·øÉä×ªÒÆÀíÂÛ

ä¯ÀÀ

·øÉäÊÇÌìÌåÉÏÄÜÁ¿´«µÝµÄÒ»ÖÖ»ù±¾·½Ê½¡£·øÉä×ªÒÆÀíÂÛÑо¿·øÉä×ªÒÆ¹æÂÉ£¬Ì½ÌÖ·øÉäͨ¹ý¼ÈÓÐÎüÊÕÓÖÓз¢ÉäµÄ½éÖÊʱµÄ±ä»¯Çé¿ö¡£ËüÉæ¼°·øÉ䳡µÄÎïÀí״̬ÒÔ¼°·øÉäºÍÎïÖʵÄÏ໥×÷Óõȡ£·øÉä×ªÒÆÀíÂÛµÄ×îÖ÷ÒªÄÚÈÝÊǽ¨Á¢·øÉä×ªÒÆ·½³Ì£¬²¢ÔÚÒ»¶¨µÄÌõ¼þÏÂÇó½â¡£

·øÉ䳡µÄ¼¸¸ö»ù±¾ÎïÀíÁ¿

£¨1£©·øÉäÇ¿¶ÈIv£¬ÉèÔÚ¦¤tʱ¼äÄÚ£¬ÔÚÑØL·½ÏòµÄÁ¢Ìå½ÇÔª¦¤¦ØÄÚ£¬Í¨¹ýPµã´¦µÄ·¨Ïß·½ÏònµÄÃæÔª¦¤¦Ò£¬ÆµÂÊÔÚvµ½v+¦¤v µÄ·øÉäÄÜΪ¦¤Ev£¬Ôò·øÉäÇ¿¶È¶¨ÒåΪ£º

ʽÖÐÔÚ¦ÈΪnÓëLµÄ¼Ð½Ç¡£·øÉäÇ¿¶ÈÊǵãµÄº¯Êý£¬²¢ÒÀÀµÓÚ·½ÏòL¡¢Ê±¼ätºÍƵÂÊv£¬¼´·øÉäÇ¿¶È±íÕ÷ÔÚµ¥Î»Ê±¼ä¡¢µ¥Î»Á¢Ìå½Ç¡¢µ¥Î»ÆµÂÊ·¶Î§ÄÚͨ¹ýͬ·øÉä·½Ïò´¹Ö±µÄµ¥Î»Ãæ»ýµÄ·øÉäÄÜ¡£×Ü·øÉäÇ¿¶ÈΪ£º

¡£

ͼ

£¨2£©·øÉäÁ÷¦ÐFv£¬Ö¸µ¥Î»Ê±¼äÄÚͨ¹ýµ¥Î»Ãæ»ý£¬ÔÚµ¥Î»ÆµÂʼä¸ôÄÚÏòÍâµÄ·øÉäÄÜÓëÏòÄڵķøÉäÄÜÖ®²î£¬¿É±íʾΪ£º

