[拼音]:zhuandong guangpu
[外文]:rotational spectra
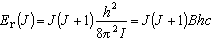
一个分子的同一电子态和同一振动能级的两个不同的转动能级间跃迁所产生的光谱。体系的转动能量Er是量子化的,对于一个刚性的双原子分子,在围绕通过其质心且与原子核连线成正交的一个轴线转动的情况下,其能量值为:
式中
是转动常数,h是普朗克常数,c是光速,I是分子绕轴旋转的转动惯量,J是与转动态对应的转动量子数,它可以取0,1,2,…一系列整数。由此可以得到一系列分立的能级(见图)。当转子从较低的能级(J″)跃迁到较高的能级(J′)时,吸收光量子,从而产生纯转动的吸收光谱。跃迁时的选择要求为:
ΔJ=±1
吸收光谱的频率为:
由于J′=J″+1,上式可以仅用一个量子数J表示,即
v=2B(J+1)
此式说明纯转动光谱是由一系列等间距的,频率为2B、4B、6B、…的谱线所组成。两条相邻谱线的波数差等于常数2B。非刚性双原子分子和多原子分子的纯转动光谱则要复杂得多。