[拼音]:cilu
[外文]:magnetic circuit
利用磁性材料做成具有某种几何形状和大小的回路,目的是在回路中指定的空间获得一定强度的磁场。磁路一般由产生磁场的源、软磁材料和空气隙三部分组成。产生磁场的源可以是通电流的线圈,或者是永久磁体。
磁路设计,就是在空气隙中为了获得预期强度和分布的磁场,选定最佳的永磁材料及其尺寸和工作点,或选择最佳线圈数据和工作电流,还要选定软磁轭铁材料及大小等。
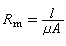
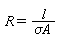
磁路同电路的对比考察一个可忽略电源内阻的简单闭合直流电路,如图1所示。E为电源电动势,I为电流,R为电路的电阻,σ为电路导体的电导率,l为电路的长度,A为电路的截面积。当电源内电阻不计时,电路定律为
。
图2为一个由外加线圈和环形软磁材料构成的最简单的理想磁路,NI为外加线圈的安培匝数,μ为软磁材料的磁导率,l为环的周长,H为环中磁场强度,A为磁路的截面积。根据安培环路定理有
。
把磁路和电路的上述两个公式加以对比,就可看出两者有许多相似之处:磁路中的磁通量 Ф和电路中的电流I相当,磁路中线圈的安培匝数NI和电路中的电动势E相当,电路中的电阻
与磁路中的
相当。NI叫做磁动势,Rm叫做磁阻。
但磁路和电路的相似性是形式上的,两者有本质上的差别:自然界不存在磁的良导体或绝缘体(超导体为特例);磁介质的磁化强度和磁场之间通常都呈非线性关系且较容易饱和,磁性实质上为偶极矩而没有独立的磁单极;如果介质磁化不均匀或在不同介质的界面处,会出现所谓磁荷并引起退磁场,这种退磁场和介质的磁化强度互相影响,关系复杂;磁介质还可能有各向异性;恒磁通的源和恒磁动势的源也都不存在等等。此外,由于在磁路问题中,很难避免漏磁,故磁路设计比电路要困难得多。
简单磁路的计算
磁路与电路的相似性,提供了磁路计算的基础。下面讨论具体的有代表性的两种磁路。一种假定没有漏磁;另一种则把漏磁考虑进去。
第一种为图3所示的磁路。这个磁路和图1相比多了一个空气隙g。空气隙中的磁场、磁导率、气隙大小和其截面积分别用Hg、μo、lg和Ag表示。根据安培环路定理和磁通量的连续性
式中Фg为气隙中的磁通量。如果假定Ag=A,并且
可得
。
这一结果表明,当软磁材料的μ/μo很大、且空气隙lg较小时,磁动势NI几乎全部加在lg上了。
第二种为图4所示的磁路。这里用永磁体(阴影部分)代替了线圈。由于I=0,由安培环路定理可得
,
其中Hd为永磁体内的退磁场,由于其方向和磁路中其他磁场方向相反故取负号。
考虑漏磁后,上式可简化为
而磁通量的连续性应代之以
其中下标d表示永磁体的各有关量,kf叫漏磁系数,kr叫磁阻系数。磁路结构不同,所用材料不同,kf的取值在1~20,kr的取值在1.05~1.45。二者给出后就可以对磁路进行计算。此外,永磁材料的Bd与μoHd之比叫做比磁导系数Pr,根据上述两式可得
Pr的值由式右各量确定。在永磁材料退磁曲线所在的第二象限,画一条通过原点斜率等于Pr的直线和退磁曲线相交,则得出永磁材料的工作点(Hd,Bd)。
动态磁路以上所述为静态磁路设计的一般原理。在引力磁体、永磁电机中,工作磁通在不断地变化,这属于又一类所谓的动态磁路设计。所有这些设计,都做不到和测量结果精确一致。计算机出现后,人们开始编制计算磁路的各种专用程序。一般方法是先分析磁路,把它分为若干典型的区域,采用许多规则的三角网点模拟各部分。从电动力学的基本方程出发,列出各点磁场、磁势等有关物理量的方程,利用有限元方法结合材料参数,编制计算机程序,进行数值逼近计算。这种方法不仅大大提高了磁路设计的精度,还使过去许多无法做到的设计成为可能。