天体的距离

浏览

早在古代,人们通过粗略的观测已建立起天体的相对距离的初步概念。公元前三世纪,古希腊阿利斯塔克推算出日、月到地球的距离的近似比值。公元前二世纪,喜帕恰斯求得月球的距离为地球直径的倍。1751~1753年,法国拉卡伊和拉朗德第一次用三角测量法精确测定了月球的距离。1672年,G.D.卡西尼精确测定了太阳的距离。1837~1839年,В.Я.斯特鲁维、贝塞耳和T.亨德森几乎同时分别利用三角视差法相当精确地测定了织女星(即天琴α)、天鹅座61和南门二(即半人马座α)三颗近距星的距离(见视差)。

测量天体距离的最经典的方法是三角视差法,此外还有许多方法。每种方法都有一定的适用范围。下面按照天体的从近到远的距离分为三类,分别叙述各种测量方法。

太阳系内的天体

三角测量法

用于测定月球、行星的周日地平视差,由此可以求得它们的距离。根据天体力学的理论,利用行星的周日地平视差,可以求得太阳的周日地平视差(即太阳视差),由此可以求得地球和太阳之间的平均距离。这是二十世纪六十年代以前测定太阳距离的常用方法。

雷达测距法

通过向月球和大行星(如金星、火星、水星等)发射无线电脉冲,然后接收从它们表面反射的回波,并将电波往返的时间精确地记录下来,便能推算出天体的距离。雷达测距法目前已成为测量太阳系内某些天体的基本方法之一。1946年首次用这一方法成功地测定了月球的距离,1957年月距的测定精度已优于一公里。自1961年起,对金星、火星和水星等多次进行雷达测距。对大行星的雷达测距还为测定地球和太阳间平均距离提供了最优的方法。根据对金星的雷达测距求得的日地间平均距离的数值是迄今最精确的(见雷达天文方法)。

激光测距

它比雷达测距法更精确。但目前只适用于很近的天体,如人造卫星和月球。它的工作原理与雷达测距法相似。

太阳系外较近的天体

三角视差法

对离太阳 100秒差距范围以内的近距星,都可利用三角视差法测定它们的距离。但对距离超过50秒差距的天体,此法所测得的距离已不够准确。三角视差法迄今仍是测定太阳系外天体距离的最基本方法。用其他方法测得的距离都要用三角视差法来校准。

分光视差法

分析恒星谱线以测定恒星距离的一种方法。以秒差距为单位的恒星距离r与它的视星等m(见星等)和绝对星等M之间存在下列关系:

5lgr=m-M +5。

根据恒星谱线的强度或宽度差异,估计恒星的绝对星等,再从观测得到恒星的视星等,由上式求得恒星的距离。由于星际消光对Mm有影响,用分光视差法测定恒星的距离必须计及星际消光这个很复杂的因素。

威尔逊-巴普法

1957年,O.C.威尔逊和巴普两人发现,晚型(G、K和M型)恒星光谱(见恒星光谱分类)中电离钙的反转发射线宽度的对数与恒星的绝对星等之间存在着线性关系。对这条谱线进行光谱分析,便可得到晚型恒星的距离。

星际视差法

在恒星的光谱中出现有星际物质所产生的吸收线。这些星际吸收线的强度与恒星的距离有关:星越远,星和观测者之间存在的星际物质越多,星际吸收线就越强。利用这个关系可测定恒星的距离。常用的星际吸收线是最强的电离钙的K线和中性钠的D双线。不过这个方法只适用于O型和早B型星,因为其他恒星本身也会产生K线和D线,这种谱线同星际物质所产生的同样谱线混合在一起无法区分。由于星际物质分布不均匀,一般说来,用此法测得的距离,精度是不高的。

力学视差法

目视双星的相对轨道运动遵循开普勒第三定律,即伴星绕主星运转的轨道椭圆的半长径的立方与绕转周期的平方成正比。设主星和伴星的质量分别为m1m2,以太阳质量为单位表示,绕转周期P以恒星年(见年)为单位表示,轨道的半长径的线长度A以天文单位表示,这种双星在观测者处所张的角度 α以角秒表示,则其周年视差π为:

式中αP可从观测得到。因此,如果知道双星的质量,便可按上述公式求得该双星的周年视差。如果不知道双星的质量,则用迭代法解上式,仍可求得较可靠的周年视差。周年视差的倒数就是该双星以秒差距为单位的距离。

星群视差法

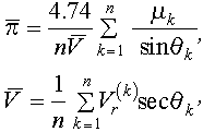
移动星团的成员星都具有相同的空间速度。由于透视作用,它们的自行会聚于天球上的一点或者从某点向外发散,这个点称为“辐射点”。知道了移动星团的辐射点位置,并从观测得到n个成员星的自行μk 和视向速度V 噰(k=1,2,…,n),则该星团的平均周年视差为:

