[Æ´Òô]£ºdashul©ë
[ÍâÎÄ]£ºlaws of large number
¸ÅÂÊÂÛÖÐÌÖÂÛËæ»ú±äÁ¿ÐòÁеÄËãÊõƽ¾ùÖµÏò³£ÊýÊÕÁ²µÄ¶¨ÂÉ¡£ÊǸÅÂÊÂÛÓëÊýÀíͳ¼ÆÑ§µÄ»ù±¾¶¨ÂÉÖ®Ò»¡£
ÒÔÖØ¸´Í¶ÖÀһöӲ±ÒµÄËæ»úÊÔÑéΪÀý£¬¼Çn´ÎͶ±ÒÊÔÑéÖгöÏÖÕýÃæµÄ´ÎÊýΪvn¡£¶ÔÓÚ²»Í¬µÄn´ÎÊÔÑ飬vn¿ÉÄܲ»Í¬£¬µ«µ±nÔ½À´Ô½´óʱ£¬³öÏÖÕýÃæµÄƵÂÊ vn/n ½«´óÌåÉÏÖð½¥½Ó½üÓÚ 1/2¡£ÓÖÈç³ÆÄ³Ò»ÎïÌåµÄÖØÁ¿£¬¼ÙÈçºâÆ÷²»´æÔÚϵͳƫ²î£¬ÓÉÓÚºâÆ÷µÄ¾«¶ÈµÈ¸÷ÖÖÒòËØµÄÓ°Ï죬¶ÔͬһÎïÌåÖØ¸´³ÆÁ¿¶à´Î£¬¿ÉÄܵõ½¶à¸ö²»Í¬µÄÖØÁ¿ÊýÖµX1£¬X2£¬¡£¬Xn¡£µ«ÈôÈ¡ËüÃǵÄËãÊõƽ¾ùÖµ
£¬ÔòËænµÄÔö´ó£¬Ò»°ãÀ´Ëµ
Ò²½«Öð½¥½Ó½üÓÚÎïÌåµÄÕæÊµÖØÁ¿¡£
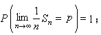
ÀúÊ·ÉÏ£¬ÑŸ÷²¼µÚÒ»¡¤²®Å¬Àû(1652¡«1705)ÔÚ¡¶ÍƲâÊõ¡·(1713Äê³ö°æ)ÖÐÊ×ÏÈ´ÓÊýѧÉÏÂÛÊöÁËÕâÒ»ÏÖÏó¡£ËûÖ¤Ã÷ÁË:ÈôvnÊÇn´Î¶ÀÁ¢Öظ´ÊÔÑéÖÐʼþA³öÏֵĴÎÊý£¬ pÊÇʼþAµÄ¸ÅÂÊ£¬Ôò¶ÔÈÎÒ»¦Å>0£¬ÓÐ
£¬¼´
ÒÀ¸ÅÂÊÊÕÁ²ÓÚp¡£ÕâÒ»½áÂÛ±íÃ÷£¬¶ÔÈÎÒâСµÄÕýÊý¦Å£¬Ö»Òªn³ä·Ö´ó£¬ÆµÂÊ
Óë¸ÅÂÊ p·¢Éú´óÓÚ¦ÅµÄÆ«ÀëµÄ¿ÉÄÜÐԾͺÜС£¬¼´´ó¶àÊýÊÔÑéֻʹ
Óëp·¢Éú½ÏСµÄÆ«Àë¡£ÕâÊÇÀúÊ·ÉϵÚÒ»¸öÑϸñ˵Ã÷ƵÂÊÎȶ¨ÐԵ͍ÂÉ£¬³ÆÎª²®Å¬Àû´óÊýÂÉ¡£´óÊýÂÉÕâ¸öÃû³ÆÊÇS.-D.