[拼音]:chazhi
[外文]:interpolation
在离散数据的基础上补插出连续函数。是计算数学中最基本和常用的手段,是函数逼近的重要方法。利用它可通过函数在有限个点处的取值状况,估算该函数在别处的值。早在公元 6世纪,中国刘焯已将等距二次插值法用于天文计算。17世纪,I.牛顿和J.格雷果里建立了等距结点上的一般插值公式。18世纪,J.-L.拉格朗日给出了更一般的非等距结点上的插值公式。在近代,插值法是观测数据处理和函数制表所常用的工具,又是导出其他许多数值方法(例如数值积分、非线性方程求根、微分方程数值解等)的依据。
插值问题的提法是:假定已知区间[α,b]上的实值函数 ƒ(x)在该区间中n+1个互不相同的点x0,x1,…,xn处的值是ƒ(x0),ƒ(x1),…,ƒ(xn),要求估算ƒ(x)在[α,b]中某点x=塣处的值。插值的作法是:在事先选定的一个由简单函数所构成的含n+1个参数 C0,C1,…,Cn的函数类φ(C0,C1,…,Cn)中求出满足条件
(1)
的函数p(x),并以p(塣)作为 ƒ(塣)的估值。此处,函数ƒ(x)称为被插函数;x0,x1,…,xn称为插值结点;φ(C0,C1,…,Cn) 称为插值函数类;式(1)称为插值条件。φ(C0,C1,…,Cn)中满足插值条件(1)的函数p(x)称为插值函数。误差函数
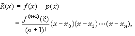
称为插值余项,它标志着插值的精度。此外,当估值点塣属于包含结点 x0,x1,…,xn的最小闭区间时,称相应的插值为内插,否则称为外插。
多项式插值插值函数类取成代数多项式类的情形,是最常用的一种插值。此时对[α,b]上的任何实值函数ƒ(x)都相应地有惟一的次数不超过 n多项式p(x) 满足插值条件(1)。p(x)称为ƒ(x)的插值多项式。当ƒ(x)在[α,b]上n+1次可微时,插值余项为
式中ζ是在包含x,x0,x1,…,xn的最小闭区间中的某一点。
下面两种插值公式是p(x)的具体表达式:
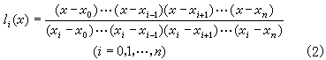
(1)拉格朗日插值公式
式中
称为拉格朗日插值公式的基函数。它们具有性质
特别当n=1时,插值多项式简化为
其几何图像为通过点(x0,ƒ(x0))和(x1,ƒ(x1))的直线,因此被称为线性插值公式。类似的理由,当n=2时相应的插值公式称为抛物线插值公式。
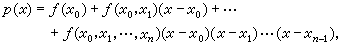
(2)牛顿插值公式
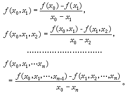
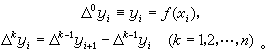
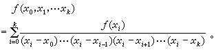
式中ƒ(x0,x1,…,xk)为函数ƒ(x)在点x0, x1,…,xk上的 k阶差商(或均差)。各阶差商由下列递推方式定义:
k阶差商与函数ƒ(x)在结点上的值之间有下列关系:
拉格朗日插值公式和牛顿插值公式是同一插值多项式p(x)的不同表现形式。前者结构紧凑、意义清晰和便于理论分析;后者在实际计算时较为方便:若要增加新的插值结点,只需相应地添加新的项即可。
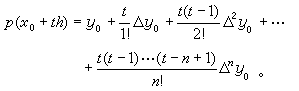
对于等距的插值结点,即当
时,经过变数替换x=x0+th,上述牛顿插值公式转化为牛顿向前插值公式
此处Δk表示步长为h的k阶差分算子,其定义是:
埃尔米特插值
插值条件带微商的插值,其插值条件为
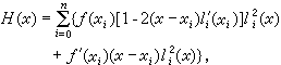
