë×Ó(Fe2+)¡¢ÍÀë×Ó(Cu2+)µÈ£¬ÀýÈç´¼ÍÑÇâøº¬Ð¿¡¢¾«°±Ëáøº¬ÃÌ¡¢¶ø¶à·ÓÑõ»¯Ã¸Ôòº¬ÍµÈ¡£
Óëøµ°°×½ôÃܽáºÏµÄ¸¨Òò×Ó³ÆÎª¸¨»ù¡£Ã¸µÄ´¿µ°°×²¿·ÖÏà¶ÔÓÚ¸¨Òò×Ó¶øÑÔ£¬Ôò³ÆÎªÍѸ¨»ùøµ°°×»ò¼ò³ÆÃ¸µ°°×¡£ÎÞÂÛ¸¨Ã¸»òÍѸ¨»ùµ°°×ÔÚµ¥¶À´æÔÚʱ¶¼²»ÏÔʾø»îÁ¦¡£
Óв»ÉÙø¼Èº¬ÓнðÊô¸¨Òò×ÓÒ²º¬Óи¨Ã¸¡£Ðí¶à¸¨Ã¸ÊÇάÉúËØ»òάÉúËØµÄÑÜÉúÎï¡£
×÷Ϊ¸¨Ã¸µÄB×åάÉúËØ¼°ÆäÑÜÉúÎï
20ÊÀ¼Íǰ 50ÄêÔÚάÉúËØÑо¿ÖеÄÍ»³ö³É¾Í¾ÍÊÇ·ÖÀëºÍ¼ø¶¨ÁËÐí¶àάÉúËØ£¨ÌرðÊÇ B×åάÉúËØ£©²¢²ûÃ÷ÁËËüÃÇÔÚÈËÌåÄÚµÄ×÷Ó᣷¢ÏÖ²»ÉÙάÉúËØÀà (ÌØ±ðÊÇB×åάÉúËØ»òÆäÑÜÉúÎï)ÊÇÓлúÌåÖÐÒ»Ð©ÖØÒªÃ¸ÀàµÄ¸¨Ã¸£¬ËüÃǵÄÐèÒªÁ¿Ëä²»¶àµ«±ØÐë´ÓʳÎïÖÐÉãÈ¡¡£
Áò°·ËØ
¼´Î¬ÉúËØB1¡£ËüÔÚÉúÎïÌåÄڵĸ¨Ã¸ÐÎʽÊÇÁò°·Ëؽ¹Á×Ëá (TPP)£¨Í¼1£©¡£
Áò°·Ëؽ¹Á×Ëá¹ýÈ¥Ò²³ÆÎª¸¨ôÈø¡£ËüÔÚ¶¯ÎïÌÇ´úлÖÐÆð×ÅÖØÒª×÷Óã¬ÀýÈç±ûͪËáÔÚÍÑôÈ×÷ÓÃʱÐèÒªËü¡£ÔÚTPPȱÉÙµÄÇé¿öÏ£¬´úлÖмäÎï±ûͪËá²»ÄÜ˳ÀûÍÑôÈ»á»ý¾ÛÓÚѪҺºÍ×éÖ¯Öжø³öÏÖÉñ¾Ñ×Ö¢×´¡£TPP »¹ÊÇÆäËûøÀýÈç ¦Á-ͪËáÑõ»¯Ã¸¡¢×ªÍª´¼Ã¸µÄ¸¨Ã¸¡£TPP´ß»¯µÄø·´Ó¦»¹ÐèÒªÓÐþÀë×ӵĴæÔÚ¡£
ÑÌõ£°·
ÊÇһϵÁÐøÀàµÄ¸¨Ã¸µÄǰÌå¡£
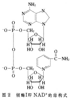
ºÜÔç¾ÍÖªµÀÑÌõ£°·¿ÉÒÔ·ÀÖ¹²ÚƤ²¡¡£1904ÄêÒÑÖª¾Æ¾«·¢½Íʱ²»ÄÜȱÉÙÒ»Öֽи¨Ã¸¢ñµÄÎïÖÊ£¬1933ÄêÕâÖÖ¸¨Ã¸¢ñ±»·ÖÀë³öÀ´¡£1934ÄêµÂ¹úÉú»¯Ñ§¼ÒO.Íß¶û±¤ÓÖ·ÖÀë³öÒ»¸öÓ븨ø¢ñÏà½üËÆµÄÎïÖÊ£¬³ÆÎª¸¨Ã¸¢ò£¬²¢Ö¤ÊµÁËÑÌõ£°·ÊÇÕâÁ½ÖÖ¸¨Ã¸µÄ×é³É²¿·Ö£¬ÏÖÔÚÒѾŪÇå³þ¸¨Ã¸¢ñµÄ»¯Ñ§×é³ÉÊÇÑÌõ£°·ÏÙàÑßʶþºËÜÕËá (NAD+)£¨Í¼2£©£¬¸¨Ã¸¢òµÄ»¯Ñ§×é³ÉΪÑÌõ£°·ÏÙàÑßʶþºËÜÕËáÁ×Ëá(NAD+)¡£
