[Æ´Òô]£ºjishu
[ÍâÎÄ]£ºseries
¼¶ÊýÀíÂÛÊÇ·ÖÎöѧµÄÒ»¸ö·ÖÖ§£»ËüÓëÁíÒ»¸ö·Ö֧΢»ý·ÖѧһÆð×÷Ϊ»ù´¡ÖªÊ¶ºÍ¹¤¾ß³öÏÖÔÚÆäÓà¸÷·ÖÖ§ÖС£¶þÕß¹²Í¬ÒÔ¼«ÏÞΪ»ù±¾¹¤¾ß£¬·Ö±ð´ÓÀëÉ¢ÓëÁ¬ÐøÁ½¸ö·½Ã棬½áºÏÆðÀ´Ñо¿·ÖÎöѧµÄ¶ÔÏ󣬼´±äÁ¿Ö®¼äµÄÒÀÀµ¹ØÏµ©¤©¤º¯Êý¡£ÔÚ΢»ý·ÖѧÖлù±¾±äÁ¿ÊÇÒ»°ãµÄÁ¬Ðø±äÁ¿ x£¨´ú±í¾ßÌåµÄ±äÁ¿Èçʱ¼ät¡¢Â·³Ìs£¬ÖÊÁ¿mµÈµÈ£©£¬È¡ÖµÓÚÕâ¸ö»òÄǸöÇø¼ä£¬¼«ÏÞ¹ý³ÌÒ²ÊǶàÖÖ¶àÑùµÄ£»ÔÚ¼¶ÊýÀíÂÛÖлù±¾±äÁ¿¾ÍÊÇÀëÉ¢±äÁ¿n£¬ÆäֵΪȫÌå×ÔÈ»Êý:n=1£¬2£¬3£¬¡¡£ÕâÀKÏÞ¹ý³ÌÖ»ÓÐΩһµÄÒ»¸ö£¬¼´nÎÞÏÞÔö³¤£¬Ç÷ÏòÎÞÏÞ:n¡ú¡Þ¡£ÕâÀïÈÎÒ»º¯Êýu(n)µÄÖµu(n)=un×ÔÈ»ÐγÉÒ»¸öÐòÁÐu1£¬u2£¬u3£¬¡£¬un£¬¡;¶øÕâ¸öÐòÁÐ{un}Ò²¾ÍÍêÈ«±í´ïÁ˺¯Êýu(n)¡£
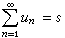
Ò»¸ö¼¶Êý£¨ÎÞÇî¼¶Êý£©ÊÇÓÉÒ»¸öÐòÁÐ{un}¾¹ý¡°ÖðÒ»¼ÓÏÂÈ¥¡±µÄÎÞÏÞ¹ý³Ì¶ø²úÉúµÄºÍÊýÐòÁУº
¡¡¡¡ (1)
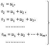
¼ò¼ÇΪu1+u2+¡+un+¡¡£Í¨³£³ÆunΪÕâ¼¶ÊýµÄÒ»°ãÏsmΪÆä²¿·ÖºÍ£¬²¢³£ÓÃËõд¼ÇºÅ
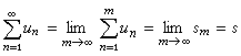
ÔÚmÎÞÏÞÔö³¤µÄ¹ý³ÌÖУ¬Èç¹û²¿·ÖºÍsmÇ÷ÏòÓÚÒ»¸ö¼«ÏÞs£¬ÄÇô¾Í³ÆsΪ¼¶ÊýµÄ¡°ºÍ¡±£¬²¢Ð´³É
¡£Õâʵ¼ÊÉϾÍÊÇ
¡£¡¡ (2)
Èç¹û²¿·ÖºÍsmµÄ¼«ÏÞs×÷Ϊһ¸öÓÐÏÞÊý¶ø´æÔÚ£¬¾Í˵¼¶Êý
ÊÇÊÕÁ²µÄ²¢ÒÔsΪÆäºÍÊý¡£·ñÔò£¬¾Í˵Õâ¼¶ÊýÊÇ·¢É¢µÄ£¬Ã»ÓкÍÊý¡£
ËùÒÔ£¬°´ÕÕϰ¹ßÁ˵ļ«Ï޹۵㣬һ¸ö¼¶ÊýÔÚÇÒÖ»ÔÚËüÊÕÁ²Ê±²ÅÏñÒ»¸öÓÐÏÞºÍÒ»Ñù¾ßÓÐÒ»¸öΩһȷ¶¨µÄºÍÊý¡£¼¶ÊýµÄºÍÊýÓë´úÊýÖеĺÍÊýµÄÇø±ðÖ»ÔÚÓÚ±»¼ÓÏîµÄ¸öÊýÊÇÎÞÏ޵ġ£ÕâÊǼ¶Êý¸ÅÄî·¢Õ¹µÄ»ù±¾³ö·¢µã¡£
×îÔç³öÏÖÔڹŴúµÄ¼¶ÊýÊǼ¸ºÎ¼¶Êý(µÈ±È¼¶Êý)
£¬ËüÓв¿·ÖºÍ
Òò¶øµ±ÇÒ½öµ±£ür£ü<1ʱÊÕÁ²¡£
Ò»¸öÒ»°ãµÄ¼¶Êý£¬Æä²¿·ÖºÍ²»Ò»¶¨¾ßÓÐÕâÑù¼òµ¥µÄ½á¹¹£¬ÕâʱÊ×ÏÈÐèÒªÖ±½Ó´Ó¼¶ÊýµÄÏîÅжϼ¶ÊýµÄºÍÊÇ·ñ´æÔÚ£¬¼´¼¶ÊýÊÇ·ñÊÕÁ²¡£È»ºó¾ÍÐèÒª¿¼ÂÇÕâ¼¶ÊýµÄºÍ£¬×÷ΪÎÞÏÞÏîµÄºÍ£¬¼Ì³ÐÁË»ò±£´æ×ÅÓÐÏ޺͵ÄÄÄЩÐÔÖÊ£¬»òÕßÓÐÏ޺͵Äij¸öÐÔÖÊÔÚʲôÌõ¼þÏÂÄܹ»´«µÝ¸ø¼¶ÊýµÄºÍ¡£ÕâÁ½¸öÎÊÌ⣬ÊÕÁ²ÎÊÌâÓëÐÔÖÊÎÊÌ⣬±ãÊǼ¶ÊýÀíÂ۵Ļù±¾ÎÊÌâ¡£
¼¶ÊýÊÕÁ²µÄÔÒâÊÇËüµÄ²¿·ÖºÍÐòÁÐÊÕÁ²£»ËùÒÔ£¬Èç¹û²»½øÒ»²½Éæ¼°¼¶Êý½á¹¹µÄÌØÊâÐÔÖÊ£¬Ôò¼¶ÊýÊÕÁ²µÄ±ØÒª³ä·ÖÌõ¼þ²»ÍâÊǹØÓÚÆä²¿·ÖºÍÐòÁÐsmµÄ¿ÂÎ÷ÊÕÁ²ÔÀí£º
£üsm-sn£üÈÎÒâС£¬Ö»ÒªmºÍn³ä·Ö´ó¡£ (3)
