[拼音]:shuangyuanzi fenzi zhendong zhuandonguangpu
[外文]:vibration-rotation spectra of diatomic molecules
双原子分子通常同时具有振动和转动,振动能态改变时总伴随着转动能态的改变,产生的光谱称为振动-转动光谱,其波长范围一般位于红外区。
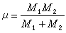
双原子分子的纯振动作为初步近似,可以先忽略双原子分子的转动,只考虑分子的振动。实际分子的原子核振动不是严格的简谐振动。采用非简谐振子模型,把质量为 M1和M2的原子核相对振动视为具有折合质量
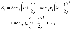
的单一质点在平衡位置re附近作非简谐振动,这个质点处于分子的原子核的有效势能场(分子中电子能量与原子核库仑排斥势能之和)中。势能函数包含偏离平衡位置的位移量的二次幂项和更高次幂项。这时,分子的振动能级的能量值为
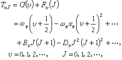
(1)
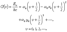
相应的光谱项为
(2)
式中h为普朗克常数,с为真空中光速,υ为振动量子数,
为分子的经典振动频率,Ke为振动力常数。式(2)中等号右边第一项是简谐振子的振动光谱项;其后各项是非简谐振动的修正项,wexe和weye为非简谐性常数。通常可以忽略更小的高次项,但当光谱仪器分辨率很高时以及在激光光谱学研究中应予考虑。分子的最低振动态(υ=0)的能量值E0不为零,称为零点能。图1为双原子分子在电子基态下的振动能级示意图。双原子分子的势能可以用经验公式表示,莫尔斯势能函数是广泛采用的一种形式。
(3)
如图1中实曲线所示。式中De称为分子离解能,β是与电子态有关的参数。取r=re处的势能 U=0;当r→∞时,势能曲线趋于水平渐近线,这时分子被离解。从势阱底部算起的离解能是 De,从υ=0能级算起的离解能是D0(见分子的离解能)。
双原子分子的振动-转动
同时考虑分子的振动和转动时,转动能量可以看成是振动能量的微扰。
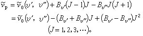
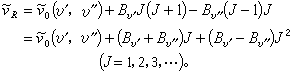
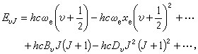
按照转动振子模型,对给定非简谐振子势能曲线的确定电子态,振动-转动能级的能量值可用下式表示
(4)
相应的光谱项为
(5)
式中Bv、Dv是振动态υ的转动常数。转动振子光谱项表示为非简谐振子振动光谱项G(υ)与转动光谱项 Fv(J)之和,其中转动谱项不仅与转动量子数J 有关,而且由于分子的振动-转动相互作用,还与振动量子数υ有关。
双原子分子的振动-转动光谱按照量子力学理论,双原子分子在电子态内的振动-转动能级间作电偶极跃迁,发射或吸收的光子(或谱线)波数
为
(6)
式中 υ┡,J┡;υ″,J″分别为较高、较低能级的振动和转动量子数,用虚线表示的
0为禁戒纯振动跃迁的波数,在该处不出现谱线,称为零缺。
转动振子电偶极跃迁的选择定则,是
(7)
用低分辩率光谱仪器研究双原子分子的振动-转动近红外吸收光谱时,只能观察到最强的υ″=0至υ┡=1跃迁的基频带和次强的υ″=0至υ┡>1跃迁的泛频带的粗结构。通过振动-转动光谱的研究,可确定we和wexe等分子振动常数,并可进一步得出分子的力常数Ke和离解能De。表1列出一些从双原子分子光谱获得的有关分子常数的数值。
由式(6)可得出双原子分子振动-转动光谱近似波数。对应ΔJ=1,J┡=J,J″=J-1的R支跃迁光谱线波数为
(8)
对应ΔJ=1,J┡=J-1,J″=J的P支跃迁光谱线波数为
(9)
由此可见,双原子分子的振动-转动光谱是由一系列转动谱线组成的谱带(图2)。
由足够高分辨率的红外光谱仪即可观察到双原子分子振动-转动近红外光谱的转动结构,这样,通过双原子分子振动-转动光谱的研究,可确定B
、Dv、De和re等分子常数值。
双原子分子振动-转动光谱的强度不仅依赖于相应跃迁几率和谱线频率v,且与分子数目按能级的初始分布有关。在热平衡状态下,分子在各振动能级上的布居数按玻耳兹曼分布律分布(见玻耳兹曼统计)。即各振动能级上的分子数近似与exp[-G0(υ)hс/kT]成正比,k为玻耳兹曼常数,T为绝对温度, G0(υ)是以最低振动态(υ=0)算起的振动光谱项值。因此室温下分子几乎全部处于最低的振动能级,在振动吸收光谱中,显示较强的基频振动带。同一振动吸收带内,转动谱线强度还随较低振动-转动能级的转动量子数J″分布。R(J″)支谱线强度近似正比于
P(J″)支谱线强度近似正比于
图3为CO分子的基频振动吸收带内各转动线的计算相对强度。当温度升高时,R支和P支的强度极大值所对应的J值移向较高的数值,谱带的强度也向较大的J值延伸。这表明高温下,较大J值的转动能级上的分子数目有所增加。