²´ËÉÓÚ 1837Äê¸ø³öµÄ¡£´óÊýÂɱíÃ÷£¬¶ÔÍ¬Ò»Ëæ»ú±äÁ¿XµÄn´Î¶ÀÁ¢¹Û²ìÖµX1£¬X2£¬¡£¬XnµÄƽ¾ù£¬½«ËænµÄÔö´ó¶øÊÕÁ²ÓÚËüµÄÊýѧÆÚÍûEX¡£ÔÚÊýÀíͳ¼ÆÖУ¬¾ÍÒÀ¾ÝÕâÒ»µã¶øÈ¡¶à´ÎÖØ¸´¹Û²âµÄËãÊõƽ¾ù×÷ΪEXµÄ½Ï¾«È·µÄ¹À¼Æ¡£Ìرð¿ÉÒÔÀûÓÃÆµÂʵÄÎȶ¨ÐÔÀ´¶ÔʼþµÄ¸ÅÂʺÍËæ»ú±äÁ¿µÄ·Ö²¼½øÐйÀ¼Æ£¬»¹¿ÉÒÔÀûÓÃÑù±¾¾ØÏò×ÜÌ徨µÄÊÕÁ²£¬È¡Ñù±¾¾Ø×÷Ϊ×ÜÌ徨µÄ½üËÆ¶ø»ñµÃ²ÎÊý¹À¼ÆµÄ¾Ø·½·¨£¨¼ûµã¹À¼Æ£©¡£
ÓÉÓÚËæ»ú±äÁ¿ÐòÁÐ
Ïò³£ÊýµÄÊÕÁ²¿ÉÒÔÓжàÖÖ²»Í¬µÄ·½Ê½£¬°´ÆäÊÕÁ²ÎªÒÀ¸ÅÂÊÊÕÁ²¡¢ÒÔ¸ÅÂÊ1ÊÕÁ²»ò¾ù·½ÊÕÁ²£¨¼û¸ÅÂÊÂÛÖеÄÊÕÁ²£©£¬·Ö±ðÓÐÈõ´óÊýÂÉ¡¢Ç¿´óÊýÂÉ»ò¾ù·½´óÊýÂÉ¡£Èõ´óÊýÂÉÓÖͨ³ÆÎª´óÊýÂÉ¡£¸ù¾ÝËæ»ú±äÁ¿ÐòÁи÷ÖÖÊÕÁ²Ö®¼äµÄ¹ØÏµ£¬ÓÉÇ¿´óÊýÂÉ»ò¾ù·½´óÊýÂÉ¿ÉÒÔÍÆ³öÈõ´óÊýÂÉ¡£
´óÊýÂÉÖÐ×îÖØÒªµÄÒ»ÀàÊÇÌÖÂÛ¶ÀÁ¢ÊÔÑéÐòÁе쬳£¼ûµÄ³ýÁ˲®Å¬Àû´óÊýÂÉÍ⣬»¹ÓÐÏÂÁÐÖøÃûµÄ´óÊýÂÉ£º
ÐÁÇÕ´óÊýÂÉ(1929) Èô{Xn}Ϊ¶ÀÁ¢Í¬·Ö²¼Ëæ»ú±äÁ¿ÐòÁУ¬EXn=μ´æÔÚÓÐÏÞ£¬Ôò¶ÔÈκΦÅ>0£¬ÓÐ
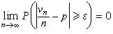
²¨À³¶ûÇ¿´óÊýÂÉ(1909) ÉèvnÊÇn´Î¶ÀÁ¢Öظ´ÊÔÑéÖÐijʼþA³öÏֵĴÎÊý£¬P(A)=p£¬ÔòÒÔ¸ÅÂÊ1³ÉÁ¢
¡£(F.-É.-J.-) É.²¨À³¶û×î³õÖ»Ö¤Ã÷ÁË
µÄÇéÐΣ¬ÒÔºó²ÅÖ¤Ã÷Á˶ÔÒ»°ãµÄpÒ²ÓÐͬÑùµÄ½á¹û¡£
¿Â¶ûΏçÂå·òÇ¿´óÊýÂÉ¡¡Èô{Xn}Ϊ¶ÀÁ¢Í¬·Ö²¼Ëæ»ú±äÁ¿ÐòÁУ¬EXn´æÔÚ£¬ÔòÒÔ¸ÅÂÊ1³ÉÁ¢
¡£
´óÊýÂÉÖÐÉæ¼°µ½µÄËæ»ú±äÁ¿ÐòÁÐ{Xn}Ò²¿ÉÒÔ²»ÊÇÏ໥¶ÀÁ¢µÄ¡£Ìرð¶ÔÓÚÆ½ÎÈÐòÁУ¬‰^¿É¿´ÎªÐòÁа´Ê±¼äµÄƽ¾ù£¬¶ø EXn=μÊÇͬһʱ¿Ì²»Í¬Ñù±¾µÄͳ¼ÆÆ½¾ù¡£Õâʱ£¬