在所有次数不超过2n+1的多项式中,满足上述插值条件的多项式是存在和惟一的,并可表为
(3)
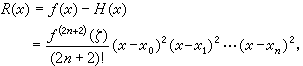
式中li(x)由(2)式定义。H(x)称为函数ƒ(x)的埃尔米特插值多项式。当ƒ(x)在[α,b]上2n+2次可微时,插值余项为
式中ζ是在包含x,x0,x1,…,xn 最小闭区间中的某一点。由于埃尔米特插值多项式在结点处不但与被插函数取值相同而且变化率也相同,因此它通常比拉格朗日插值多项式能更好地近似被插函数。(3)是一种最基本、 最重要的埃尔米特插值多项式。此外,在插值结点上,作为插值条件,还可以给出逐次高阶微商值,并且在每个结点上的插值条件个数可以是互不相同的。
古典的有限项泰勒展开式也可看作是埃尔米特插值多项式,其所有的插值条件都加在一个点上。反之,也可将埃尔米特插值多项式看作是多中心泰勒展开式。
分段插值在实用中很少采用高次多项式插值(例如7、8次以上的多项式插值),因为在被插函数不够光滑或插值结点选择不当时,高次插值多项式常常在被插函数附近激烈地摆动,不能逼近被插函数;再者,高次插值多项式常常将插值条件的数据中含有的误差过分地放大和扩散。因此,在实用中,往往是先将全区间分成许多小区间,然后在每个小区间上,采用低次插值(例如一次、二次或三次插值)。通常称这样的方法为分段插值法。如将小区间的端点取为插值结点,则相邻区间的两插值多项式在公共结点处将取相同的值,即两段多项式曲线在公共结点处衔接。实践表明,用分段的低次插值多项式逼近被插函数往往比在全区间上用高次插值多项式逼近效果好。
样条插值一种非局部性的分段插值。在每个分段点处相邻插值曲线段的衔接具有一定的光滑度。最常用的一种是三次多项式样条插值:给定结点x0<x1<…<xn和想应的函数值ƒ(x0),ƒ(x1),…,ƒ(xn),取内结点x1,x2,…,xn-1作为分段点,寻求一个插值函数S(x),它在每个小区间[xi-1,xi](i=1,2,…,n)上分别都是三次多项式,在结点处满足插值条件
并在每个分段点处满足直到二阶微商的连续性条件
这里共有4n-2个条件,而分段三次多项式S(x)在每个小区间上各含有4个系数,共计4n个待定系数。因此,在端点x0和xn处各给定一个边界条件之后,插值问题可惟一定解。更一般地,若插值函数S(x)为分段k次多项式,在诸结点上取给定值并且在各分段点处有直到 k-1阶的连续微商,则S(x)称为k次多项式样条插值。
三角插值插值函数类为三角多项式类的情形。当被插函数ƒ(x)是以 2π为周期的函数时,通常用n阶三角多项式
作为插值函数类。对于任取的2n+1个不同的实数x0,x1,…,x2n,只要它们两两之差都不是2π的整数倍,则满足插值条件
的阶数不超过 n的三角插值多项式T(x)是存在而且惟一的。同拉格朗日插值公式的结构相似,T(x)可通过如下的高斯三角插值公式表出:
有理插值
插值函数类取成有理函数类的情形。当被插函数具有极点或其他奇点时,用有理插值往往很有效。假定已知被插函数ƒ(x)在m+n+1个互不相同的点xn,x1,…,xm+n处的值为ƒ(x0),ƒ(x1),…,ƒ(xm+n)。有理插值就是求一个形如
的有理分式函数,使其满足插值条件
并以 Rm,n(x)作为 ƒ(x)的近似。若Rm,n(x)的分子和分母有公因式,则可以把它们约掉,将所得的既约分式和原来的分式看作同一分式。满足上述插值条件的有理分式Rm,n(x)有时可能不存在,但在很多情况下这种插值有理分式是存在而且惟一的,其系数αi和bi可通过解由插值条件导出的线性方程组
加以确定。
一元插值法的多元推广。其插值函数类可取为多元多项式,多元三角函数,多元样条,多元有理分式等。