È¡m=n-1£¬¼´µÃ¼¶Êý
ÊÕÁ²µÄÒ»¸ö±ØÒªÌõ¼þ£º
un¡ú0¡£¡¡¡¡¡¡¡¡ (4)
ÓÚÊǼ¶ÊýµÄÊÕÁ²ÎÊÌ⣬ֻÔÚÒ»°ãÏîÊÇÎÞÏÞСÁ¿µÄǰÌáÏ£¬²ÅÊÇÖµµÃ¿¼ÂǵÄÎÊÌâ¡£
Ò»°ã˵À´£¬µ¥´¿´ÓÊýÁ¿ÉÏ¿´£¬¼¶ÊýÓëÐòÁÐÊÇÏ໥ȷ¶¨µÄ:sm°´(1)ÓÉunÈ·¶¨;un°´ºãµÈʽ
ÓÉsmÈ·¶¨¡£µ«ÊÇ£¬ÔÚ¸ÅÄîÉÏ£¬¼¶Êý²»Í¬ÓÚÐòÁУºËüÒþº¬×ÅÎÞÏ޴μӷ¨£¬Òâζ×ÅÊ©ÐÐÓÚÐòÁеÄÒ»ÖÖÔËËã
ÕâÖÖÔËËãÔÚÓÐЧ£¨¼´ÊÕÁ²£©µÄÇéÐΣ¬¸ø³öÒ»¸ö¡°¿ÉÊýÎÞÏÞ¡±µÄºÍÊý£¬ÀàËÆÓÚ¶¨»ý·ÖµÄÔËËãÔÚÓÐЧ£¨¼´¿É»ý£©µÄÇéÐθø³öÒ»¸ö¡°Á¬ÐøÎÞÏÞ¡±µÄºÍÊý£¨¼´»ý·ÖµÄÖµ£©¡£ÕýÊǼ¶ÊýµÄÕâÖÖÔËËãÌØÕ÷ʹËü²»Í¬ÓÚÐòÁжøÀàËÆÓÚ»ý·Ö£¬¶øÓÐÕâÑùÀàËÆµÄ»ù±¾ÐÔÖÊ£º
¡¡ (5)
ÕâÒ»Çж¼ÊÇÔÚ¡°ºÍÊý¡±´æÔÚ©¤©¤¼´¼¶ÊýÊÕÁ²µÄǰÌáÏÂÀ´¿¼Âǵġ£Ò»°ãµØ£¬¿¼ÂǼ¶ÊýÀíÂ۵Ļù±¾ÎÊÌâʱ£¬×ÜÊÇÊ×ÏÈ¿¼ÂÇÊÕÁ²ÎÊÌ⣬Ȼºó¿¼ÂÇÐÔÖÊÎÊÌâ¡£
µ¥µ÷ÊÕÁ²ÊÕÁ²ÐÔµÄ×î¼òµ¥ÐÎʽ¡£
ÕýÏî¼¶Êý
´ú±í×ÅÊÕÁ²ÐÔ×î¼òµ¥µÄÇéÐΡ£ÔÚÕâÖÖÇéÐΣ¬¼¶Êý
µÄ²¿·ÖºÍ sm=u1+u2+¡+umËæ×Åmµ¥µ÷Ôö³¤£¬µÈ¼ÛÓÚ¼¶ÊýµÄÒ»°ãÏîun¡Ý0(Òò´Ë£¬ÓÐʱҲ³ÆÎª·Ç¸ºÏî¼¶Êý)¡£ÓÚÊǼ¶Êý(¡Æun)ÊÕÁ²µÈ¼ÛÓÚ²¿·ÖºÍ(sm) Óн硣ÏîԽС£¬²¿·ÖºÍ¾ÍÔ½ÇãÏòÓÚÓн磬Òò¶øÕýÏî¼¶ÊýÓбȽÏÅб𷨣º
¡£¡¡ (6)
ͬÑù£¬Ã¿Ïî±ÈǰÏîµÄ±ÈÖµ½ÏС£¬²¿·ÖºÍÒ²¾ÍÔö¼Ó½ÏÉÙ¶ø½ÏÇãÏòÓÚÓн磬Òò´ËÕýÏî¼¶ÊýÓÖÓбÈÖµÅб𷨣º
(7)
È¡¼¸ºÎ¼¶Êý¡Ærn×÷Ϊ±È½Ï±ê×¼£¬ÔòÓÐ
£» ¡¡ (8)
¡£ ¡¡ (9)
ÊÂʵÉÏ£¬Õâ¶¼ÔÚÓڶ϶¨unµÄ´óСÊýÁ¿¼¶£º
£¬ÆäÖÐBΪÓнç±äÁ¿£¬§+¦Ä<1¡£
µ¥µ÷ÕýÏî¼¶Êý
µ±ÕýÏî¼¶ÊýµÄÏî unµ¥µ÷µÝ¼õÇ÷ÓÚ0ʱ£¬ ×ÔÈ»µØÈÝÒ×À©³ä³ÉÒ»¸öµ¥µ÷µÄÁ¬Ðøº¯Êý u(x) ʹµÃun=u(n)¡ú0¡£ ÕâÑù±ã¿ÉÖ±¹ÛµØ°ÑÎÞÇî¼¶ÊýͬÎÞÇî»ý·Ö½øÐбȽ϶øµÃµ½»ý·ÖÅб𷨣º
¡£¡¡ (10)
¶øÇÒ£¬Ò»µ©ÕâÑùתµ½Á¬Ðø±äÁ¿£¬¾Í¿ÉÒÔÀûÓÃÁ¬Ðø±äÁ¿µÄ±ä»»ÓÚ»ý·Ö¶ø½øÒ»²½µÃµ½Ö¸Êý±ä»»Åб𷨣¨Ò¶¶ûÂí¿Æ·òÅб𷨣©£º
¡£¡¡ (11)
ÓÉ´ËÒ×¼û£¬p ½×µ÷ºÍ¼¶Êý
ÒÔ¼°¶ÔÊýµ÷ºÍ¼¶Êý
¶¼ÊÇÔÚp>1ʱÊÕÁ²£¬ÔÚp¡Ü1ʱ·¢É¢¡£
ÕýÏî¼¶ÊýµÄÔËËã
ÕýÏî¼¶ÊýÔÚÔËËã¹ý³ÌÖкÜÏñÓÐÏ޺͡£Ëü²»½ö¾ßÓÐÒ»°ãµÄÏßÐÔÐÔÖÊ(5)£¬¶øÇÒËüµÄÏî¿ÉÒÔÎÞÏ޴ν»»»£¬ÎÞÏ޴ηÖÅ䣺
£¬
£¬
ÆäÖÐp(n)Ö¸×ÔÈ»ÊýÐòÁеÄÈÎÒ»ÅÅÁУ¬
Ö¸¶ÔµÚÒ»ÏóÏÞÖÐ×ø±êΪ×ÔÈ»ÊýµÄµãµÄÈÎÒ»ÅÅÁУ¨³ÉÒ»ÐòÁУ©½øÐÐÇóºÍ£¨³ÉÒ»¼¶Êý£©¡£
ÊÕÁ²ÐÔµÄÒ»ÖÖÇ¿»¯ÐÎʽ¡£
½»´í¼¶Êý
