[拼音]:dianci ganying dinglü
[外文]:law of electromagnetic in duction
描述导体线圈中磁通量变化与所产生的感应电动势间关系的定律。由M.法拉第在1831年发现。定律揭示:导体线圈中产生的感应电动势其大小正比于单位时间内线圈所切割的磁力线数量。这一定律的重要意义在于以实验证明了机械功可以经过电磁感应作用转变为电磁能。这成为现代发电机的基本理论依据,在电工技术中得到广泛应用。
电磁感应现象法拉第对电磁感应现象进行了大量实验研究。在有代表性的一个实验中,他使用了两个线圈,对其中一个通以电流,另一个线圈则经过检流计接成闭合回路。实验中发现,若第一个线圈中电流的大小发生变化时,则在另一个线圈中产生感应电动势,从而出现电流,使检流计发生偏转。这种由于电流变化而线圈静止所产生的电磁感应作用,人们称之为变压器作用。另一个重要的实验是采用通有恒定电流的线圈或者永久磁铁以提供磁场,只要使另一个线圈与磁场有相对运动,造成磁力线与线圈的割切,也能够在线圈中产生感应电动势而出现电流。人们称这种电磁感应为动生感应作用。
定律的数学形式法拉第将电磁感应定律的公式写为
ξ
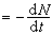
式中ξ为感应电动势,N为线圈所割切的磁力线数量(即磁通量),
为N 的时间变化率。人们约定等式中所表示的电动势ξ与磁力线N的方向按照右手螺旋规则标定。在公式中出现的负号则来自实验的事实。例如当线圈中的磁通量随时间而增加时,按公式计算出的电动势为负值。这说明感应电动势的方向与标定的方向相反,即实际上在磁通的左手螺旋方向;如线圈中的磁通是随时间减少的,则
应为负值,由于公式中有负号,使计算出的电动势为正值,表示感应电动势的方向在磁通的右手螺旋方向,与标定方向一致。
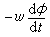
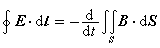
电磁感应现象表明:磁场的变化可以激发电场。这个电场称为感应电场。它与库仑电场不同,在闭合路径上的线积分可以不等于零,其线积分值即为感应电动势。感应电动势能推动闭合回路中的电流。如果不存在导体回路,虽然不出现电流,但感应电场应仍然存在。因此在电磁场理论中,将电磁感应定律写成场矢量的公式
上式等号左方的积分结果为电动势ξ。若感应电动势所在的线圈共有ω 匝,各匝中的磁通量φ 相等,则上式等号右方简化为
,在这种情形下,电磁感应定律又可写为
ξ=
一段长度为l的导线,以速度v在磁通密度为B的均匀磁场中运动,当l、B、v三者互相垂直,其中的动生感应电动势即为
ξ=Blv
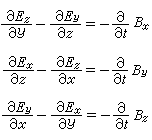
在电磁场中,将前述的积分公式应用到空间任意处的一个无限小的面积元素上,并取其趋近于零的极限,就得出了电磁感应定律的微分形式
如果采用矢量微分算符
,上式可记为
这个公式中的空间微分算符是对观察者所在的系统而言的,在一切匀速直线运动的惯性系统中公式的形式不变,符合相对论原理的要求,具有普遍的意义。