¡úμ±íÃ÷{Xn}ËæÊ±¼äµÄÔö³¤±éÀúÁËËüµÄ¸÷ÖÖ¿ÉÄÜ״̬£¬Òò¶øÊ¹¡°Ê±¼äƽ¾ù¡±Ïò¡°Í³¼ÆÆ½¾ù¡±ÊÕÁ²¡£ÕâÓÖ³ÆÎªÆ½ÎÈÐòÁеıéÀúÐÔ£¬ËüÒ²ÊÇÒ»ÖÖ´óÊýÂÉ¡£ÔÚÆ½Îȹý³ÌÀíÂÛÖУ¬¦¡.§Á.ÐÁÇÕºÍG.D.²®¿Ë»ô·ò·Ö±ð½¨Á¢ÁË
Ïòμ¾ù·½ÊÕÁ²ºÍÒÔ¸ÅÂÊ1ÊÕÁ²µÄ±éÀú¶¨Àí¡£
²»½öÓÐËãÊõƽ¾ùÏò³£ÊýÊÕÁ²µÄ´óÊýÂÉ£¬¸üÒ»°ãµØ£¬¶ÔËæ»ú±äÁ¿ÐòÁÐ{Xn}£¬¼Ç
£¬Èô´æÔÚ³£ÊýÐòÁÐ{αn}¼°Ç÷ÓÚÎÞÇîµÄ{bn}£¬µ±n¡ú
ʱʹ
ÒÀ¸ÅÂÊ»òÒÔ¸ÅÂÊ1ÊÕÁ²ÓÚÁ㣬Ôò·Ö±ð³Æ{Yn}ÊÇÒÀ¸ÅÂÊÎȶ¨»òÒÔ¸ÅÂÊ 1Îȶ¨µÄ¡£ÕâÊÇ´óÊýÂɵÄÒ»ÖÖÍÆ¹ãÐÎʽ¡£ÓÉÓÚYnÒÀ¸ÅÂÊÊÕÁ²ÓÚÁãÓëYnµÄ·Ö²¼Ïò¼¯ÖÐÓÚÁãµÄÍË»¯·Ö²¼ÈõÊÕÁ²Êǵȼ۵ģ¬Òò´ËÈõ´óÊýÂɾÍÊÇÌÖÂÛYnµÄ·Ö²¼ÏòÍË»¯·Ö²¼ÈõÊÕÁ²µÄ¼«ÏÞ¶¨Àí£¨¼ûÖÐÐļ«ÏÞ¶¨Àí£©£¬¿É×÷ΪÆÕ±é¼«ÏÞ¶¨ÀíµÄÌØÀýÀ´´¦Àí¡£
ÈôËæ»ú±äÁ¿µÄÊýѧÆÚÍû¡¢·½²î·Ö±ðΪEX¼°varX£¬Ôò¶ÔÈκÎα>0£¬³ÉÁ¢
¡£ÕâÒ»²»µÈʽÊÇÖ¤Ã÷Èõ´óÊýÂɵÄÖØÒª¹¤¾ß¡£ËüÔÚI.£J.±È°²ÄÚ÷1853ÄêµÄÂÛÎÄÖÐÒÑÓÐÀàËÆµÄ±íÊö£¬µ«Ö±µ½1867Äê²ÅÓÉ¡Ç.§.ÇбÈÑ©·òÃ÷È·ÐðÊöºÍÂÛÖ¤¡£Ëü¶ÔËæ»ú±äÁ¿µÄ·Ö²¼²¢ÎÞÌØÊâÒªÇ󣬽öÀûÓÃXµÄ·½²îÀ´¶ÔXµÄȡֵÓëEX·¢Éú½Ï´óÆ«ÀëµÄ¸ÅÂÊ×÷³ö¹À¼Æ£¬Òò¶øÓнϹ㷺µÄÊÊÓÃÐÔ¡£Ëü»¹ÓÐÖÖÖÖÍÆ¹ãÐÎʽ¡£Èô XÎªÒ»Ëæ»ú±äÁ¿£¬ƒ£¨x£©ÎªÒ»·Ç¸º·Ç½µº¯Êý£¬Ôò
£¬ÆäÖÐEƒ£¨X£©±íʾƒ£¨X£©µÄÊýѧÆÚÍû¡£Ìر𵱠ƒ(x)£½x룬x¡Ý0£¬λ>0£¬ÔòÓÐ
