反应动力学

研究化学反应速率以及各种因素对化学反应速率影响的学科。传统上属于物理化学的范围,但为了满足工程实践的需要,化学反应工程在其发展过程中,在这方面也进行了大量的研究工作。绝大多数化学反应并不是按化学计量式(见化学计量学)一步完成的,而是由多个具有一定程序的基元反应(一种或几种反应组分经过一步直接转化为其他反应组分的反应,或称简单反应)所构成。反应进行的这种实际历程称反应机理

一般说来,化学家着重研究的是反应机理,并力图根据基元反应速率的理论计算来预测整个反应的动力学规律。化学反应工程工作者则主要通过实验测定,来确定反应物系中各组分浓度和温度与反应速率之间的关系,以满足反应过程开发和反应器设计的需要。

反应速率

反应速率ri为反应物系中单位时间、单位反应区内某一组分i的反应量,可表示为:

公式 符号

反应区体积可以采用反应物系体积、催化剂质量或相界面面积等,视需要而定。同一反应物系中,不同组分的反应速率之间存在一定的比例关系,服从化学计量学的规律。例如对于反应:

公式 符号       (1)

有     公式 符号       (2)

对于反应物,反应速率ri前用负号;对于反应产物,ri前用正号。

反应速率方程

反应速率方程表示反应温度和反应物系中各组分的浓度与反应速率之间的定量关系,即:

公式 符号         (3)

式中C为反应物的浓度向量;T为反应温度(绝对温度)。大量实验表明,温度和浓度通常是独立地影响反应速率的,故式(3)可改写为:

公式 符号       (4)

式(4)中fT(T)即反应速率常数k,表示温度对反应速率的影响。对多数反应,k服从阿伦尼乌斯关系(即1889年瑞典人S.阿伦尼乌斯创立的反应动力学方程):

公式 符号          (5)

式中A为频率因子,或称指前因子;E为反应活化能;R为摩尔气体常数。频率因子为与单位时间、单位体积内反应物分子碰撞次数有关的参数;反应活化能表示发生反应必须克服的能峰,活化能高则反应难于进行,活化能低,则易于进行。频率因子和活化能两者共同决定一定温度、浓度条件下的反应速率。

式(4)中fC(C)表示浓度对反应速率的影响,通常可表示成幂函数形式或双曲线形式。对反应 (1)幂函数型的反应速率方程可写成:

公式 符号         (6)

式中n1n2分别为反应组分A和B的反应级数;n1+n2为反应的总级数,或简称反应级数。

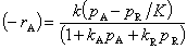
双曲线型方程常用于气固相催化反应动力学的研究。例如反应A匑R是由组分A的分子吸附、表面反应和组分R的分子脱附等步骤组成,当表面反应为控制步骤时,其速率方程式可写作:

公式 符号       (7)

式中pApR分别为组分A和R的分压;k为包括吸附平衡常数在内的速率常数;kAkR分别为组分A和R的吸附平衡常数;K化学平衡常数。

应用动力学

着重研究工业反应器操作范围内反应速率和反应条件之间的定量关系。为此,发展了一系列动力学实验研究方法。

工业反应过程的特点是在化学反应的同时伴随着各种传递过程(见反应器传递过程)。在应用动力学研究中,传递过程的影响难以完全排除;或为应用方便,而有意识地模拟工业反应过程的传递条件,于是将传递过程的影响归并到反应动力学中去,从而得到一定传递过程条件下的表观动力学规律。与此对应,排除传递过程影响而得的反映化学反应本身规律的反应动力学称本征动力学。

动力学模型

按化学反应的不同特点和不同的应用要求,常用的动力学模型有:

(1)基元反应模型 根据对反应体系的了解,拟定若干个基元反应,以描述一个复杂反应(由若干个基元反应组成的反应)。按照拟定的机理写出反应速率方程,然后通过实验来检验拟定的动力学模型,估计模型参数。这样得到的动力学模型称为基元反应模型。合成氨的链反应机理动力学模型即为一例。

(2)分子反应模型 根据有关反应系统的化学知识,假定若干分子反应,写出其化学计量方程式。所假设的反应必须足以反映反应系统的主要特征。然后按标准形式(幂函数型或双曲线型)写出每个反应的速率方程。再根据等温(或不等温)动力学实验的数据,估计模型参数。这种方法已被成功地用于某些比较复杂的反应过程,例如乙烷、丙烷等烃类裂解。

(3)经验模型 从实用角度出发,不涉及反应机理,以较简单的数学方程式对实验数据进行拟合,通常用幂函数式表示。

对于有成千上万种组分参加的复杂反应过程(如石油炼制中的催化裂化),建立描述每种组分在反应过程中的变化的分子反应模型是不可能的。近年来发展了集总动力学方法,将反应系统中的所有组分归并成数目有限的集总组分,然后建立集总组分的动力学模型。集总动力学模型已成功地用于催化裂化、催化重整加氢裂化等石油炼制过程。

参考文章