ÕýÏî¼¶ÊýÖ®Í⣬Èç¹ûÒ»¸ö¼¶ÊýûÓÐÕýÏ»òÕßÖ»ÓÐÓÐÏÞ¸öÕýÏ»òÕßÖ»ÓÐÓÐÏÞ¸ö¸ºÏÔòÆäÊÕÁ²ÎÊÌâ¶¼¿ÉÒÔ¹é½áµ½Ò»¸öÕýÏî¼¶ÊýµÄÊÕÁ²ÎÊÌ⣬ËùÒÔÖ»Ð迼ÂÇÒ»¸ö¼¶Êý¼ÈÓÐÎÞÏÞ¸öÕýÏîÓÖÓÐÎÞÏÞ¸ö¸ºÏîµÄÇéÐΡ£ÔÚÕâÖÖ¼¶ÊýÖУ¬½á¹¹×î¼òµ¥µÄÊÇÕý¸ººÅÖðÏîÏà¼äµÄ¼¶Êý£¬½Ð×ö½»´í¼¶Êý£º
¡£ (12)
¶Ô´ËÓÐ
À³²¼Äá´Ä¶¨Àí¡¡ÈôÒ»½»´í¼¶ÊýµÄÏîµÄ¾ø¶ÔÖµµ¥µ÷Ç÷ÓÚÁ㣬ÔòÕâ¼¶ÊýÊÕÁ²¡£
ÏÔÈ»£¬Ò»¸ö½»´í¼¶ÊýÔÚÐÎʽÉÏ¿ÉÒÔ¿´³ÉÁ½¸öÕýÏî¼¶ÊýÖ®²î£º
¡£
ͬÑù£¬Ã¿Ò»¸ö¼¶ÊýÔÚÐÎʽÉ϶¼¿ÉÒÔ¿´³ÉÁ½¸öÕýÏî¼¶Êý(¼´Õâ¼¶ÊýµÄ¡°Õý²¿·Ö¡±Óë¡°¸º²¿·Ö¡±£©Ö®²î£º
£¬¡¡¡¡¡¡(13)
ʽÖÐ
£¬
¡£
²»¹ý£¬ÕâÑù·Ö½âÖ»Óе±·Ö½â³ÉµÄ¼¶Êý(13)¶¼ÊÕÁ²µÄǰÌáϲÅÊÇÓÐÒâÒåµÄ£¬Õâ¾Íµ¼ÖÂÈËÃÇÀ´¿¼ÂÇÒ»¸ö¼¶ÊýÖðÏîÈ¡¾ø¶ÔÖµºóËùµÃµ½µÄÕýÏî¼¶Êý
¡¡¡¡¡¡(14)
ÊÇ·ñÊÕÁ²µÄÎÊÌâ¡£
¾ø¶ÔÊÕÁ²µÄ¼¶Êý
Ò»¸öÊÕÁ²µÄ¼¶Êý£¬Èç¹ûÔÚÖðÏîÈ¡¾ø¶ÔÖµÖ®ºóÈÔÈ»ÊÕÁ²£¬¾Í˵ËüÊǾø¶ÔÊÕÁ²µÄ£»·ñÔò¾Í˵ËüÊÇÌõ¼þÊÕÁ²µÄ¡£
¼òµ¥µÄ±È½Ï
¾Í±íÃ÷£¬Ö»Òª¡Æ£üun£üÊÕÁ²¾Í×ãÒÔ±£Ö¤
ÊÕÁ²;Òò¶ø·Ö½âʽ(13)²»½ö±íÃ÷¡Æ£üun£üµÄÊÕÁ²Òþº¬×ÅÔ¼¶Êý¡ÆunµÄÊÕÁ²£¬¶øÇÒ°ÑÔ¼¶Êý±í³ÉÁËÁ½¸öÊÕÁ²µÄÕýÏî¼¶ÊýÖ®²î¡£ÓÉ´ËÒ×¼û£¬¾ø¶ÔÊÕÁ²¼¶ÊýͬÕýÏî¼¶ÊýÒ»Ñù£¬ºÜÏñÓÐÏ޺ͣ¬¿ÉÒÔÈÎÒâ¸Ä±äÏîµÄ˳ÐòÒÔÇóºÍ£¬¿ÉÒÔÎÞÏÞ·ÖÅ䵨Ïà³Ë¡£
µ«ÊÇÌõ¼þÊÕÁ²µÄ¼¶Êý£¬¼´ÊÕÁ²¶ø²»¾ø¶ÔÊÕÁ²µÄ¼¶Êý£¬¾ö²»¿ÉÒÔÕâÑù¡£Õâʱ(13)ʽÓұ߳ÉΪÁ½¸ö·¢É¢(µ½£«¡Þ)µÄ¡¢ÆäÏîÇ÷ÓÚÁãµÄ¡¢ÕýÏî¼¶ÊýÖ®²î£¬¶Ô´ËÓÐÀèÂü¶¨Àí¡£
ÀèÂü¶¨Àí¡¡Ò»¸öÌõ¼þÊÕÁ²µÄ¼¶Êý£¬ÔÚÆäÏî¾¹ýÊʵ±µÄÅÅÁÐÖ®ºó£¬¿ÉÒÔÊÕÁ²µ½Ò»¸öÊÂÏÈÈÎÒâÖ¸¶¨µÄÊý£»Ò²¿ÉÒÔ·¢É¢µ½£«¡Þ»ò£¡Þ£»Ò²¿ÉÒÔûÓÐÈκεĺ͡£
Ò»ÖÂÊÕÁ²ÊÕÁ²ÐÔÓ뺯ÊýÁ¬ÐøÐÔ½áºÏµÄ×îÖØÒªµÄÐÎʽ¡£
º¯Êý¼¶Êý
Èç¹û¼¶ÊýµÄÿһÏîÒÀÀµÓÚÒ»¸öÁ¬Ðø±äÁ¿x£¬un=un(x)£¬xÔÚÒ»¸öÇø¼ä¦Á¡Üx ¡ÜbÉϱ仯£¬Õâ¸ö¼¶Êý¾Í³ÉΪһ¸öº¯ÊýÏî¼¶Êý£¬¼ò³Æº¯Êý¼¶Êý£¬¼ÇΪ
¡£¡¡¡¡ (15)
ÕâÀïxµÄÖµ×ÔÈ»±»·Ö³ÉÁ½ÀàCºÍD£¬Ê¹µÃµ±xÊôÓÚCʱ¼¶ÊýÊÕÁ²£¬µ±xÊôÓÚDʱ¼¶Êý·¢É¢¡£¼¸ºÎ¼¶Êý¡ÆrnÊÂʵÉϾÍÊÇÒ»¸öº¯Êý¼¶Êý£¬ËüµÄÊÕÁ²·¶Î§ÊÇÒ»¸öÇø¼ä(£1<r<1)¡£Î¢·ÖѧÀïµÄÌ©ÀÕ¼¶Êý´ú±í×ÅÒ»ÀຯÊý¼¶Êý£¬ÐÎÈç
£¬ (16)
³ÆÎªÃݼ¶Êý¡£ÕâÖÖ¼¶Êý£¬×÷Ϊ¼¸ºÎ¼¶ÊýµÄÒ»ÖÖÍÆ¹ã£¬ÆäÊÕÁ²·¶Î§CÈÔÈ»ÊÇÒ»¸öÇø¼ä£¨ÒÔx=x0ΪÖÐÐÄ£¬´ø»ò²»´ø¶Ëµã£¬ÓÐÏÞ»òÎÞÏÞ£¬»òÍË»¯³ÉÒ»µã£©¡£ÕâÖÖ¼¶Êý£¬µ±x»»³É¸´±äÁ¿zÖ®ºó£¬³ÉΪÑо¿¸´±äº¯ÊýµÄÒ»¸ö»ù±¾¹¤¾ß£¨¼û¸´±äº¯ÊýÂÛ£©¡£»ý·ÖѧÀïµÄ¸µÀïÒ¶¼¶Êý´ú±í×ÅÁíÒ»ÀຯÊý¼¶Êý£¬ÐÎÈç
£¬ (17)