式中θk为第k个成员星和辐射点的角距, n个成员星的空间速度的平均值。这样求得的周年视差的精度很高。但目前此法只适用于毕星团。其他移动星团因距离太远,不能由观测得到可靠的自行值。

统计视差法

根据对大量恒星的统计分析资料,知道恒星的视差与自行之间有相当密切的关系:自行越大,视差也越大。因此对具有某种共同特征并包含有相当数量恒星的星群,可以根据它们的自行的平均值估计它们的平均周年视差。这样得到的结果是比较可靠的。

自转视差法

银河系的较差自转(即在离银河系核心的距离不同处,有不同的自转速率)对恒星的视向速度有影响。这种影响的大小与星群离太阳的距离远近有关,因此可从视向速度的观测中求出星群的平均距离。这个方法只能应用于离太阳不太远,距离大约在1,200秒差距以内的恒星。

太阳系外的远天体

利用天琴座RR型变星

这类变星的特点是:尽管光变周期长短不同,而它们的光度是相同的,绝对星等差不多都在+0.5等左右。因此,先通过观测得到它们的视星等,再把视星等同上述绝对星等数值作比较,便可求得含有这类变星的球状星团的距离。这类变星由于光度大,光变周期为0.05~1.5天,显得特别引人注目,所以可作为相当理想的“距离指示器”。

利用造父变星

这类变星的光变周期长,而且它们的光度和光变周期之间有一种确定的周光关系,即光度越大,光变周期越长。应用这种关系,便可根据观测得到的光变周期计算它们的绝对星等,再将算出的绝对星等同视星等作比较,就可求得这类变星及其所在星团或较近的河外星系的距离。

利用角直径

假如各个球状星团或星系的线直径 D(以天文单位表示)大致是相等的,则通过观测得到它们的角直径d(以角秒为单位),就可求得星团或星系的距离r(以秒差距为单位):

但实际上,无论是球状星团,还是各类星系,它们的线直径相差不小,而且要确定它们的角直径也很困难,所以用这个方法求得的距离是很粗略的。

主星序重迭法

这个方法的出发点是:认为所有主序星都具有相同的性质,同一光谱型的所有主序星都具有相同的绝对星等。可以把待测星团的赫罗图(以色指数为横坐标,视星等为纵坐标)同太阳附近恒星的赫罗图(以色指数为横坐标,以绝对星等为纵坐标)相比较,使这两个图的主星序重迭。根据纵坐标读数之差即星团的主序星的视星等和绝对星等之差,可算出该星团的距离。也可以把待测星团的主星序同已知距离的比较星团的主星序相重迭,则纵坐标读数之差就是两星团的主序星的视星等之差,由此可以求得这两个星团的相对距离。根据比较星团的已知距离,便得到所测星团的距离。这是测定银河星团和球状星团的距离的一种有效方法。

利用新星和超新星

新星和超新星的光度变化都具有这样一个特征:在不长的时间内光度便达到极大值,而且所有新星或属同一类型的超新星的最大绝对星等变化范围不大。因此,可先取它们的平均值作为一切新星或属同一类型的超新星的最大绝对星等,再把它同观测到的最大视星等相比较,便可定出该新星或超新星所在星系的距离。

利用亮星

对于河外星系,可以认为它们所包含的亮星的平均绝对星等与银河系里属于同一类型星的平均绝对星等是相同的。因此,可以先通过观测得到这些亮星的视星等,然后把它们同上述平均绝对星等作比较,以求得河外星系的距离。

利用累积星等

球状星团的累积星等变化范围不大,可先取其平均值作为所有球状星团的累积绝对星等,再从观测得到所测星团的累积视星等,便可算出该球状星团的距离。此法也可用于河外星系,但必须考虑到星系的形态类型,不同类型星系的累积平均绝对星等应取不同的数值。

利用谱线红移

观测表明,在目前光学望远镜和射电望远镜所及的空间范围内,河外星系的谱线都有红移现象,而且红移量同星系的距离成正比。以r表示星系的距离,c表示光速,λ表示波长,Δλ表示波长的变化量,则:

式中Δλ/λ为红移量,哈勃常数H=50公里/(秒·百万秒差距)。因此,只要测量出星系的谱线红移量,便可推算出星系的距离。

测定天体的距离是天体测量最重要的研究课题之一,尽管方法很多,但要得到可靠的结果是不容易的。因此,对于某一天体,应尽可能采用几种方法分别测定它的距离,然后相互校核,才能得到可靠的结果。

参考书目
  1. 戴文赛编著:《恒星天文学》,1~45页,科学出版社,北京,1965。
  2. M.Harwit,Astrophysical Concepts,John Wiley andSons,New York,1973.