[拼音]:diancixueliang de danweizhi
[外文]:unit systems of electromagnetic quantities
电磁学量有多种单位制,它们之间的关系比较复杂,需要从单位制定的原则上加以说明。
单位制物理学中确定单位制的通常作法是:选定某几个物理量及其单位作为基本量和基本单位;其他物理量的量纲和单位则是从特定的物理公式通过选定其中比例常量得出来的,这样得出的单位称为导出单位。例如力学中的CGS单位制,就是取长度、质量和时间为基本量,它们的单位分别为厘米、克和秒,其他力学量的量纲和单位都由此导出。如力的量纲和单位是根据牛顿第二定律F=kma并选定k=1而得出的,其量纲为LMT-2,它的单位达因即为克·厘米/秒2。
需要注意的是:
(1)如果选取不同的物理公式,则规定出的单位不仅大小可能不同,量纲也可能不一样。例如若换用万有引力定律
并令其中的k=1来确定力的单位,则所得出的力的单位不仅大小与达因不同,连量纲也变为L-2M2。若采用这一改变就从通常的 CGS单位制变到另一种不同的CGS单位制。
(2)基本量的数目和选择也不是惟一的。例如可以只取长度和质量为基本量,通过真空中光速с=1来确定时间单位。这样,时间的量纲就是长度,时空将具有一致的量纲。若长度单位仍取为厘米,那么“1厘米的时间”就代表真空中光走1厘米距离所花的时间,约等于
秒。在粒子物理学中,常取
为普朗克常数), 这样定出的单位制叫做自然单位制,它只有一个基本量纲和单位。
由此可见,建立一种单位制,首先要选定基本量和基本单位,然后还要选定确定其他物理量单位的物理公式。
单位制的选用完全根据使用的方便。一般来说,基本量的数目选得多,有助于区别不同物理量的量纲,但物理公式较复杂,将有较多的物理常数出现;反之,公式比较简单,但具有相同量纲的物理量的数目将增多。
电磁学中主要的单位制有五种。
CGSE制又称静电单位制(esu)。在此单位制中,基本量为长度、质量和时间。基本单位为厘米、克和秒。电荷的单位是通过库仑定律
并令k=1确定的。这样确定的电荷单位叫电荷的CGSE制单位(又称静库仑),电荷的量纲即为L幫M┩T-1。然后可从F=qE、
、P=ρl(ρ为电荷密度、l为位移)和D=E+4πP分别确定电场、 电势、极化强度和电位移的 CGSE制单位。其中电势单位又称静伏特。由此可以看出,在CGSE制中,P和D的量纲都与E的相同,因此极化率ⅹ,介电常数(电容率)ε都是无量纲的数。
电流密度和电流的单位分别通过j=ρv和I=jA(A为面积)或
来确定,这样确定的电流单位又称静安培。
在CGSE制中,磁学量如H和B的单位是利用它们同电学量相互联系的物理公式确定的。这些物理公式可取为安培环路定理和法拉第电磁感应定律
并令其中的比例常数k=1。这样确定的B和H具有不同的量纲。即使在真空中H也不等于B,而是H=с2B,с为真空中光速。因此在CGSE制中,磁导率μ是有量纲的,其量纲为L-2T2;真空中磁导率
。
总结起来,在 CGSE制中麦克斯韦方程组 的形式为
(1)
其中D=E+4πP,
;
而真空中洛伦兹力公式采取下列形式
; (2)
CGSM制
又称电磁单位制(emu)。CGSM 制的基本量和基本单位与CGSM制的一样,但是确定电磁量单位的物理公式不同。它是通过安培-毕奥-萨伐尔定律
令k=1来确定电流的单位,再通过
确定电荷单位。这样确定的电荷单位与CGSE制中的量纲不同。
在电流和电荷的单位确定后,可以通过dF=Idl×B、m=IA(m为磁矩,A为面积)、H=B-4πM、
、
来定义B、m、H、D和E的单位。在CGSM制中,B和H的单位相同,但通常B的单位称为高斯,H的单位称为奥斯特。磁导率μ是无量纲的。但E和D有不同的量纲,在真空中
E,因此介电常数ε量纲为L-2T2,真空介电常数为ε0=1/c2。
麦克斯韦方程组和洛伦兹力公式的形式与CGSE制中相同,即式(1)和式(2)。但库仑定律和安培-毕奥-萨伐尔定律却采取
的形式。
高斯单位制在此单位制中,凡是电学量如q、I、E、P、D等都用CGSE制单位,而磁学量如E、M、H都用CGSM制单位。因而此在单位制中,介电常数ε和磁导率μ都是无量纲的,而且其真空值ε0=μ0=1。此外B和E的量纲相同。在高斯单位制中,凡是同时含有电学量和磁学量的公式都会出现常数 с。麦克斯韦方程组和真空中洛伦兹力公式分别为
(3)
。 (4)
库仑定律、安培-毕奥-萨伐尔定律与CGSE制的相同。在理论物理中常采用这一单位制。
洛伦兹-亥维赛单位制此单位制基本与高斯单位制相同,只是为了消去麦克斯韦方程组(3)中的4π 因子而略有变化。在此单位制中,凡“荷电物质”方面的量如q、I、P、M等,其单位都是高斯单位的
,凡属“场”方面的量如E、D、B、H等,其单位都是高斯单位的
倍。于是有
D=E+P,H=B-M。
麦克斯韦方程组为
(5)
洛伦兹力公式与高斯制的相同,而库仑定律和安培-毕奥-萨伐尔定律却为
。
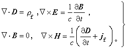
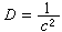
此单位制的电磁学部分的基本量为长度、质量、时间和电流,基本单位分别为米、千克、秒和安培。1安培电流等于十分之一 CGSE制单位的电流。力、功和功率单位分别为牛[顿]、焦[耳]和瓦[特]。电荷、电场、电位单位可通过
确定,并分别为库、牛/库(等于伏/米)和伏。电位移D的单位通过
确定,它的量纲与E的不同,因而ε为有量纲的量,其真空值
库2/(千克·米)(其中c本身带量纲)。
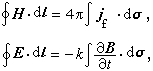
B和E的单位是通过法拉第电磁感应定律和安培环路定理确定的,即令
这样确定的B和H的单位彼此不同,量纲也不同。磁导率的真空值为 μ0=4π×10-7千克·米/库2,
。麦克斯韦方程组为
(6)
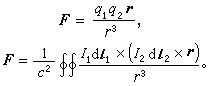
洛伦兹力公式与式(2)相同。库仑定律和安培-毕奥-萨伐尔定律为
。
在电工和实用方面常采用这一单位制,并已作为实际计量单位在中国推广应用。上表列出一定量的各种物理量在两种单位制中的表示值。