£¬

¦ÐFv µÄ´óСͨ³£ÓëÃæÔªÔÚ¿Õ¼äµÄλÖúͷ½Ïò¶¼ÓйØÏµ¡£×Ü·øÉäÁ÷Ϊ£º

¡£

£¨3£©Æ½¾ù·øÉäÇ¿¶ÈJv£¬·øÉ䳡ÄÚÈÎÒ»µã·øÉäÇ¿¶È¶Ô·½ÏòµÄƽ¾ùֵΪ£º

£¬

×ܵį½¾ù·øÉäÇ¿¶ÈΪ£º

¡£

£¨4£©·øÉäÃܶÈuv£¬Ö¸µ¥É«·øÉäÃܶÈÊǵ¥Î»Ìå»ýÄÚËù°üº¬µÄµ¥Î»ÆµÂʼä¸ôµÄ·øÉäÄÜ£º

£¬

×ܵķøÉäÃܶÈÊǵ¥Î»Ìå»ý°üº¬µÄ×Ü·øÉäÄÜ£º

¡£

£¨5£©·øÉäѹÁ¦P‰M£¬µ¥É«·øÉäÊ©ÓÚµ¥Î»Ãæ»ýµÄѹÁ¦¡£µ¥É«·øÉäѹÁ¦¿É±íʾΪ£º

£¬

×ܵķøÉäѹÁ¦Îª£º

¡£

·øÉäºÍÎïÖÊÏ໥×÷ÓõÄÎïÀíÁ¿

·øÉäºÍÎïÖÊÖ®¼äµÄÏ໥×÷ÓÃÐÎʽ°üÀ¨·¢ÉäºÍÎüÊÕ¡£

µ¥Î»ÖÊÁ¿µÄÎïÖÊÔÚµ¥Î»Ê±¼ä¡¢µ¥Î»ÆµÂʼä¸ô¡¢µ¥Î»Á¢Ìå½ÇÄÚ·¢ÉäµÄÄÜÁ¿³ÆÎª·¢ÉäϵÊý£¬ÓÃjv±íʾ¡£·øÉäͨ¹ýµ¥Î»ÖÊÁ¿µÄÎïÖʺó·øÉäÇ¿¶ÈµÄÏà¶Ô¼õÈõ¶¨ÒåΪÎüÊÕϵÊý£¨»ò³Æµ¥Î»ÖÊÁ¿µÄÎüÊÕϵÊý£©£¬ÓæÖv±íʾ¡£µ±Ç¿¶ÈΪIvµÄ¹âÊø´¹Ö±Í¶ÉäÓÚÎÞÏÞ±¡µÄÎüÊÕ²ãdsÉÏʱ£¬·øÉäÇ¿¶ÈµÄ±ä»¯Îª£º

dIv=£­Iv¦Öv¦Ñds£¬

ʽÖЦÑΪÎüÊÕ²ãÄÚµÄÎïÖÊÃܶȡ£Ç¿¶ÈΪIˆSµÄ¹âÊøÍ¨¹ýºñ¶ÈΪsµÄÎüÊÕ²ãºó£¬Æä·øÉäÇ¿¶ÈIv±äΪ£º

£¬

Ö¸Êý³ÆÎªÎüÊÕ²ãµÄ¹âѧºñ¶È»ò¹âѧÉî¶È¡£

·¢ÉäϵÊýºÍÎüÊÕϵÊýÖ®±È³ÆÎªÔ´º¯ÊýSv£º

¡£

·øÉä×ªÒÆ·½³Ì

µ±·øÉäͨ¹ýÒ»¸ö¼ÈÄÜ·¢ÉäÓÖÄÜÎüÊÕ·øÉäµÄ½éÖÊʱ£¬·øÉäÇ¿¶ÈËù×ñÑ­µÄ΢·Ö·½³Ì³ÆÎª·øÉä×ªÒÆ·½³Ì¡£ËüµÄÒ»°ãÐÎʽΪ£º

£¬

ʽÖÐdsÎªÑØ·øÉä·½ÏòµÄ¾àÀëÔª¡£

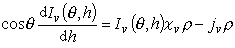
ÔÚÑо¿Õý³£ºãÐÇ´óÆøÊ±£¬ÓÉÓÚ´óÆøºñ¶ÈԶСÓÚºãÐǰ뾶£¬¿ÉÒÔºöÂÔ´óÆø²ãµÄÇúÂÊ£¬°Ñ´óÆø¿´×÷ÊÇÆ½ÃæÆ½ÐÐ²ã¡£Æ½ÃæÆ½ÐвãµÄ×ªÒÆ·½³Ì¿ÉдΪ£º