ÒÔNAD+ºÍNADP+Ϊ¸¨Ã¸µÄø£¬³ÆÎªßÁऺËÜÕËᣨ»òÑÌõ£°·ºËÜÕËᣩÁ¬½ÓµÄÍÑÇâø¡£ÕâЩø´ß»¯Ï¸°ûÄÚµÄÑõ»¯»¹Ô·´Ó¦¡£Ò»°ã˵À´£¬ÓëNAD+ÏàÁ¬µÄÍÑÇâøÀàͨ³£ÓëºôÎü¹ý³ÌÓйأ¬¶øÓëNADP+ÏàÁ¬µÄÔòÓëÉúÎïºÏ³É·´Ó¦Óйء£
ºË»ÆËØ
¼´Î¬ÉúËØB2¡£²ÎÓë×é³ÉÁ½ÖÖ¸¨Ã¸£¬ÊÇϸ°ûÄÚµÄÑõ»¯»¹ÔϵͳµÄÖ÷Òª³É·Ö£¬ËüÃÇÊÇ»ÆËص¥ºËÜÕËá(FMN)ºÍ»ÆËØÏÙàÑßʶþºËÜÕËá(FAD)¡£
FMNºÍFADÊÇһϵÁлÆËØÁ¬½ÓµÄÑõ»¯»¹Ôø»ò³ÆÎª»ÆËص°°×ÀàµÄ¸¨Ã¸£¬´ÓËüÃÇÓëøµ°°×½áºÏ½ôÃܵij̶ÈÀ´Ëµ£¬Ò²¿ÉÈÏΪÊǸ¨»ù¡£ÕâЩøÖÐÓеijýÁËFMN»òFADÍ⣬»¹ÐèҪһЩ½ðÊô¸¨ÖúÒò×Ó£¬ÈçÌú»òîâÀë×ӵȡ£Òò´ËËüÃDZ»³ÆÎª½ðÊô»ÆËص°°×¡£ÕâЩø´ß»¯Ò»ÏµÁпÉÄæ»ò²»¿ÉÄæµÄϸ°ûÖеÄÑõ»¯»¹Ô·´Ó¦¡£
ßÁ¶ßÈ©¼°ÆäÑÜÉúÎï
ßÁ¶ßÈ©¡¢ßÁ¶ß°·ºÍßÁ¶ß´¼×ܳÆÎªÎ¬ÉúËØB6£¨Í¼3£©¡£Î¬ÉúËØB6²ÎÓëÐγÉÁ½ÖÖ¸¨Ã¸£¬¼´ßÁ¶ßÈ©Á×ËáºÍßÁ¶ß°·Á×Ëá¡£
ÐèÒªßÁ¶ßÈ©Á×Ëá»òßÁ¶ß°·Á×Ëá×÷Ϊ¸¨Ã¸µÄøÔÚ°±»ùËá´úлÖÐÌØ±ðÖØÒª£¬´ß»¯×ª°±¡¢ÍÑôÈÒÔ¼°ÏûÐý×÷Óõȡ£
ÉúÎïËØ
×÷ΪһЩøµÄ¸¨»ù¶øÆð¸¨Òò×Ó×÷Óá£ËüÒÔ¹²¼Û¼üµÄÐÎʽͨ¹ýõ£°·¼üºÍÍѸ¨»ùøµ°°×µÄÒ»¸öרһÀµ°±õ£²Ð»ùµÄ¦Å- °±»ùÏàÁ¬¡£¦Å-N-ÉúÎïËØõ£-L-Àµ°±Ëá³ÆÎªÉúÎï°ûËØ(biocytin) (ͼ4)¡£
ÐèÒªÉúÎïËØµÄøÀàÄÜ´ß»¯¶þÑõ»¯Ì¼µÄ²ÎÈë (ôÈ»¯×÷ÓÃ)»ò×ªÒÆ£¬Òò¶øÉúÎïËØºÍ¶þÑõ»¯Ì¼µÄ¹Ì¶¨ÃÜÇÐÏà¹Ø¡£ÔÚôÈ»¯×÷ÓÃʱ»¹ÐèÒªÏÙÜÕÈýÁ×Ëá(ATP)ºÍþÀë×ӵĴæÔÚ£¬´ËÍâÉúÎïËØÔÚµ°°×ÖÊÉúÎïºÏ³ÉÖÐÒÔ¼°×ª°±»ù×÷ÓÃÖÐÒ²Æð×ÅÖØÒª×÷Óá£
