项名达(1789~1850)

浏览

中国清代数学家,原名万准,字步莱,号梅侣,浙江钱塘(今杭州市)人,祖籍安徽歙县。生于乾隆五十四年,卒于道光三十年。嘉庆二十一年(1816)为举人,考授国子监学正,道光六年(1826)成进士,改任知县,但未就职。应考进士期间,曾在京盘桓数年,与友人研讨数学,后返居故里。道光十七年(1837)前,主讲苕南。此后,在杭州著名的三大书院之一紫阳书院执教,并研究数学。道光二十六年(1846)冬,退职还家,集中精力撰著书稿,主要数学著作有《象数一原》6卷(1849),《勾股六术》1卷(1825),《三角和较术》1卷(1843),《开诸乘方捷术》1卷(1845),后三种合刻为《下学庵算术》印行。

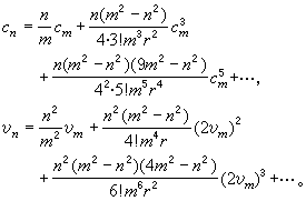
《象数一原》的主要内容是论述三角函数幂级数展开式问题,他撰写此书时已年老病重,仅写成整分起度弦矢率论、半分起度弦矢率论、零分起度弦矢率论(两卷)、诸术通诠、诸术明变,共6卷。其中卷四和卷六未能完稿,由其友人戴煦遵从他的嘱托于咸丰七年(1857)补写完成,并为椭圆求周术补作图解1卷,故现传本《象数一原》共 7卷。在此书中,他推广了明安图和董祐诚(1791~1823)的结果。董祐诚同明安图一样,也用连比例的方法讨论了全弧与分弧所对的弦的关系以及全弧和分弧的中矢(即该弧所张的弓形的高),得到四个幂级数公式。项名达进一步归纳为下列两个公式:设сn和сm分别为圆内某弧с的n倍和m倍弧长,vnvm分别为相应的中矢,r为圆半径,则有

由这两个公式可推导出明安图的九个公式和董祐诚的四个公式,其中包括正弦和反正弦的幂级数展开式、正矢和反正矢的幂级数展开式以及圆周率π 的无穷级数表达式等。

项名达的另一项成就是求出椭圆周长公式:

式中p为椭圆周长,e为椭圆离心率,αb为椭圆长半轴与短半轴。这是中国在二次曲线研究方面最早的重要成果。他还据此推出圆周率倒数公式:

项名达与戴煦还共同讨论求二项式n次根的简法,在《开诸乘方捷术》中提出了幂指数为 1/n的二项式定理以及用逐次逼近法开n次方的递推公式:

按上述公式逐次求得的αk+1,即为准确到不同程度的近似值。《勾股六术》与《三角和较术》内容浅显易懂,是项名达为初学者撰写的数学入门书。在这两卷书中,对于勾股形、平面三角形及球面三角形的各边及其和、差的互求关系,做了较系统的分类与总结。