¡£ºóÕßÓÖ³ÆÎªÂí¶û¿É·ò²»µÈʽ¡£
Éè£ûXk£¬1¡Ük¡Ün£ýÊÇÏ໥¶ÀÁ¢µÄËæ»ú±äÁ¿£¬ËüÃǵÄÊýѧÆÚÍû¡¢·½²î·Ö±ðΪ EXk£½0£¬
£¬ÓÖ
£¬Ôò¶ÔÈκÎα>0£¬³ÉÁ¢ÏÂÁв»µÈʽ£º
ÈôXk»¹ÊÇÓнçµÄ£¬¼´|Xk|¡ÜcÒÔ¸ÅÂÊ1³ÉÁ¢£¬Ôò»¹ÓÐ
ÕâÁ½¸ö²»µÈʽÊÇÓɦ¡.¦§.¿Â¶ûΏçÂå·òÔÚ1928Ä꽨Á¢µÄ£¬ËüÊÇÖ¤Ã÷Ç¿´óÊýÂɵÄÖØÒª¹¤¾ß¡£´ËÍ⣬ÀûÓÃǰÕß¿ÉÒÔÍÆ³ö£¬¶Ô¶ÀÁ¢µÄËæ»ú±äÁ¿ÐòÁÐ{Xn}£¬ÈôÆä·½²î¼¶Êý
£¬ÔòËæ»ú±äÁ¿¼¶Êý
ÒÔ¸ÅÂÊ1ÊÕÁ²;ÀûÓúóÕß¿ÉÒÔÍÆ³ö£¬ÈôÓнç¶ÀÁ¢Ëæ»ú±äÁ¿ÐòÁеļ¶Êý
ÒÔ¸ÅÂÊ1ÊÕÁ²£¬ÔòÆä·½²î¼¶Êý
ºÍ¾ùÖµ¼¶Êý
¶¼ÊÇÊÕÁ²µÄ¡£
ÕâÒ»²»µÈʽҲÓи÷ÖÖ²»Í¬ÐÎʽµÄÍÆ¹ã¡£ÀýÈçÏÂ÷±µÄ¼«Öµ²»µÈʽ:Éè{Yn}ΪһÀëɢʱ¼äÏÂ÷±£¨¼û÷±£©£¬α>0£¬ÔòÓÐ
´ËÍ⣬Èô{Xk£¬1¡Ük¡Ün}ΪÏ໥¶ÀÁ¢µÄËæ»ú±äÁ¿£¬
£»ÔÚ²»ÒªÇóXk´æÔÚÊýѧÆÚÍûÓë·½²îµÄÇéÐΣ¬ÈÔ³ÉÁ¢ÈçϵÄÀ³Î¬²»µÈʽ£º
ʽÖÐm(Sk-Sn)±íÊ¾Ëæ»ú±äÁ¿Sk-SnµÄÖÐλÊý£¨¼û¸ÅÂÊ·Ö²¼£©¡£ÕâЩ²»µÈʽÔÚÖ¤Ã÷Ëæ»ú±äÁ¿ÐòÁÐÒÔ¸ÅÂÊ 1ÊÕÁ²Ê±£¬¶¼ÓÐÖØÒªµÄÓ¦Óá£
²¨À³¶û-¿²Ì©ÀûÒýÀíºÍ0-1ÂÉÉè{An£¬n¡Ý1}ΪһʼþÐòÁУ¬ÔòÓÉ
¿ÉÒÔÍÆ³ö{An}ÖÐÓÐÎÞÇî¸öͬʱ·¢ÉúµÄ¸ÅÂÊΪ0¡£ÕâÒ»½áÂÛ³ÆÎª²¨À³¶û£¿²Ì©ÀûÒýÀí¡£Èô½øÒ»²½Éè{An}ΪÏ໥¶ÀÁ¢µÄʼþÐòÁУ¬Ôò¸üÓÐÏÂÁеIJ¨À³¶û0£1ÂÉ»ò0£1×¼Ôò£º°´ÕÕ¼¶Êý
ÊÕÁ²»ò·¢É¢£¬{An}ÖÐÓÐÎÞÇî¸öͬʱ·¢ÉúµÄ¸ÅÂÊ·Ö±ðΪ0»ò1¡£ÕâÊÇÖ¤Ã÷¸÷ÖÖÒÔ¸ÅÂÊ1³ÉÁ¢µÄÐÔÖʵÄÓÐÁ¦¹¤¾ß¡£