³ÆÎªÈý½Ç¼¶Êý¡£ÕâÖÖ¼¶ÊýÊÇÑо¿Êµ±äº¯ÊýµÄÒ»¸öÖØÒª¹¤¾ß£¬ËüÃǵÄÊÕÁ²·¶Î§Ò»°ãºÜ¸´ÔÓ£¬¶ÔËüÃǵÄÑо¿´ÙʹÁËg.£¨f.p.£©¿µÍжû´´½¨¼¯ºÏµÄ»ù´¡ÀíÂÛ£¨¼ûʵ±äº¯ÊýÂÛ¡¢¸µÀïÒ¶·ÖÎö£©¡£
Ò»°ã˵À´£¬Ò»¸öº¯Êý¼¶ÊýµÄºÍº¯Êý£¬×÷Ϊһ¸öÎÞÏÞÏîµÄºÍ£¬²»ÊÇÔÚËüµÄÕû¸öÊÕÁ²¼¯CÉÏ£¬¶øÊÇÖ»ÔÚCµÄijÖÖ´øÓÐÏÞÖÆµÄ²¿·ÖC1ÉÏ£¬²ÅÏñÒ»¸öÓÐÏÞÏîµÄºÍ¡£ÏÂÃæÊÔ´ÓCµÄijһµãx³ö·¢À´¿´¼¶Êý(15)µÄÊÕÁ²ÐÔ¡£Õâ¼¶ÊýÔÚÕâÒ»µãx´¦ÊÕÁ²£¬¾ÍÊÇ˵£¬ËüµÄ²¿·ÖºÍsm(x)ÊÕÁ²µ½Ò»¸öºÍÊýs(x)£¬Ò²¾ÍÊÇ˵£º¶ÔÓÚÈÎÒâÒ»¸öÕýÊý
¶¼ÓÐ
£¬
Ö»Òªm³ä·Ö´ó¡£Õâ¸ö²»µÈʽ»¹¿ÉÄܶÔÓÚCµÄÆäËûһЩµãxÒ²³ÉÁ¢¡£Èç¹ûÕâ¸ö²»µÈʽÔÚCµÄijһ²¿·ÖC1ÉÏ´¦´¦³ÉÁ¢£¬Õâ¾ÍÒâζ×Åsm(x)Õâ¸öº¯ÊýÔÚ¼¯ºÏC 1ÉÏÒ»ÖµؽüËÆÓÚs(x)Õâ¸öº¯Êý£¬¾«È·¶È£¨´¦´¦£©ÔÚ
ÒÔÄÚ¡£¶øÈç¹ûÕâÔÚC1É϶ÔÓÚÿһ¸öÕýÊý
¶¼³ÉÁ¢Ö»Òªm³ä·Ö´ó£¬ÄǾÍÒâζ×ÅÕâÒ»ÐòÁк¯Êýsm(x)£¬»òÕß¾Í˵ÊǺ¯Êý¼¶Êý¡Æun(x)±¾Éí£¬ÔÚC1ÉÏÒ»ÖµØÎÞÏޱƽüÓÚº¯Êýs(x)£¬»òÕß¼òµ¥µØËµ£¬ sn(x)Ò»ÖµØÊÕÁ²µ½º¯Êýs(x)¡£ÕâÑù£¬ÔÀ´µÄÊÕÁ²¸ÅÄÔÚÓ뺯Êý¸ÅÄî½áºÏÖ®ºó£¬¾Í·¢Õ¹³ÉΪÊʺÏÓÚº¯Êý¼¶ÊýµÄÒ»ÖÖÊÕÁ²¸ÅÄî¡£
Ò»ÖÂÊÕÁ²µÄ¼¶Êý
Ò»¸öº¯Êý¼¶Êý
˵ÊÇÔÚÒ»¸ö¼¯ºÏC1ÉÏÒ»ÖµØÊÕÁ²µ½ËüµÄºÍº¯Êýs(x)£¬ÊÇÖ¸¶ÔÓÚÿһ¸öÕýÊý
¶¼´æÔÚÒ»¸ö×ÔÈ»ÊýN£¨²»ÒÀÀµÓÚx£©£¬Ê¹µÃµ±m>N ʱ
£¬ (18)
¶ÔÓÚÒ»ÇÐÊôÓÚC1µÄx¶¼³ÉÁ¢¡£
Õâʱ¼¶ÊýµÄºÍº¯Êýs(x)£¬×÷Ϊһ¸öÎÞÏÞÏîµÄºÍ£¬±ã¿ÉÔÚÕû¸ö¼¯ºÏC1ÉÏͨ¹ýÌØÕ÷ÐÔÖÊ(18)¼Ì³ÐÓÐÏÞÏîºÍµÄһЩ·ÖÎöÐÔÖÊ¡£
ÖðÏî»ý·Ö¶¨Àí É躯Êý¼¶Êý
ÔÚÓÐÏÞ±ÕÇø¼ä¦Á¡Üx¡ÜbÉÏÒ»ÖµØÊÕÁ²¡£ÓÚÊÇ£¬Èô¼¶ÊýµÄ¸÷Ïî¶¼Á¬Ðø£¬Ôò¼¶ÊýµÄºÍÒ²Á¬Ðø²¢ÇÒ¿ÉÒÔÖðÏî»ý·Ö£º
¡£ ¡¡ (19)
¹ØÓÚÖðÏî΢·Ö£¬Ã»ÓÐÖ±½ÓÀàËÆµÄ¶¨Àí£¨ÒòΪһÖÂСµÄº¯Êýrm(x)µÄµ¼Êý¿ÉÒÔÈÎÒâ´ó£©;µ«ÊÇͨ¹ý΢·ÖÓë»ý·ÖµÄ»¥Äæ¹ØÏµ£¨Î¢»ý·Ö»ù±¾¶¨Àí£©Äܹ»°ÑÉÏÊö¶¨Àíת±ä³ÉÖðÏî΢·ÖµÄÐÎʽ¡£
ÖðÏî΢·Ö¶¨Àí ¡¡É躯Êý¼¶Êý
ÔÚÇø¼ä¦Á<x<bÄÚÊÕÁ²£¬¸÷Ïî¶¼¾ßÓÐÁ¬ÐøµÄµ¼Êý¡£ÓÚÊÇ£¬ÈôÖðÏîÈ¡µ¼ÊýËùµÃµÄ¼¶ÊýÔÚ¸ÃÇø¼äÄÚÒ»ÖÂÊÕÁ²£¬ÔòÔ¼¶ÊýµÄºÍÒ²¾ßÓÐÁ¬ÐøµÄµ¼Êý²¢ÇÒ¿ÉÒÔÖðÏî΢·Ö£º
¡£ (20)
¼¶ÊýÔÚÖðÏîÈ¡¾ø¶ÔÖµÖ®ºó¾Í³ÉΪÕýÏî¼¶Êý£¬ÏÔÈ»¿ÉÒÔÒÀÒ»ÖÂÊÕÁ²ÐÔ½øÐбȽϣ¬ÌرðÊÇÓÃÒ»¸ö³£Êý¼¶Êý½øÐбȽϣ¬±ãÓÐMÅб𷨡£ MÅб𷨡¡É躯Êý¼¶Êý
ÔÚÒ»¼¯ºÏC1ÉÏÊܳ£Êý¼¶Êý
¿ØÖÆ£º
¡£¡¡¡¡ (21)
ÓÚÊÇ£¬Èô
ÊÕÁ²£¬Ôò
ÔÚC1ÉÏÒ»ÖÂÊÕÁ²¡£