£¬

ʽÖÐhΪ´¹Ö±ÏßÉî¶È£¬»òд³É£º

£¬

ʽÖÐd¦Óv=jv¦Ñdh¡£¶ÔÓÚÉ¢ÉäµÄÇé¿öÀ´Ëµ£¬Sv=Jv;¶ÔÓÚÕæÎüÊÕµÄÇé¿öÀ´Ëµ£¬ÔÚ¾Ö²¿Èȶ¯Æ½ºâ¼ÙÉèÏ£¬Sv=Bv£¬BvΪÆÕÀʿ˺¯Êý£¨¼ûºãÐÇ´óÆøµÄÎüÊÕºÍÉ¢É䣩¡£

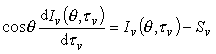
ÉÏÊö·øÉä×ªÒÆ·½³ÌµÄ½âΪ£º

£¬

£¬

ºóÕßÊÇÃèдÏòÄÚ·øÉäµÄ£¬ÕâÀï†ê£½¦Ð-¦È¡£ÔÚÕæÎüÊÕÇé¿öÏ£¬ÈçÓоֲ¿Èȶ¯Æ½ºâ£¬ÔòÔÚÉÏÊöÁ½Ê½ÖÐÁîSv=Bv¡£Õâʱ£¬¶ÔÓÚºãÐDZíÃæÓ¦ÓУº

¡£

Õâ±íʾºãÐDZíÃæÏòÍâµÄ·øÉäÊÇÕû¸ö´óÆø²ãµÄ·¢ÉäºÍÎüÊÕÀۼӵĽá¹û¡£

ͼ »ÒÉ«´óÆøµÄ·øÉ䯽ºâÀíÂÛ

ΪÁËÇó½â·øÉä×ªÒÆ·½³Ì£¬±ØÐëÖªµÀÔ´º¯Êý»òζÈËæÉî¶ÈµÄ·Ö²¼¹æÂÉ¡£ÔçÆÚ£¬ÓÉÓÚȱ·¦ÓйØÎüÊÕϵÊýµÄ֪ʶ£¬ÒýÈëÁËÎüÊÕϵÊýÓëÆµÂÊÎ޹صļÙÉè¡£Õâ¾ÍÊÇ»ÒÉ«´óÆøÄ£ÐÍ£¬ÊÇʵ¼ÊºãÐÇ´óÆøµÄ½üËÆÃèÊö¡£»ÒÉ«´óÆøµÄ·øÉ䯽ºâÌõ¼þΪ£º

¡£

Óɴ˵õ½µÄζȷֲ¼Îª£º

£¬

ʽÖÐΪÓÐЧζȡ£ÔÚ·øÉ䯽ºâÌõ¼þÏ£¬×Ü·øÉäÁ÷ÓëÉî¶ÈÎ޹أ¬µÈÓÚËüµÄ±íÃæÖµ¡£°ÑζÈËæÉî¶È·Ö²¼µÄ¹æÂÉ´úÈë×ªÒÆ·½³ÌµÄ½âÖУ¬¾ÍµÃµ½ÓÐÒâÒåµÄÕæÊµ½â¡£¶ÔÓÚºãÐDZíÃæ£¬Ñо¿·øÉäÇ¿¶ÈËæ¦ÈµÄ·Ö²¼¹æÂÉ£¬¿ÉµÃºãÐÇ(»òÌ«Ñô)Ô²ÃæµÄÁٱ߻谵¹æÂÉ¡£Ñо¿·øÉäÇ¿¶ÈËæÆµÂÊv µÄ·Ö²¼¹æÂÉ£¬¿ÉµÃºãÐÇÁ¬Ðø¹âÆ×ÄÜÁ¿°´ÆµÂʵķֲ¼¡£Ì«ÑôÔ²ÃæÁٱ߻谵µÄʵ²â½á¹ûÓëÀíÂÛ¼ÆËãÏà·û¡£µ«ÔÚÁ¬Ðø¹âÆ×ÄÜÁ¿·Ö²¼·½Ã棬ÀíÂۺ͹۲âÖ®¼ä´æÔÚ×ÅһϵÁвîÒì£¬ÌØ±ðÊÇÀíÂÛÎÞ·¨½âÊ͹۲⵽µÄÁ¬Ðø¹âÆ×ÄÜÁ¿·Ö²¼µÄÌø±äÏÖÏ󡣸ù¾Ý»ÒÉ«´óÆøÄ£ÐͼÆËãµÃµ½µÄһЩ½á¹û£¬ÌرðÊÇζȷֲ¼¹æÂÉÈÔ±»¹ã·ºµØÓ¦Óá£