·ºËá
×î³õ×÷Ϊ½ÍĸµÄÉú³¤Òò×Ó±»·ÖÀë³öÀ´¡£ÓÉÓÚÔÚÉúÎïÖй㷺´æÔÚ£¬Òò¶ø±»³ÆÎª·ºËá¡£·ºËáµÄ¸¨Ã¸ÐÎʽÊǸ¨Ã¸A£¨CoA»òCoASH£©£¬ÊÇø´ÙÒÒõ£»¯×÷Óõĸ¨ÖúÒò×Ó£¨Í¼5£©£¬ÔÚÉúÎïѧÉϵÄÖØÒªÐÔÊÇ×÷Ϊõ£»ùµÄÔØÌå»ò¹©Ì壬ÔÚ´úлÉÏÓÈÆäÊÇÖ¬·¾ËáµÄ´úлÉÏÉõÎªÖØÒª¡£
Ò¶Ëá
ÓÉÓÚ×îÔçÊÇ´Ó²¤²ËÒ¶Öб»·ÖÀë³öÀ´£¬¹ÊÃû¡£
Ò¶ËáµÄ¸¨Ã¸ÐÎʽÊÇËÄÇâÒ¶Ëá(ͼ6)£¬Ëü×÷Ϊø´Ù×ªÒÆÒ»Ì¼»ùÍÅ£¨Èç¼×õ£»ùµÈ£©µÄÖмäÔØÌå¶øÔÚàÑßÊÀࡢ˿°±Ëá¡¢¸Ê°±ËáºÍ¼×»ù»ùÍŵÄÉúÎïºÏ³ÉÖÐÆð×÷ÓᣴËÍ⣬ҶËáÔں˵°°×µÄÉúÎïºÏ³ÉÉÏÒ²ÊDz»¿ÉȱÉٵġ£
άÉúËØ12
ÔÚ20Äê´úÒѾ·¢ÏÖ¸ø²¡È˳Զ¯ÎïµÄ¸ÎÄÜÖÎÁƶñÐÔÆ¶Ñª£¬ËµÃ÷¸ÎÖÐÓÐÒ»ÖÖÒò×Ó¶Ô¶ñÐÔÆ¶ÑªÓÐЧ¡£ÏÖÔÚάÉúËØB12ÒѾ±»·ÖÀëÌá´¿²¢ÇҽṹҲÒÑŪÇ塣άÉúËØB12µÄ½á¹¹ÖÐÓÐÒ»¸ö¹¾ßø(corrin)»·ÏµÍ³£¬²¢ÇÒº¬ÓÐîÜÀë×Ó¼°Çè»ù(CN)£¬¹ÊÓÖ³ÆÇèîܰ·ËØ¡£´¿¾»µÄάÉúËØB12ÈÜÒº³ÊºìÉ«£¬ÕâÒ²ÊÇÒ»°ãîÜ»¯ºÏÎïµÄÌØÕ÷¡£×÷Ϊ¸¨Ã¸Ê±£¬Î¬ÉúËØB12ÖеÄCN±»5£§-ÍÑÑõÏÙÜÕ»ùÍÅËù´úÌæ£¬³ÆÎª¸¨Ã¸B12¡£ÕâÊÇÒ»¸ö²»Îȶ¨µÄ»¯ºÏÎµ±ÓÐÇ軯Îï´æÔÚ»ò±©Â¶ÓÚ¹âÕÕϼ´×ª±äΪάÉúËØB12¡£ÈçÒÔ5£§-ÍÑÑõÏÙÜÕ»ù´úÌæÊ½ÖеĺÚÌå-CN»ù£¬¾ÍÊǸ¨Ã¸B12µÄ½á¹¹Ê½¡£
¸¨Ã¸12
ÔÚ¼¸ÖÖÖØÒªµÄ´úл·´Ó¦ÖÐÆð×÷Óá£ÔÚ¶þôÈËáµÄÒì¹¹×÷ÓÃÖУ¬ÀýÈçÔڹȰ±Ëáת»¯Îª¼×»ùÌ춬°±ËáµÄø´Ù·´Ó¦ÖУ¬ÔÚÒÒ¶þ´¼ºÍ¸ÊÓÍת»¯ÎªÈ©À࣬ÉúÎïºÏ³É¼×»ù»ùÍÅÒÔ¼°ºËÜյĺϳÉÖÐÐèÒª¸¨Ã¸B12£¨Í¼7£©¡£
ÆäËûÖØÒª¸¨Ã¸
³ýÁË B×åάÉúËØ³ÉÔ±×é³ÉÁ˴󲿷ÖÖØÒªµÄ¸¨Ã¸ÒÔÍ⣬ÔÚÉúÎﻯѧÉÏÖØÒªµÄ»¹Óи¨Ã¸Q¡¢¹Èë×ÜÕëÄ¡¢ÄòÜÕ¶þÁ×ËáÆÏÌÇ(UDPG)¡¢Î¬ÉúËØK×åµÈ¡£
