转动惯量

浏览

刚体绕轴转动惯性的量度。它首先是由C.惠更斯在研究复摆(见物理摆)运动时引入,尔后由L.欧拉命名的。物体转动惯性的特性是由更为普遍的惯量张量描述的,转动惯量只是惯量张量的一个分量。

刚体平动时的动量和动能只同刚体的质量和速度有关,而刚体转动时的角动量和转动能不仅同刚体的质量和角速度有关,还同质量对转动轴的分布有关,即同转动惯量有关。因此,转动惯量不像质量那样是刚体的内在性质,而是取决于刚体的质量对转动轴的分布状况。

I1来表示刚体对轴l的转动惯量(图1),则I1定义为:刚体中任一质点P的质量mi同该质点到轴l的距离si1的二次方的乘积之和,即

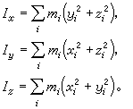
式中mi是刚体中任一质点P的质量;si1是质点P到轴l的距离。取直角坐标系O xyz,刚体对三个坐标轴的转动惯量分别为

式中xiyizi是质点P的坐标。转动惯量总是正值。

图1 图2 平行轴定理

刚体对空间任意轴l的转动惯量I 1,等于刚体对过质心C并且平行于该轴的轴的l┡的转动惯量IC,加上刚体的质量m乘以此两轴(图2)间距离s的二次方,即

I1IC+ms2

利用平行轴定理可以简化转动惯量的计算。平行轴定理表明:在刚体对所有互相平行的轴的转动惯量中,以通过质心的轴的转动惯量为最小。如以通过刚体质心的轴为中心轴线作一圆柱面,则刚体对此柱面的任一母线的转动惯量相等。

平行轴定理又称为惠更斯定理。

回转半径

转动惯量I1可用整个刚体的质量m 同某一特征长度ρ1的二次方的乘积来表示,即

式中ρ1称为该刚体对轴l的回转半径。它表示如果把刚体的质量集中到一点,但保持刚体对轴 l的转动惯量不变,则该点到轴l的距离等于回转半径。

转动惯量的量纲为L2M,在SI单位制中,它的单位为kg·m2

这里定义的转动惯量虽然是以经典力学为基础,但转动惯量的概念在原子、分子和中子的微观量子力学领域中也是成立的。