º¯ÊýµÄ¼¶ÊýÕ¹¿ª
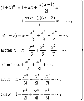
Ò»¸öº¯Êý¼¶ÊýÔÚÆäÊÕÁ²·¶Î§ÄÚ´ú±íÒ»¸öº¯Êý£¬¼´ËüµÄºÍ£ºµ±ºÍº¯Êýδ¸ø¶¨Ê±£¬¼¶ÊýÊǶ¨ÒåÕ⺯ÊýµÄÒ»ÖÖ·½Ê½£»µ±ºÍº¯ÊýÒѸø¶¨Ê±£¬¼¶ÊýÊǽÒʾÕ⺯ÊýÒÀÀµÓÚ»ù±¾±äÁ¿µÄ¹æÂɵÄÒ»ÖÖ·½Ê½©¤©¤º¯ÊýµÄ¼¶ÊýÕ¹¿ª¡£Î¢»ý·ÖÔÚ´´½¨µÄ³õÆÚͨ¹ýÐÎʽ´¦ÀíµÃµ½ÁËÐí¶à³õµÈº¯ÊýµÄ¼¶ÊýÕ¹¿ª£¬×îÖØÒªµÄÓÐ
¡¡ (22)
µ«Ö»Êǵ½ÁË£¨Ô¼ 200ÄêÖ®ºó£©Ò»ÖÂÊÕÁ²¸ÅÄîÃ÷È·µÄʱºò²Å֤ʵ£¬ÕâÖÖÃݼ¶ÊýÕ¹¿ªÔÚÊÕÁ²Çø¼äÄÚ¿ÉÒÔÖðÏî΢·ÖºÍ»ý·Ö²¢ÇÒÊÕÁ²£¨Çø¼äµÄ£©°ë¾¶r²»±ä£¨ÔÚǰÈý¸öÖÐ r£½1£¬ºóÈý¸öÖÐr£½¡Þ£¬¶øµÚÒ»¸öµ±¦Á ΪÁã»òÕýÕûÊýʱ»¯Îª¶àÏîʽÒò¶øÒ²ÓÐr£½¡Þ£©¡£ÕâʱÈËÃDzÅÑÏÃܵØÖ¤Ã÷ÁË£¬Ãݼ¶ÊýÔÚÆäÊÕÁ²Çø¼äÄÚÄܹ»ÍêÈ«´ú±íËüµÄºÍº¯Êý²Î¼Ó·ÖÎöÔËËã¡£ÓÚÊÇ¿ÉÒÔÖðÏî΢·ÖÈÎÒâ¶à´Î£¬ËùÒÔÕâÃݼ¶Êý±¾Éí¾ÍÊÇËüµÄºÍº¯ÊýÔÚÊÕÁ²Çø¼äÖÐÐÄ´¦µÄÌ©ÀÕ¼¶Êý£¬Òò¶øÊÇΩһµÄ¡£¾Ý´Ë£¬Ò»¸öÌ©ÀÕ¼¶ÊýµÄϵÊý²»Ò»¶¨Òªµ¥´¿Í¨¹ýÀÛ´Î΢·Ö
¶ø¿ÉÒÔͨ¹ýijЩÃݼ¶ÊýµÄ·ÖÎöÔËËãÀ´ÇóµÃ¡£Õâ¾ÍʹÈËÃÇÄܹ»²¹³ä»ù±¾Õ¹¿ª±í(22)ÖÐËùȱÉÙµÄÏ൱ÓÚtanxµÄÕ¹¿ª£¬Ëü²»ÄÜÏñ·´Èý½Çº¯ÊýÄÇÑùͨ¹ýÖðÏî»ý·ÖµÃµ½(ÒòΪûÓÐÏֳɵÄÃݼ¶ÊýÕ¹¿ª×÷³ö·¢µã)£¬Ò²²»ÄÜÏóÆäËû»ù±¾³õµÈº¯ÊýÄÇÑùͨ¹ýÖ±½ÓÇóÀÛ´Î΢·ÖµÃµ½£¨ÒòΪ΢·Ö´ÎÊýÔ½¶à¼ÆËãÔ½¸´ÔÓ£©¡£ÏÖÔÚÀûÓÃÃݼ¶ÊýÕ¹¿ªµÄΩһÐÔ±ã¿ÉÑÏÃܵØÖ¤Ã÷£º
£¬ (23)
ʽÖÐB2nÊDz®Å¬ÀûÊý£¬È·¶¨ÓÚÕ¹¿ªÊ½
¡£ ¡¡ (24)
ÖÁÓÚÈý½Ç¼¶ÊýÕ¹¿ªÊ½µÄΩһÐÔ£¬ÔòÏñËüµÄÊÕÁ²¼¯Ò»Ñù¸´ÔÓ£¬³ÉÁËÈý½Ç¼¶ÊýÀíÂÛÑо¿µÄÒ»¸ö»ù±¾ÎÊÌâ¡£
º¯ÊýµÄ¼¶ÊýÕ¹¿ª¾ßÓÐÈçϹ²Í¬µÄÐÎʽ£º
¡£ (25)
Õâ¸öÐÎʽµÄ¼¶Êý£¬×÷ΪÃݼ¶ÊýµÄÍÆ¹ã£¬ÆäÊÕÁ²ÎÊÌâµÄ·ÖÎöÈԾɿÉÒÔÀûÓÃn.h.°¢±´¶ûÔÚÑо¿Ãݼ¶ÊýµÄÊÕÁ²ÎÊÌâʱËùÒý½øµÄ²¿·ÖÇóºÍ·¨¡£
²¿·ÖÇóºÍ·¨¡¡Éè
£¬ÔòÓкãµÈʽ
¡¡ (26)
Õâ¸ö·½·¨£¨ÀàËÆÓÚ·Ö²¿»ý·Ö·¨£©Á¢¼´¸ø³ö£º
£¨1£©¼¶Êý(25)ÔÚÒ»¸ö¼¯ºÏ C1ÉÏÒ»ÖÂÊÕÁ²µÄÒ»×é³ä·ÖÌõ¼þÊÇ£¬¼¶Êý¡Æ¦ÁnÊÕÁ²¶øÐòÁÐvn(x)ÔÚC1ÉÏÒ»ÖÂÓн粢ÇÒ´¦´¦µ¥µ÷¡£
£¨2£©¼¶Êý(25)ÔÚÒ»¸ö¼¯ºÏ C 1ÉÏÒ»ÖÂÊÕÁ²µÄÒ»×é³ä·ÖÌõ¼þÊÇ£¬¼¶Êý¡Æ¦ÁnÓÐ½ç¶øÐòÁÐvn(x)ÔÚC1ÉÏÒ»ÖÂÊÕÁ²µ½0²¢ÇÒ¼¶Êý
ÔÚC1ÉÏÒ»ÖÂÊÕÁ²¡£
ÕâÁ½¸ö½á¹û¶¼ÊÇÀ³²¼Äá´Ä½»´í¼¶Êý¶¨ÀíµÄÍÆ¹ã¡£
¹ãÒåÊÕÁ²ÊÕÁ²¸ÅÄîµÄ½ü´ú·¢Õ¹¡£
½¥½ü¼¶Êý
ÔÚËù¿¼ÂǵÄÎÊÌâÖ»Ðè×¢Òâ»ù±¾±äÁ¿ x³ä·Ö´óµÄÇéÐΣ¬Ï൱ÓÚ¹ý³Ìx¡ú+¡Þ£¬ÕâÀﺯÊýµÄ¼¶ÊýÕ¹¿ª¾ÍÒªÒÀ
