[拼音]:yingbian xietiao fangcheng
[外文]:equations of compatibility of strains
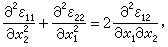
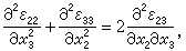
线性弹性力学中的六个应变分量εij之间必须满足的微分方程。 六个应变分量εij是由三个位移分量导出的,它们彼此之间存在一定的内在联系,这些联系就是应变协调方程。应变协调方程有六个,可以表示为:
应变协调方程有下列重要特性:
(1)任何由三个连续可微的位移分量按弹性力学的几何方程导出的一组应变分量,都满足应变协调方程。因此,不满足应变协调方程的应变不可能是从真实位移按几何方程的关系产生的。
(2)上述方程中的任何五个成立,并不意味着第六个一定成立,即六个应变协调方程具有一定的独立性。
(3)任何一个应变分量恒满足的线性微分关系,都可以化为上述六个应变协调方程的线性组合,所以应变协调方程概括了应变分量之间的全部恒等微分关系。
(4)对于单连通的区域,如果给出的应变分量满足上述方程,则可以从位移和应变的关系求得单值、连续的三个位移分量。所以对于单连通区域,应变协调方程概括了应变分量之间的全部必然联系。
(5)对于多连通区域,应变协调方程不能概括应变分量之间的全部必然联系。事实上,应变分量之间有一些恒等的积分关系,它们不从属于应变协调方程所表达的微分关系。