¸¨Ã¸Q(CoQ)
¸¨Ã¸ QÊÇÉúÎïÌåÄÚ¹ãΪ·Ö²¼µÄÒ»Ààõ«ÀàÎïÖÊ£¬ÓÖ³ÆÎª·ºõ«¡£´æÔÚÓÚÏßÁ£ÌåÄÚĤÖУ¬ÊÇÉúÎïÑõ»¯ºôÎüÁ´ÖеÄÒ»¸ö²»¿ÉȱÉÙµÄÇâµÝÌ壬¾ßÓÐÖØÒªµÄÉúÀíÒâÒå¡£¸¨Ã¸ Q²àÁ´µÄÒìÎì¶þÏ©µ¥Î»µÄ³¤¶È¶ÔÓÚ²»Í¬µÄÉúÎïÖÖ¿ÉÒÔÊDz»Í¬µÄ¡£
¹Èë׸ÊëÄ(Glutathion)
¹Èë׸ÊëÄÊÇÒ»¸öС·Ö×ÓÁ¿µÄ°ûÄÚÈýëÄ£¬¼´¦Ã-L-¹È°±õ£-L-°ëë×°±õ£¸Ê°±Ëá¡£ÔÚ´ó¶àÊýÉúÎïϸ°ûÖУ¬¹Èë׸ÊëĵÄÖ÷Òª×÷ÓÃÊDZ£»¤Ò»Ð©µ°°×ÖʵÄÛÏ»ùÒÔά³ÖËüÃÇÔÚ»¹Ô״̬¡£¹Èë׸ÊëÄ»¹ÔÚÉúÎïÌåÄÚ²úÉúµÄ¹ýÑõ»¯Ç⻹ÔÉÏÆðÒ»¶¨×÷Ó㬵«ÕâЩ¶¼²»ÊǸ¨Ã¸µÄ×÷Ó᣹Èë׸ÊëÄÒ²×÷ΪһЩøµÄ¸¨Ã¸¶øÆð×÷Óã¬ÀýÈçËüÊÇÒÒ¶þȩø(Glyoxalase)¼°Ë³¶¡Ï©¶þËáµ¥õ£ÒÒõ£ÒÒËáÒ칹ø(Maleoylacetoacetate isomerase) µÄ¸¨Ã¸¡£¹Èë׸ÊëÄÒ²ÊÇÌåÄÚ¼×È©Ñõ»¯³É¼×Ëá·´Ó¦µÄ¸¨Ã¸¡£
ÄòÜÕ¶þÁ×ËáÆÏÌÇ (UDPG)
ÊǺËÜÕ¶þÁ×ËáÌÇÀàµÄÒ»ÖÖ£¬×÷Ϊ¸¨Ã¸Ö÷ÒªÊÇÔÚÌÇÀàºÏ³ÉÖÐÆð×÷Óá£ÆäËû¿É×÷Ϊ¸¨Ã¸µÄºËÜÕ¶þÁ×ËáÌÇÀàÓÐÄòÜÕ¶þÁ×Ëá°ëÈéÌÇ£¨UDPGal£©¡¢ÄòÜÕ¶þÁ×Ëá¸Ê¶ÌÇ£¨UDPMan£©µÈ£¬ËûÃÇÔÚÌÇÀàºÏ³É´úлÖÐÊǷdz£ÖØÒªµÄ¡£ÀýÈç UDPG ×÷Ϊ°ëÈéÌÇ-4- ±íÒ칹ø(Galactose-4-epimerase)µÄ¸¨Ã¸£¬ÔÚD-°ëÈéÌǵĴúлÖÐÆð×÷Óãº
D-°ëÈéÌÇ-1-Á×Ëá+UDPG
UDPGal+D-ÆÏÌÑÌÇ-1-Á×Ëá
άÉúËØK×å
άÉúËØK×åÖеÄijЩ³ÉÔ±¿ÉÄÜÔÚÉúÎïÌåÄÚÆðijЩ¸¨Ã¸×÷Óá£Èç×÷Ϊ¸¨Ã¸ÔڹȰ±Ëá²Ð»ùµÄôÈ»¯×÷ÓÃÖеŦÄÜÒÑ»ñµÃһЩÏßË÷¡£
ÁíÍ⣬¼×»ùÝÁõ«ÀࣨMenaquinone£¬¼´Î¬ÉúËØK2ÀࣩºÜ¿ÉÄÜÊÇijЩϸ¾úÖÐʹ¶þÇâÈéÇåËáת±äΪÈéÇåËá·´Ó¦µÄøµÄ¸¨Ã¸¡£