µÄÃÝÀ´½øÐУ¬¶øÕ¹¿ªµÄÒâÒåÔÚÓÚÿÔö¼ÓÒ»Ïî¾ÍÒªÓÐÒ»ÏîµÄЧ¹û£¨¦Á¡ú0µ±x¡ú+¡Þ£©£º
£¬ (27)
m=1£¬2£¬3£¬¡¡£Õâʱ£¬ÔÚxy×ø±êÆ½ÃæÄÚ£¬ÕâÒ»ÐòÁв¿·ÖºÍsm(x)×÷Ϊº¯Êý£¬Æä´ú±íÇúÏßy=sm(x)¶¼ÊÇÔÀ´º¯Êýy=ƒ(x)µÄ½¥½üÏߣ¨Ö±µÄ»òÇúµÄ£©£¬Ã¿Ò»¸ö±Èǰһ¸ö¸üÇнüÓÚÇúÏßy=ƒ(x)¡£Òò´Ë£¬²ÉÓÃH.ÅÓ¼ÓÀ³µÄÓÃÓï¾ÍÊÇ£¬¼¶Êý
ÊÇÒ»¸ö½¥½ü¼¶Êý£¬½¥½üµØ´ú±íן¯Êýƒ(x)¡£Í¨³£°ÑÕâ¼ò¼ÇΪ
¡£¡¡ (28)
ÕâÑùµÄ½¥½ü¼¶ÊýËäÈ»ÍùÍùÊÇ·¢É¢µÄ£¬µ«ÈÔ¿ÉÒÔ´úÌæËüËù½¥½ü±íʾµÄº¯Êý²Î¼ÓËÄÔòÔËË㣬ֻҪ×÷Ϊ³ýÊýµÄ¼¶ÊýµÄ³£ÊýÏΪ0£»Ò²¿ÉÒÔÖðÏî΢·Ö£¬Ö»Òªº¯ÊýµÄµ¼º¯Êýƒ¡ä(x)ȷʵ¾ßÓн¥½üÕ¹¿ª£»»¹¿ÉÒÔÖðÏî»ý·Ö£¬Ö»Òª°ÑÐÎʽ¹ØÏµ
Àí½âΪ
¡£
Òò´Ë½¥½ü¼¶Êý¿ÉÒÔ£¨Í¨¹ý´ý¶¨ÏµÊý·¨£©ÓÃÓÚÇó½â΢·Ö·½³Ì¡£µ±È»£¬ÔÚÔÀ´ÒâÒåÏ¿ÉÓÃÓÚ½üËÆ¼ÆË㣬ÀýÈçË¹ÌØÁÖ¹«Ê½
¡¡¡¡ (29)
Öеļ¶ÊýËäÊÇ·¢É¢µÄÈ´Êǽ¥½üµÄ£¨Ê½ÖеÄBn¾ÍÊÇʽ(24)ÖеIJ®Å¬ÀûÊý£©£¬Ö»Ðèȡǰ¼¸Ïî¾ÍÄܹ»ËãµÃ£¨×¼È·µ½Ð¡Êýµãºó10λµÄ£©½üËÆÖµ£º
lg(1000!)=2567.¡¡£
·¢É¢¼¶Êý
×îÔçµÄº¯ÊýµÄ¼¶ÊýÕ¹¿ª
£¬ (30)
ÔÚx=-1ʱ¸ø³ö
¡£ (31)
Õâ¸öã£ÂÛʽµÄµÈʽÔÚ¼¶ÊýÀíÂ۵ķ¢Õ¹¹ý³ÌÖв»Ê±¼¤ÆðÈËÃǵÄ˼Ë÷¡£À³²¼Äá´ÄÈÏΪÕâÓ¦´ÓÕâ¸ö¼¶ÊýµÄ²¿·ÖºÍËù¿ÉÄÜÈ¡µÄÖµ(1£¬0£¬1£¬0£¬¡)µÄËãÊõƽ¾ùÀ´Àí½â¡£l.Å·ÀÈÏΪÔÚÉæ¼°¼¶ÊýµÄ·ÖÎöÑо¿ÖÐÓ¦¼á³Öº¯Êý¹Ûµã£ºÒ»¸öÓÐÏ޵ķÖÎö±í´ïʽµÄ£¨ÃÝ£©¼¶ÊýÕ¹¿ªÓ¦ÔÚ·ÖÎöÔËËãÖе±×÷¸Ã±í´ïʽµÄµÈ¼ÛÎÒò¶ø¼¶ÊýµÄºÍ¾ÍÊÇËüËùÓÉÖ®¶øÀ´µÄ·ÖÎö±í´ïʽµÄÖµ¡£ÕâЩ¿´·¨Æô·¢ÁËÈËÃÇ£¬¶ÔÒ»¸ö¼¶Êý£¬ÉõÖÁËüÊÇ·¢É¢µÄ£¬ÊÇ·ñÈÔ¿ÉÒÔ¿¼ÂÇËüÔÚ¹ãÒåÒâÒåϵĺ͡£Ò»°ã˵À´£¬¾Íº¯ÊýµÄ¼¶ÊýÕ¹¿ªµÄÌØ¶¨ÐÎʽ(25)¶øÂÛ£¬Ö»ÒªËü¶ÔÓÚ³ä·Ö´óµÄx¶¼³ÉÁ¢¶øÓÖµ±x¡ú£«¡ÞʱÓÐ
¡¡¡¡ (32)
ÇÒ¼«ÏÞÖµƒ(£«¡Þ)×÷Ϊº¯ÊýµÄ±ß½çÖµÊÇÒ»ÓÐÏÞÊý£¬ÄÇô¾Í¿ÉÒÔ˵ϵÊý¼¶Êý
ÔÚÒÀº¯ÊýÐòÁÐ{vn(x)}µÄÕ¹¿ªÖпɺ͵½ƒ(+¡Þ)£¬ÒÔƒ(+¡Þ)Ϊ¹ãÒåºÍ£¬²¢°ÑÕâÖÖ±ßÖµÊÕÁ²¹ØÏµ¼òµ¥µØ¼ÇΪ
¡£ ¡¡ (33)
²»¹ý£¬Èç¹ûҪȡ¶¨{vn(x)}×÷ΪһÖÖ¹ãÒåºÍµÄ²Î¿¼Ïµ£¬¾ÍÓ¦µ±ÊÂǰÊʵ±µØÑ¡È¡º¯Êý vn(x)ʹµÃËù²úÉúµÄÕâÖÖÇóºÍ·¨ÊÇÕý¹æµÄ£¬¼´Ã¿Ò»¸öÊÕÁ²¼¶Êý¡Æ¦Án¶¼¿ÉºÍµ½ËüÔÓеĺÍA¡£Õâͨ¹ý°¢±´¶û²¿·ÖÇóºÍ·¨(26)¿ÉÒÔÓü¶ÊýµÄ²¿·ÖºÍAn±íʾ³É
£¬ (34)
ÆäÖÐ
¡£ (35)
ÕâÑù£¬Õâ¸öÇóºÍ·¨ÎªÕý¹æµÄÒ»¸ö±ØÒª³ä·ÖÌõ¼þÊÇ£¬¶ÔxÒ»ÖµØÓÐ
£» (36
¶øÇ°ÌáÌõ¼þ(32)ÔÚÕâÀï±ä³É