ÓÖÈôÓÃσ(Xk£¬k¡Ýn)±íʾÓÉËæ»ú±äÁ¿ÐòÁÐ{Xk£¬k¡Ýn}Éú³ÉµÄʼþσ-Óò£¬
ÄÇô£¬¿Â¶ûΏçÂå·ò0-1ÂɶÏÑÔ£º¶ÔÓÚ¶ÀÁ¢Ëæ»ú±äÁ¿ÐòÁÐ{Xn£¬n¡Ý1}£¬β*(X)ÖÐÈÎһʼþµÄ¸ÅÂʱØÎª0»ò1¡£ÀûÓÃËü¿ÉÒԶ϶¨£¬Ê¼þ
¼°
µÄ¸ÅÂÊΪ0»ò1£»»¹¿ÉÒÔÍÆ³ö
ÒÔ¸ÅÂÊ1µÈÓÚij¸ö³£Öµ¡£
Éè£ûXn£ýÊǶÀÁ¢Í¬·Ö²¼µÄËæ»ú±äÁ¿ÐòÁУ¬
ÇÒP(Xn=1)=p£¬ P(Xn=0)=1-p¡£Ç¿´óÊýÂɶÏÑÔ£¬
¼´¶ÔÈκΦÅ>0£¬²»µÈʽ
³ýÓÐÏÞ¸önÍâ³ÉÁ¢µÄ¸ÅÂÊΪ1¡£ÐÁÇÕÓÚ1924Äê½øÒ»²½Ö¤Ã÷ÁËÈçϵÄÖØ¶ÔÊýÂÉ£º
ÓÉ´Ë¿ÉÒÔÍÆ³ö£¬¶ÔÈκΦŠ>0£¬²»µÈʽ
³ýÓÐÏÞ¸ö nÍâ³ÉÁ¢µÄ¸ÅÂÊΪ 1¡£Õâ¸ö½á¹ûÓÃÖØ¶ÔÊýº¯ÊýloglognÃèÊöÁËËãÊõƽ¾ùÖµÏòÊýѧÆÚÍûÊÕÁ²µÄËÙ¶È£¬Ëü±Èͨ³£µÄÇ¿´óÊýÂÉÒª¾«È·¡£
¶Ô½ÏÒ»°ãµÄÇéÐΣ¬¿Â¶ûΏçÂå·òÓÚ1929ÄêÖ¤Ã÷ÁË:Èô£ûXn£ýΪ¶ÀÁ¢Ëæ»ú±äÁ¿ÐòÁУ¬ÆäÊýѧÆÚÍû¡¢·½²î·Ö±ðΪEXn=0£¬
£¬ÓÖ¼Ç
ÇÒ¶ÔijһÇ÷ÓÚ0µÄ³£ÊýÁÐ{Xn}£¬ÒÔ¸ÅÂÊ1³ÉÁ¢
ÔòÓÐ
P.¹þÌØÂüºÍA.ÎÂÌØÄÉÓÚ1941Äê¸üÖ¤Ã÷ÁË£¬¶Ô¶ÀÁ¢Í¬·Ö²¼µÄËæ»ú±äÁ¿ÐòÁУ¬ÉÏʽ³ÉÁ¢µÄ³ä·Ö±ØÒªÌõ¼þÊÇXnµÄ·½²îÓÐÏÞ¡£
´Ëºó£¬¶Ô¸üÒ»°ãµÄ¶ÀÁ¢Ëæ»ú±äÁ¿ÐòÁС¢÷±²îÐòÁÐ(¼´Æä²¿·ÖºÍΪÀëɢʱ¼ä÷±)¡¢ÈõÏàÒÀÐòÁеȣ¬¶¼ÔÚÒ»¶¨Ìõ¼þϵõ½ÁËÀàËÆµÄ½á¹û¡£
ÖØ¶ÔÊýÂɵÄÖ¤Ã÷²ÉÓÃÁ˽ϸßÉîµÄ·ÖÎö¼¼ÇÉ£¬Òò¶øËüÊǸÅÂÊÂÛ¼«ÏÞÀíÂÛÖбȽÏÉîÈëºÍ¾«Ã͍ܵÀí¡£
- ²Î¿¼ÊéÄ¿
- Y.S.Chow and H.Teicher£¬Probability Theory£¬Springer-Verlag£¬New York£¬1978.