[拼音]:lixi
[外文]:system of forces
作用在同一物体上的一群力。诸力作用线在同一平面,称为平面力系;作用线不在同一平面,称为空间力系;作用线汇交于一点,称为汇交力系;作用线互相平行,称为平行力系;作用线既不汇交又不平行,称为任意力系。若两力系分别使一刚体在相同的初始运动条件下产生相同的运动则称为等效力系。
力线的平移
要使作用于刚体上A点的力F平移至另一点O(图1),
可在O点加上大小相等、方向相反且与力F平行的两个力F┡和F″,并使它们的大小相等。F和F″组成一力偶,称为附加力偶。于是,作用于A点的力F可由作用于O点的力F┡和附加力偶(F,F″)来代替。换言之,要使作用于刚体上A点的力F等效地平移至O点,必须附加一个力偶,其矩等于原力对平移点O的矩。
力系的简化
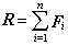
要把一个复杂的力系化为一个简单的等效力系,可用力线的平移将力系中的诸力Fi(i=1,2,…,n)移向指定点(简化中心),得到一个作用在简化中心O 的汇交力系和一个附加力偶系。此汇交力系又可合成一个合力R,它等于原力系中诸力的矢量和:
,
R为原力系的主矢。不论选何点为简化中心,主矢的大小和方向都不变。因此,主矢与简化中心的位置无关。
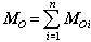
简化中引入的附加力偶系可合成一力偶,其力偶矩MO等于原力系诸力分别对简化中心O点之矩的矢量和:
,
MO称为原力系对简化中心O的主矩。对于不同的简化中心,各力的力臂也不同,因此,主矩同简化中心的位置有关。简化结果不外乎以下几种情况:
表明原力系和一个力偶等效,即简化为一个力偶,其力偶矩等于力系对简化中心的主矩。若向不同的简化中心简化,也将得到彼此等效的力偶。因此,简化结果同简化中心位置无关。这样的力系如作用于刚体,能使刚体产生角加速度转动。
表明原力系和一个力等效,即简化为一个力。这样的力系如作用于刚体,能使刚体的质心产生加速度运动。
对于空间任意力系又可分为以下四种情况:
(1)R⊥MO 即主矢与力偶矩矢垂直,所以,主矢R与表示主矩MO的一对力(图2中的R┡,R″)在同一平面上。改变主矩的力使其大小等于R,即R┡=R″=R,便可求得力偶臂
。由于作用在简化中心O的R″的方向与R相反,所以R″与R相抵消,只剩下作用于O1点的力R┡,即力系简化为作用于O1点的一个力R┡。
(2)R∥MO 原力系简化为一个力和一个力偶,且这力垂直于力偶作用面(图3),称为力螺旋。例如钻孔或拧螺丝钉时,作用在钻头或改锥上的就是力螺旋。力螺旋作用于刚体时,使其质心作加速度运动,同时又产生角加速度转动。
(3)R和M成任意角度 可将MO分解为平行和垂直于R的两个分量
和
。按上述两种情形,R和
可简化为作用于O┡点的一个力R┡;而R┡和
又组成一个力螺旋(图4)。
沿R┡的作用线作直线AB。当R┡沿AB移动时,简化结果不变(因R┡对O点之矩不变),故只要简化中心取在AB上,力系就可简化为力螺旋。直线AB称为该力系的中心轴或最小力矩轴,因为力系对不在中心轴上的任一点的主矩其
与
之和总是大于
。
(4)R=
,MO=
这时力系处于平衡状态,称为平衡力系。受平衡力系作用的物体,其质心的运动状态不变,即保持静止或作匀速直线运动,同时绕质心转动的动量矩守恒。
平衡方程
力系平衡条件的数学形式。空间任意力系的平衡条件是,力系的主矢和主矩都等于零,即R=
,MO=
。因
,
,故得出空间任意力系的6个平衡方程:
式中Fx、Fy、Fz分别为各分力在x、y、z轴上的投影;ΜOx、ΜOy、ΜOz分别为各分力对通过O点的x、y、z轴的矩。从以上六式可解出 6个未知量。其他力系均可看成是它的特殊情形。例如平面任意力系的平衡方程为:
。
平面汇交力系的平衡方程为:
。
对于流体、弹性体等变形体的平衡,也可应用上述平衡方程,但还不充分(见静力学公理)。