(37)¿É¼û¹ãÒåÊÕÁ²ÄËÊǼ¶ÊýµÄ²¿·ÖºÍ°´Ò»ÖÖÆ½¾ùÒâÒåÀí½âµÄÊÕÁ²;ËùÒÔÖ»Òª¼«ÏÞ(34)´æÔÚ
£¬¶¼Ëµ¼¶Êý
ÔÚÒÔwn(x) ΪȨµÄ´øÈ¨Æ½¾ùµÄÊÕÁ²¹ý³ÌÖУ¨Æ½¾ù£©¿ÉºÍµ½A£¬²¢¼ò¼ÇΪ
¡£¡¡¡¡ (38)µÈʽ(33)ºÍ(38)´ú±í×ÅͬһÖÖÇóºÍ·¨µÄÁ½ÖÖÐÎʽ£¬(V)Óë(W)£¬Æäת»»¹ØÏµ¼ûÓÚ(35)£¬Ò༴
¡£¡¡¡¡¡¡ (39)
×î³£ÓõÄÇóºÍ·¨¶¼ÊÇÕý¹æµÄ¡£ÆäÖÐÓа¢±´¶ûÇóºÍ·¨(A)£¬Ï൱ÓÚ
£¬
£»²¨À³¶ûÇóºÍ·¨(B)£¬Ï൱ÓÚ
£»ËãÊõƽ¾ùÇóºÍ·¨(M)£¬Ï൱ÓÚ
m£½[x]ΪxµÄÕûÊý²¿·Ö£»ÇÐÈøÂÞÇóºÍ·¨(C£¬k)£¬Ï൱ÓÚ
m£½[x]ΪxµÄÕûÊý²¿·Ö¡£
²¨À³¶û»¹°ÑËûµÄÇóºÍ·¨ (B)ת»»³É±ßÖµÐÎʽ²¢È¡Æä¼ò»¯ÐÎʽÈç
£¬¼ò¼ÇΪ
(B¡ä)¡£ ÔÚת»»ÖеÄÎó²îÏî
ÕâһǰÌáÏ£¬(B¡ä)Óë(B)µÈ¼Û£»Ò»°ãÇéÐΣ¬Ö»ÄÜÓÉ(B)ÍÆµ½(B¡ä)¡£ÕâÖÖÇóºÍ·¨Äܹ»Ê¹ºÜ¹ã·ºµÄÒ»ÀิÏîÃݼ¶Êý¡ÆbnznÔÚÆäÊÕÁ²Ô²Íâ¿ÉºÍ£¬²¢ÇÒ¿ÉÒÔÖðÏî»ý·Ö¡£ÎªÁË¿ÉÒÔÖðÏî΢·Ö£¬²¨À³¶ûÌá³öÁ˾ø¶Ô¿ÉºÍµÄ¸½¼ÓÌõ¼þ£¬¼´ÕâÑùÒ»ÐòÁÐÎÞÇî»ý·Ö¶¼¾ø¶ÔÊÕÁ²
¡£ÕâÖÖÇóºÍ·¨²»ÊÇÕý¹æµÄ£»Ö»ÊÇÏÞÓÚ¾ø¶ÔÊÕÁ²µÄ¼¶Êý¶øÑÔ²ÅÊÇÕý¹æµÄ¡£µ«ËüʹÃݼ¶ÊýµÄ·ÖÎöÔËË㣨¼Ó¡¢¼õ¡¢³Ë¡¢ÖðÏî΢·Ö¡¢ÖðÏî»ý·ÖµÈ£©¿ÉÒÔÔÚÊÕÁ²Ô²ÍâÈçͬÔÚÊÕÁ²Ô²ÄÚÒ»Ñù½øÐУ¬Òò¶øºÜÓÐЧµØÀ©´óÁËÃݼ¶ÊýµÄÓ¦Ó÷¶Î§£¬ÌرðÊǺÜÊʺÏÓÚ£¨Í¨¹ý´ý¶¨ÏµÊý·¨£©Çó½â΢·Ö·½³Ì£¬Èçͬ½¥½ü¼¶ÊýÄÇÑù¡£
¶ÔÓÚÁ½ÖÖÇóºÍ·¨WÓëW1£¬ÎÒÃÇ˵W1±ÈWÇ¿£¬Òâ˼ÊÇÿһ¸öW¿ÉºÍµÄ¼¶Êý¶¼Ò»¶¨W1¿ÉºÍµ½ÏàͬµÄºÍ£¬µ«·´¹ýÀ´²»³ÉÁ¢¡£ÀýÈç(B¡ä)±È(B)Ç¿£¬(A)±È(C£¬k)Ç¿¡£ÕâÖֶ϶¨¿ÉºÍÐÔÇ¿ÈõµÄ¶¨Àí³ÆÎª°¢±´¶ûÐͶ¨Àí¡£Ò»¸ö°¢±´¶ûÐͶ¨ÀíµÄÄæ¶¨Àí²»³ÉÁ¢£¬ÎÞ·ÇÊÇ˵²»ÄÜÎÞÌõ¼þµØ·´¹ýÀ´£¬Òò¶øÒ²¾ÍÊÇ˵ÔÚÊʵ±µÄ²¹³äÌõ¼þÖ®ÏÂÄܹ»·´¹ýÀ´¡£ËµÃ÷ÕâÖÖ²¹³äÌõ¼þµÄ³ä·ÖÐÔ¶¨Àí³ÆÎªÌÕ²®ÐͶ¨Àí¡£ÈçÒ»¸ö°¢±´¶û¿ÉºÍµÄ¼¶Êý
£¬Ö»Òª
£¬¾Í±Ø¶¨ÊÇÊÕÁ²µÄ¡£
´¿ÊýÁ¿ÉÏ£¬Ò»¸ö£¨ÎÞÇ¼¶ÊýÓÀÔ¶µÈͬÓÚÒ»¸ö£¨ÎÞÇ»ý·Ö
£¬¡¡ ¡¡(40)[x]ΪxµÄÕûÊý²¿·Ö¡£ËùÒÔ¼¶ÊýµÄÀíÂÛÖÐÖ»Óлù±¾±äÁ¿nµÄÀëÉ¢ÐÔÔÚÆäÖиù±¾ÉÏÆð׿òÃ÷ÐÔµÄ×÷ÓõÄÄÇЩ²¿·Ö²ÅÄܱ£³ÖÆäÌØÓеļ¶ÊýÐÎʽ£»·ñÔò³ÙÔç¶¼»áÔÚÆÕ±é»¯µÄ½ø³ÌÖйý¶ÉΪ»ý·ÖµÄÐÎʽ¡£ÀýÈçA.ÆÕÁÖ˹º£Ä·¹ØÓÚÕýÏî¼¶ÊýµÄϵͳÑо¿È¡¼¶ÊýÐÎʽ£¬¶øN.άÄɹØÓÚÌÕ²®ÐͶ¨ÀíµÄÑо¿È¡»ý·ÖÐÎʽ¡£
·¢É¢¼¶ÊýÇóºÍµÄÀíÂÛÊÇÊÕÁ²¼¶ÊýÑо¿µÄÀ©Õ¹£¬ËüÀ©´óÁË·ÖÎöѧÑÏÃÜÀíÂÛµÄÊÊÓ÷¶Î§£¬ÓÐЧµØ½ÒʾÁ˺¯ÊýµÄ·ÖÎöÐÔÖÊÓëÊýÁ¿¹ØÏµ£¬ÔÚ¸µÀïÒ¶·ÖÎöÓ뺯Êý¹¹ÔìÂÛÖÐÓÐÐí¶àÓ¦Óá£