·Ç»ÒÉ«´óÆøµÄ·øÉ䯽ºâÀíÂÛ

ºãÐÇ´óÆøµÄÎüÊÕϵÊýÊÇÓëÆµÂÊÓйصġ£¶Ô²»Í¬µÄ¹âÆ×ÐÍÀ´Ëµ£¬ÎüÊÕϵÊýºÍƵÂʵĹØÏµÒ²ÊDz»Í¬µÄ¡£Ä¿Ç°ÒÑ»ù±¾ÉÏÃ÷È·ÔÚ²»Í¬¹âÆ×Ð͵ĺãÐÇÀïÎüÊÕϵÊýºÍƵÂʵĹØÏµ¡£Ñо¿·Ç»ÒÉ«´óÆøµÄ·½·¨Í¨³£ÊÇÓÃÖð´Î½üËÆ·¨¡£°Ñ»ÒÉ«´óÆøµÄζȷֲ¼×÷ΪµÚÒ»½üËÆ£¬»ÒÉ«´óÆøµÄ¹âѧºñ¶ÈÊÇÓÉÆ½¾ùÎüÊÕϵÊýÈ·¶¨µÄ¡£³£ÓÃµÄÆ½¾ùÎüÊÕϵÊýÓУº

£¨1£©ÂÞ˹À¼µÂƽ¾ùÎüÊÕϵÊý‰^R£º

¡£

£¨2£©²ýµÂÀ­Èû¿¨Æ½¾ùÎüÊÕϵÊý‰^C£º

£¨3£©ÆÕÀÊ¿ËÆ½¾ùÎüÊÕϵÊý‰^p£º

¡£

ʽÖÐBvΪÆÕÀʿ˺¯Êý¡£ÓÉÆ½¾ùÎüÊÕϵÊýËùÈ·¶¨µÄ»ÒÉ«´óÆø³ÆÎªµÈ¼ÛµÄ»ÒÉ«´óÆø¡£¼øÓڵȼۻÒÉ«´óÆøµÄ½üËÆÐÔ£¬ÓɵÚÒ»½üËÆËùµÃµ½µÄ·øÉäÁ÷ ¦ÐF ͨ³£ÊDz»»áÓëÉî¶ÈÎ޹صģ¬Ò²¾ÍÊÇ»ò¶à»òÉÙµØÆ«Àë·øÉ䯽ºâ¡£Òò´Ë£¬±ØÐëÓøü¸ß´ÎµÄ½üËÆ¡£Öð´Î½üËÆµÄÒ»°ã×¼ÔòÊÇ£ºÇó³öеÄζȷֲ¼£¬Ê¹µÃÔÚËùÓÐÉî¶ÈÉÏ·øÉäÁ÷¶¼µÈÓÚ¦ÒT’«¡£Ä¿Ç°¶Ô¸÷ÖÖÖ÷Òª¹âÆ×ÐͺãÐÇ£¬¿¼ÂÇÆäÖ÷ÒªÎüÊÕԴȪ£¬ÒѾ­Çó³öºãÐÇÁ¬Ðø¹âÆ×ÄÜÁ¿·Ö²¼µÄÀíÂÛÇúÏß¡£

²Î¿¼ÊéÄ¿
  1. S.Chandrasekhar£¬ Radiative Transfer£¬Dover£¬Publ£¬Inc.£¬New York£¬1960.