[拼音]:tianwen danwei
[外文]:astronomical unit
天文常数之一。天文学中测量距离,特别是测量太阳系内天体之间的距离的基本单位,以A表示。
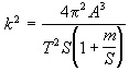
1938年以前,天文单位是指在没有大行星摄动作用(见摄动理论)下,从地月系质心到太阳的平均距离,或者说,它是地月系质心绕太阳公转的无摄动椭圆轨道的半长径。根据开普勒定律,在高斯引力常数k、太阳质量S、地月系质量m、地月系到太阳的平均距离A和地球绕太阳公转周期T之间有如下关系:
。
当取太阳质量为天文质量单位(即取S=1)、地月系到太阳的平均距离为天文距离单位(即取A=1)时,高斯根据当时的不很精确的T和m/S值,算得k=0.01720209895。1938年第六届国际天文学联合会决定把k值固定下来,不再改变。根据这个k值,当取S=1、A=1和m=0时,就可以算出T值为365.2568983263历书日。由此,可以把天文单位的定义改为:当公转周期为365.2568983263历书日时,一个假想的、质量为零的无摄动行星的椭圆轨道的半长径,等于一个天文单位。根据准确的 T值和m/S值,可以算出地月系统日公转轨道的半长径为1.00000003天文单位。由于地球运动受其他天体摄动的影响,日地平均距离实际为1.0000000236天文单位。
二十世纪六十年代以前,天文单位是根据测定太阳视差π⊙推导出来的。在纽康的天文常数系统中太阳视差π⊙=8.80,相应的天文单位的长度等于149,500,000公里。二十世纪六十年代起,雷达天文取得了精确的结果。于是,天文单位根据光速c和单位距离光行时τA来导出,1964年国际天文学联合会天文常数系统取 A为149,600×106米,把它作为基础常数。此值从1968年开始,一直要使用到1983年。1976年国际天文学联合会天文常数系统取 A为1.49597870×1011米,把它改为导出常数,此值将从1984年起统一采用。