¼òÊ·ÀúÊ·Éϼ¶Êý³öÏֵúÜÔç¡£ÑÇÀïÊ¿¶àµÂ£¨¹«ÔªÇ°4ÊÀ¼Í£©¾ÍÖªµÀ¹«±ÈСÓÚ1£¨´óÓÚÁ㣩µÄ¼¸ºÎ¼¶Êý¾ßÓкÍÊý£¬n.°Â¶û˹ķ£¨14ÊÀ¼Í£©¾Íͨ¹ý¼ûÓÚÏÖ´ú½Ì¿ÆÊéÖеķ½·¨Ö¤Ã÷Á˵÷ºÍ¼¶Êý
·¢É¢µ½£«¡Þ¡£µ«ÊÇ£¬Ê×ÏȽáºÏ׿¸ºÎÁ¿Ã÷È·µ½Ò»°ã¼¶ÊýµÄºÍÕâ¸ö¸ÅÄ½øÒ»²½ÍÑÀ뼸ºÎ±íʾ¶ø´ïµ½¼¶ÊýºÍµÄ´¿ËãÊõ¸ÅÄÒÔ¼°¸ü½øÒ»²½°Ñ¼¶ÊýÔËËãÊÓΪһÖÖ¶ÀÁ¢µÄËãÊõÔËËã²¢ÕýʽʹÓÃÊÕÁ²Ó뷢ɢÁ½´Ê£¬È´ÊÇÒѽӽüÓÚ΢»ý·Ö·¢Ã÷µÄÄê´úÁË(Ê¥ÎÄÉÌØµÄ¸ñÀ×¹ûÀï1647¡¢j.ÎÖÀû˹1655¡¢j.¸ñÀ×¹ûÀï1667)¡£ÊÂʵÉÏ£¬´Ó¹ÅÏ£À°£¨°¢»ùÃ×µÂʱ´ú£©ÒÔÀ´£¬»ý·ÖµÄÆÓËØË¼ÏëÓÃÓÚÇó»ý£¨Ãæ»ý¡¢Ìå»ý£©ÎÊÌâʱ£¬¾ÍÒ»Ö±ÔÚÊýÁ¿¼ÆËãÉÏÒÔ¼¶ÊýµÄÐÎʽ³öÏÖ¡£ÊÕÁ²¼¶ÊýµÄ½á¹¹£¬ÒÔÆäÖîÏîµÄÒÀ´Î¼ÓÏÂÈ¥µÄÔËËãµÄÎÞÏÞ½øÕ¹Õ¹Ê¾×ż«ÏÞ¹ý³Ì£¬¶øÒÔÆäÓàÏîµÄÎÞÏÞ±äС½Òʾ³öÎÞÏÞСÁ¿µÄ×÷Ó᣼¶ÊýÊÕÁ²¸ÅÄîµÄÖð½¥Ã÷È·ÓÐÁ¦µØ°ïÖúÁË΢»ý·Ö»ù±¾¸ÅÄîµÄÐγɡ£
΢»ý·ÖÔÚ´´Á¢µÄ³õÆÚ¾ÍΪ¼¶ÊýÀíÂ۵ĿªÕ¹ÌṩÁË»ù±¾µÄËØ²Ä¡£Ëüͨ¹ý×Ô¼ºµÄ»ù±¾ÔËËãÓë¼¶ÊýÔËËãµÄ´¿ÐÎʽµÄ½áºÏ£¬´ïµ½ÁËÒ»Åú³õµÈº¯ÊýµÄ(ÃÝ)¼¶ÊýÕ¹¿ª¡£´Ó´ËÒÔºó¼¶Êý±ã×÷Ϊº¯ÊýµÄ·ÖÎöµÈ¼ÛÎÓÃÒÔ¼ÆË㺯ÊýµÄÖµ£¬ÓÃÒÔ´ú±íº¯Êý²Î¼ÓÔËË㣬²¢ÒÔËùµÃ½á¹û²ûÊͺ¯ÊýµÄÐÔÖÊ¡£ÔÚÔËËã¹ý³ÌÖУ¬¼¶Êý±»ÊÓΪ¶àÏîʽµÄÖ±½ÓµÄ´úÊýÍÆ¹ã£¬²¢ÇÒÒ²¾Íµ±×÷ͨ³£µÄ¶àÏîʽÀ´¶Ô´ý¡£ÕâЩ»ù±¾¹ÛµãµÄÔËÓÃÒ»Ö±³ÖÐøµ½19ÊÀ¼Í³õÄ꣬µ¼ÖÂÁË·á˶µÄ³É¹û£¨Ö÷Òª¹é¹¦ÓÚÅ·À¡¢ÑŸ÷²¼µÚÒ» ¡¤²®Å¬Àû¡¢j.-l.À¸ñÀÊÈÕ¡¢¸µÀïÒ¶£©¡£
ͬʱ£¬ã£ÂÛÐÔµÈʽµÄ²»Ê±³öÏÖ£¨Èç1/2=1-1+1-1+¡£¬-1=1+2+4+8+¡Ö®Àà)´ÙʹÈËÃÇÖð½¥µØ×Ô¾õµ½¼¶ÊýµÄÎÞÏÞ¶àÏîÖ®ºÍÓбðÓÚÓÐÏÞ¶àÏîÖ®ºÍÕâÒ»»ù±¾ÊÂʵ£¬×¢Òâµ½º¯ÊýµÄ¼¶ÊýÕ¹¿ªµÄÓÐЧÐÔ±íÏÖΪ¼¶ÊýµÄ²¿·ÖºÍÎÞÏÞÇ÷½üÓÚº¯ÊýÖµÕâÒ»ÊÕÁ²ÏÖÏó£¬Ìá³öÁËÊÕÁ²¶¨ÒåµÄÈ·ÇгÂÊö£¬´Ó¶ø¿ªÊ¼ÁË·ÖÎöѧµÄÑÏÃÜ»¯Ô˶¯£¨b.²¨¶û²éŵ1817¡¢¿ÂÎ÷1821¡¢°¢±´¶û1826£©¡£
΢»ý·Ö»ù±¾ÔËËãÓë¼¶ÊýÔËËã½áºÏµÄÐèÒª£¬Òýµ¼ÈËÃǼÓÇ¿»òËõСÊÕÁ²ÐÔ¶øÌá³öÒ»ÖÂÊÕÁ²µÄ¸ÅÄî£Ûk.£¨t.w.£©Íâ¶ûË¹ÌØÀ˹(1841)¡¢g.g.˹ÍпË˹£¨1847£©¡¢P.L.vonÈüµÂ¶û(1848)£Ý¡£È»¶ø£¨ÔÚÌìÎÄѧ¡¢ÎïÀíѧÖУ¬ÉõÖÁÔÚ¿ÂÎ÷±¾È˵ÄÑо¿¹¤×÷ÖУ©º¯ÊýµÄ¼¶ÊýÕ¹¿ª£¬×÷ΪһÕû¸öº¯ÊýµÄ·ÖÎöµÈ¼ÛÎÔÚÊÕÁ²·¶Î§ÒÔÍâµÄ²»¶ÏµÄ³É¹¦µÄʹÓã¬ÔòÓÖÆÈʹÈËÃÇÍÆ¹ã»òÀ©´óÊÕÁ²¸ÅÄî¶øÌá³ö½¥½üÐÔÓë¿ÉºÍÐÔ(ÅÓ¼ÓÀ³£¬1886£»ÇÐÈøÂÞ£¬1890£»²¨À³¶û£¬1895)¡£
¼¶ÊýÀíÂÛÖеĻù±¾¸ÅÄî×ÜÊÇÔÚÆäÆÓËØÒâÒå»ñµÃÓÐЧµÄʹÓõĹý³ÌÖÐÐγɺͷ¢Õ¹µÄ¡£